Click here to close
Hello! We notice that you are using Internet Explorer, which is not supported by Xenbase and may cause the site to display incorrectly.
We suggest using a current version of Chrome,
FireFox, or Safari.
???displayArticle.abstract???
The goal of this study was to determine the effects of the L-type calcium channel blockers verapamil and diltiazem on the currents of voltage-gated potassium channel (fKv1.4ΔN), an N-terminal-deleted mutant of the ferret Kv1.4 potassium channel. Measurements were made using a two electrode voltage clamp technique with channels expressed stably in Xenopus oocytes. The fKv1.4ΔN currents displayed slow inactivation, with a half-inactivation potential of -38.38 mV and slow recovery from inactivation (τ = 1.90 seconds at -90 mV). The fKv1.4ΔN currents exhibited state-dependent blockade by both drugs, and the inhibition was frequency-, voltage-, and concentration-dependent, consistent with open channel block. Verapamil and diltiazem blocked fKv1.4ΔN currents with 50% inhibitory concentration (IC50) values of 260.71 ± 18.50 μmol/L and 241.04 ± 23.06 μmol/L, respectively. Verapamil accelerated the C-type inactivation rate and slowed recovery of the fKv1.4Δ N channel, while shifting the steady activation curve to the right. Blockade of fKv1.4ΔN currents by diltiazem was similar to that of verapamil, but diltiazem accelerated the decay rate of inactivation of fKv1.4ΔN currents without modifying the kinetics of current activation. The present results suggest that verapamil and diltiazem accelerate the C-type inactivation and slow the recovery of the fKv1.4ΔN channel in the open state.
Figure 1. Effects of verapamil (A) and diltiazem (B) on fKv1.4ΔN channels expressed in Xenopus oocytes. Representative curves are shown for 5-second depolarizing pulses from -90 mV to voltages between –100 and +50 mV in steps of 10 mV. Upper panels: traces recorded under control conditions. Middle panels: current traces obtained in the presence of 250 μmol/L verapamil or 250 μmol/L diltiazem. The peak currents in the presence of verapamil and diltiazem were poorly resolved from the capacitance transient on this time scale. Bottom panels: effects of 250 μmol/L verapamil and 250 μmol/L diltiazem on the peak current-voltage (I-V) relationships. Currents were normalized to the peak current at +50 mV under control conditions. The IDrug/IControl ratio was plotted as a function of the membrane potential. Data are shown as mean ± SEM (n = 5).
Figure 2. Concentration-response relationships for the inhibition of the fKv1.4ΔN currents by verapamil (A) and diltiazem (B). Upper panels: Representative current traces were elicited in the absence and presence of increasing concentrations of verapamil (A) and diltiazem (B). Currents were recorded by depolarizing pulses to +50 mV from a holding potential of –90 mV. Lower panels: The peak currents were normalized the maximum peak current under control conditions and plotted against verapamil (A) and diltiazem (B) concentrations. The curves were derived by fitting data to the Hill equation: f = KD/ (KD + D), where f is fractional current, KD is the apparent dissociation constant, and D is the drug concentration. Symbols and error bar are mean ± SEM (n = 5).
Figure 3. Use-dependent block of fKv1.4ΔN currents by verapamil (A) and diltiazem (B). Upper panels: Sixty repetitive depolarizing pulses from –90 to +50 mV for 500 ms each were applied in the absence and in the presence of verapamil (A) and diltiazem (B). Lower panels: Each peak current was normalized to the peak current at the first pulse under control conditions and then plotted against the number of pulses. Data are shown as mean ± SEM (n = 5).
Figure 4. Effects of verapamil (A) and diltiazem (B) on the kinetics of the fKv1.4ΔN channel recovery from steady inactivation. The degree of recovery was measured by following a standard variable interval gapped pulse protocol. An initial 5-second pulse (P1) from –90 to +50 mV was followed by a second pulse (P2) to +50 mV after an interval of between 0.1 and 20 sec. The ratio of the peak current elicited by the P1 and P2 pulses (P2/P1) is plotted as a function of the various interpulse intervals. The continuous line represents the fit of the data to the equation: f = 1 - A*exp(–τ/t), where t is duration (in sec), τ is the time constant, A is the amplitude of the current. Data were normalized between 0 and 1 presented with intervals on a log scale. Data are shown as mean ± SEM (n = 5).
