Click here to close
Hello! We notice that you are using Internet Explorer, which is not supported by Xenbase and may cause the site to display incorrectly.
We suggest using a current version of Chrome,
FireFox, or Safari.
Physiol Rep
2013 Nov 01;16:e00160. doi: 10.1002/phy2.160.
Show Gene links
Show Anatomy links
Identification of compound heterozygous KCNJ1 mutations (encoding ROMK) in a kindred with Bartter's syndrome and a functional analysis of their pathogenicity.
Srivastava S
,
Li D
,
Edwards N
,
Hynes AM
,
Wood K
,
Al-Hamed M
,
Wroe AC
,
Reaich D
,
Moochhala SH
,
Welling PA
,
Sayer JA
.
???displayArticle.abstract???
A multiplex family was identified with biochemical and clinical features suggestive of Bartter's syndrome (BS). The eldest sibling presented with developmental delay and rickets at 4 years of age with evidence of hypercalciuria and hypokalemia. The second sibling presented at 1 year of age with urinary tract infections, polyuria, and polydipsia. The third child was born after a premature delivery with a history of polyhydramnios and neonatal hypocalcemia. Following corrective treatment she also developed hypercalciuria and a hypokalemic metabolic alkalosis. There was evidence of secondary hyperreninemia and hyperaldosteronism in all three siblings consistent with BS. Known BS genes were screened and functional assays of ROMK (alias KCNJ1, Kir1.1) were carried out in Xenopus oocytes. We detected compound heterozygous missense changes in KCNJ1, encoding the potassium channel ROMK. The S219R/L220F mutation was segregated from father and mother, respectively. In silico modeling of the missense mutations suggested deleterious changes. Studies in Xenopus oocytes revealed that both S219R and L220F had a deleterious effect on ROMK-mediated potassium currents. Coinjection to mimic the compound heterozygosity produced a synergistic decrease in channel function and revealed a loss of PKA-dependent stabilization of PIP2 binding. In conclusion, in a multiplex family with BS, we identified compound heterozygous mutations in KCNJ1. Functional studies of ROMK confirmed the pathogenicity of these mutations and defined the mechanism of channel dysfunction.
Figure 1. Clinical and molecular genetic analysis of Bartter's syndrome patients. Hyperplasia of juxtaglomerular apparatus is demonstrated on renal histology in (A) sibling 1 and (B) sibling 2. (C) Renal USS demonstrates nephrocalcinosis in sibling 3. (D) KNCJ1 sequencing identifies compound heterozygous mutations in all three affected p.S219R/p.L220F segregating from each parent.
Figure 2. Homology modeling of ROMK. (A) Crystal structure of chicken Kcnj12/Kir2.2 (Hansen et al. 2011). One of the four Kcnj12 monomers forming the potassium channel is highlighted in orange. (B) Putative structure of the ROMK monomer (green) compared with chicken Kcnj12 (orange). The black box denotes the position of S219 and L220 in ROMK. (C) