Click here to close
Hello! We notice that you are using Internet Explorer, which is not supported by Xenbase and may cause the site to display incorrectly.
We suggest using a current version of Chrome,
FireFox, or Safari.
Hintersteiner J
,
Haider M
,
Luger D
,
Schwarzer C
,
Reznicek G
,
Jäger W
,
Khom S
,
Mihovilovic MD
,
Hering S
.
???displayArticle.abstract???
Valerenic acid (VA) is a β2/3 subunit-specific modulator of γ-aminobutyric acid (GABA) type A (GABAA) receptors inducing anxiolysis. Here we analyze if VA-esters can serve as prodrugs and if different ester structures have different in vitro/in vivo effects. Modulation of GABAA receptors expressed in Xenopus oocytes was studied with 2-microelectrode-voltage-clamp. Anxiolytic effects of the VA-esters were studied on male C57BL/6N mice by means of the elevated plus maze-test; anticonvulsant properties were deduced from changes in seizure threshold upon pentylenetetrazole infusion. VA was detected in plasma confirming hydrolysis of the esters and release of VA in vivo. Esterification significantly reduced the positive allosteric modulation of GABAA (α1β3γ2S) receptors in vitro. in vivo, the studied VA-ester derivatives induced similar or even stronger anxiolytic and anticonvulsant action than VA. While methylation and propylation of VA resulted in faster onset of anxiolysis, the action of VA-ethylester was longer lasting, but occurred with a significant delay. The later finding is in line with the longer lasting anticonvulsant effects of this compound. The estimated VA plasma concentrations provided first insight into the release kinetics from different VA-esters. This might be an important step for its future clinical application as a potential non-sedative anxiolytic and anticonvulsant.
Fig. 1. Structural formulae of VA and synthesized ester derivatives.
Fig. 2. IGABA modulation by VA-ester derivatives (A) Enhancement of IGABA through GABAA receptors composed of α1β3γ2S subunits by 1 µM (white bars), 10 µM (light grey bars), 30 μM (dark grey bars) and 100 μM (black bars) of the indicated compounds. Each value represents the mean±S.E.M from at least 5 oocytes and ≥2 oocyte batches. (*) indicates significantly different from IGABA enhancement by VA at the same concentration (P<0.05, Student׳s t-test) (B) Typical traces for the potentiation of chloride currents through α1β3γ2S channels by VA-derivatives at a GABA EC3–7. Control currents (GABA, single bar) and corresponding currents elicited by co-application of GABA and the indicated compound (double bar) are shown.
Fig. 3. Effects on explorative behavior of VA-esters in the elevated plus maze test are compared to saline-treated control (white bars) mice at a dose of 3 mg/kg bodyweight. Bars display the time spent (in % of the total time) on the open arms ((A)–(C)) and the open arm distance ((D)–(F)) 15 (left column), 30 (mid column) and 60 (right column) min after i.p. application of the indicated compounds. Each bar represents a mean±S.E.M from at least 8 different mice. (⁎) indicates statistically significant differences with P<0.05, (⁎⁎) with P<0.01 to control.
Fig. 4. Number of entries to the open (OA; (A)–(C)) and closed arms (CA; (D)–(F)) of the elevated plus maze 15 (left column), 30 (mid column) and 60 (right column) min after i.p. application of the indicated compound are compared to control (white bars) at a dose of 3 mg/kg bodyweight. Each bar represents a mean±S.E.M from at least 8 different mice. (⁎) indicates statistically significant differences with P<0.05, (⁎⁎) with P<0.01 to control.
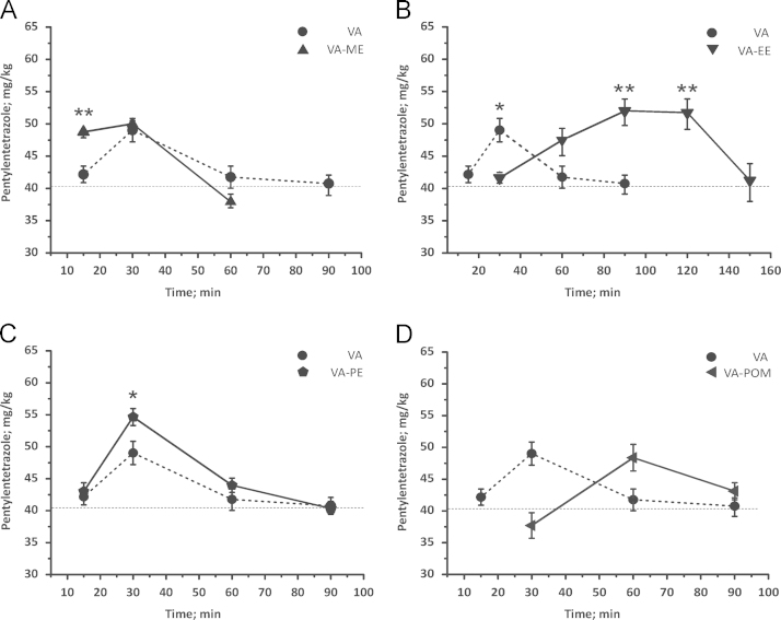
Fig. 5. Changes in seizure threshold upon PTZ-infusion are compared at a dose of 3 mg/kg bodyweight of VA (dotted line) and (A) VA-ME, (B) VA-EE, (C) VA-PE and (D) VA-POM. Each data point represents the mean±S.E.M from at least 3 mice; (â) indicates statistically significant differences with P<0.05; (ââ) indicates statistically significant differences with P<0.01 to VA.
Atack,
GABAA receptor subtype-selective modulators. I. α2/α3-selective agonists as non-sedating anxiolytics.
2011, Pubmed
Atack,
GABAA receptor subtype-selective modulators. I. α2/α3-selective agonists as non-sedating anxiolytics.
2011,
Pubmed
Atack,
GABAA receptor subtype-selective modulators. II. α5-selective inverse agonists for cognition enhancement.
2011,
Pubmed
Atack,
GABAA receptor alpha2/alpha3 subtype-selective modulators as potential nonsedating anxiolytics.
2010,
Pubmed
Baburin,
Automated fast perfusion of Xenopus oocytes for drug screening.
2006,
Pubmed
,
Xenbase
Beaumont,
Design of ester prodrugs to enhance oral absorption of poorly permeable compounds: challenges to the discovery scientist.
2003,
Pubmed
Benke,
GABA A receptors as in vivo substrate for the anxiolytic action of valerenic acid, a major constituent of valerian root extracts.
2009,
Pubmed
Boileau,
The relative amount of cRNA coding for gamma2 subunits affects stimulation by benzodiazepines in GABA(A) receptors expressed in Xenopus oocytes.
2002,
Pubmed
,
Xenbase
Broadwell,
Morphologic effect of dimethyl sulfoxide on the blood-brain barrier.
1982,
Pubmed
Greenfield,
Molecular mechanisms of antiseizure drug activity at GABAA receptors.
2013,
Pubmed
Groves,
The role of GABAbeta2 subunit-containing receptors in mediating the anticonvulsant and sedative effects of loreclezole.
2006,
Pubmed
Johnston,
Modulation of ionotropic GABA receptors by natural products of plant origin.
2006,
Pubmed
Khom,
Valerenic acid derivatives as novel subunit-selective GABAA receptor ligands - in vitro and in vivo characterization.
2010,
Pubmed
,
Xenbase
Khom,
Pharmacological properties of GABAA receptors containing gamma1 subunits.
2006,
Pubmed
,
Xenbase
Khom,
Valerenic acid potentiates and inhibits GABA(A) receptors: molecular mechanism and subunit specificity.
2007,
Pubmed
,
Xenbase
Kopp,
Highly potent modulation of GABA(A) receptors by valerenic acid derivatives.
2010,
Pubmed
,
Xenbase
Liederer,
Enzymes involved in the bioconversion of ester-based prodrugs.
2006,
Pubmed
Methfessel,
Patch clamp measurements on Xenopus laevis oocytes: currents through endogenous channels and implanted acetylcholine receptor and sodium channels.
1986,
Pubmed
,
Xenbase
Möhler,
The GABA system in anxiety and depression and its therapeutic potential.
2012,
Pubmed
Möhler,
GABAA receptors in central nervous system disease: anxiety, epilepsy, and insomnia.
2006,
Pubmed
Neuhaus,
Transport of a GABAA receptor modulator and its derivatives from Valeriana officinalis L. s. l. across an in vitro cell culture model of the blood-brain barrier.
2008,
Pubmed
Olsen,
International Union of Pharmacology. LXX. Subtypes of gamma-aminobutyric acid(A) receptors: classification on the basis of subunit composition, pharmacology, and function. Update.
2008,
Pubmed
Sampath,
Pharmacokinetics of valerenic acid in rats after intravenous and oral administrations.
2012,
Pubmed
Sanna,
Direct activation of GABAA receptors by loreclezole, an anticonvulsant drug with selectivity for the beta-subunit.
1996,
Pubmed
,
Xenbase
Sieghart,
Structure, pharmacology, and function of GABAA receptor subtypes.
2006,
Pubmed
Sigel,
Structure, function, and modulation of GABA(A) receptors.
2012,
Pubmed
Simon,
Analysis of the set of GABA(A) receptor genes in the human genome.
2004,
Pubmed
Urban,
Influence of esterification and modification of A-ring in a group of lupane acids on their cytotoxicity.
2005,
Pubmed
Wingrove,
The modulatory action of loreclezole at the gamma-aminobutyric acid type A receptor is determined by a single amino acid in the beta 2 and beta 3 subunit.
1994,
Pubmed
,
Xenbase