Figure 5. Effects of verapamil (A) and diltiazem (B) on the activation of the fKv1.4ΔN currents. Current traces were obtained by applying 80 ms pulses to potentials ranging from –100 to +50 mV and were followed by tail currents upon repolarization to –40 mV in the absence (upper panels) and in the presence of 250 μmol/L verapamil and 250 μmol/L diltiazem (middle panels). Bottom panels: steady-state activation relationships. The peak currents (measured at +50 mV) are plotted as a function of the holding potential. Continuous lines represent the fit of the data to a Boltzmann equation: f = 1/{1 + exp*[(V – V1/2)/k)]}, where V represents the test potential, V1/2 is the mid-point of activation, and k is the slope factor. Average data are shown as mean ± SEM (n = 5).
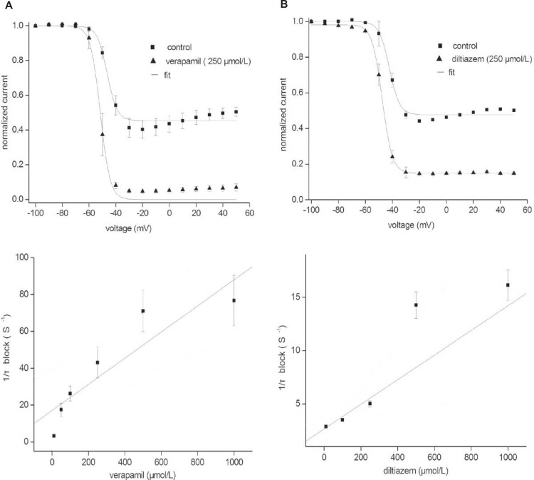
Figure 6. Changes in the inactivation kinetics of fKv1.4ΔN currents by verapamil (A) and diltiazem (B). Upper panels: Steady-state inactivation was studied using a two-pulse voltage protocol. Currents were measured at +50 mV, and the 5-sec pre-pulses to potential varied from –100 to +50 mV in steps of 10 mV. The curves for steady-state inactivation were fitted with the Boltzmann equation: f = 1/{1 + exp*[(V – V1/2)/k)]}. Where V represents the test potential, V1/2 is the mid-point of inactivation, and k is the slope factor. Lower panels: time constant of inhibition as a function of the drug concentration. Time constants (τblock) were estimated from a single or double exponential fits to the tracings shown in Figure 2. The apparent rate constants for association (k+1) and dissociation (k–1) were obtained from the equation: 1/τblock = k+1[d] + k–1. Data are shown as mean ± SEM (n = 5).
Brahmajothi,
Distinct transient outward potassium current (Ito) phenotypes and distribution of fast-inactivating potassium channel alpha subunits in ferret left ventricular myocytes.
1999, Pubmed
Brahmajothi,
Distinct transient outward potassium current (Ito) phenotypes and distribution of fast-inactivating potassium channel alpha subunits in ferret left ventricular myocytes.
1999,
Pubmed
Caballero,
Diltiazem inhibits hKv1.5 and Kv4.3 currents at therapeutic concentrations.
2004,
Pubmed
Choi,
Direct block by bisindolylmaleimide of rat Kv1.5 expressed in Chinese hamster ovary cells.
2000,
Pubmed
Comer,
Cloning and characterization of an Ito-like potassium channel from ferret ventricle.
1994,
Pubmed
,
Xenbase
Gao,
Inhibition of ultra-rapid delayed rectifier K+ current by verapamil in human atrial myocytes.
2004,
Pubmed
Gidh-Jain,
Differential expression of voltage-gated K+ channel genes in left ventricular remodeled myocardium after experimental myocardial infarction.
1996,
Pubmed
Grissmer,
Pharmacological characterization of five cloned voltage-gated K+ channels, types Kv1.1, 1.2, 1.3, 1.5, and 3.1, stably expressed in mammalian cell lines.
1994,
Pubmed
Grossman,
Calcium antagonists.
2004,
Pubmed
Hohnloser,
Rhythm or rate control in atrial fibrillation--Pharmacological Intervention in Atrial Fibrillation (PIAF): a randomised trial.
2000,
Pubmed
Hosey,
Calcium channels: molecular pharmacology, structure and regulation.
1988,
Pubmed
Hoshi,
Biophysical and molecular mechanisms of Shaker potassium channel inactivation.
1990,
Pubmed
,
Xenbase
Kaprielian,
Relationship between K+ channel down-regulation and [Ca2+]i in rat ventricular myocytes following myocardial infarction.
1999,
Pubmed
Ko,
Calcium channel inhibitor, verapamil, inhibits the voltage-dependent K+ channels in rabbit coronary smooth muscle cells.
2010,
Pubmed
Kumar,
Drug treatment of stable angina pectoris in the elderly: defining the place of calcium channel antagonists.
2003,
Pubmed
Lee,
Downregulation of voltage-gated K(+) channels in rat heart with right ventricular hypertrophy.
1999,
Pubmed
Liu,
Dynamic rearrangement of the outer mouth of a K+ channel during gating.
1996,
Pubmed
Nishiyama,
Altered K(+) channel gene expression in diabetic rat ventricle: isoform switching between Kv4.2 and Kv1.4.
2001,
Pubmed
Park,
The protein kinase C inhibitor, bisindolylmaleimide (I), inhibits voltage-dependent K+ channels in coronary arterial smooth muscle cells.
2005,
Pubmed
Rampe,
Verapamil blocks a rapidly activating delayed rectifier K+ channel cloned from human heart.
1993,
Pubmed
Rasmusson,
Inactivation of voltage-gated cardiac K+ channels.
1998,
Pubmed
Rasmusson,
C-type inactivation controls recovery in a fast inactivating cardiac K+ channel (Kv1.4) expressed in Xenopus oocytes.
1995,
Pubmed
,
Xenbase
Roden,
Current status of class III antiarrhythmic drug therapy.
1993,
Pubmed
Rolf,
Effects of antiarrhythmic drugs on cloned cardiac voltage-gated potassium channels expressed in Xenopus oocytes.
2000,
Pubmed
,
Xenbase
Singh,
Use of calcium antagonists for cardiac arrhythmias.
1987,
Pubmed
Slawsky,
K+ channel blocking actions of flecainide compared with those of propafenone and quinidine in adult rat ventricular myocytes.
1994,
Pubmed
Snyders,
A rapidly activating and slowly inactivating potassium channel cloned from human heart. Functional analysis after stable mammalian cell culture expression.
1993,
Pubmed
Snyders,
Time-, voltage-, and state-dependent block by quinidine of a cloned human cardiac potassium channel.
1992,
Pubmed
Waldegger,
Effect of verapamil enantiomers and metabolites on cardiac K+ channels expressed in Xenopus oocytes.
1999,
Pubmed
,
Xenbase
Wang,
Kv1.4 channel block by quinidine: evidence for a drug-induced allosteric effect.
2003,
Pubmed
,
Xenbase
Wang,
Modulation of HERG affinity for E-4031 by [K+]o and C-type inactivation.
1997,
Pubmed
,
Xenbase
Wickenden,
Regional contributions of Kv1.4, Kv4.2, and Kv4.3 to transient outward K+ current in rat ventricle.
1999,
Pubmed
Xu,
Effect of amiodarone on Kv1.4 channel C-type inactivation: comparison of its effects with those induced by propafenone and verapamil.
2008,
Pubmed
,
Xenbase
Zhang,
Effects of diltiazem and propafenone on the inactivation and recovery kinetics of fKv1.4 channel currents expressed in Xenopus oocytes.
2011,
Pubmed
,
Xenbase
Zhang,
Mechanism of block and identification of the verapamil binding domain to HERG potassium channels.
1999,
Pubmed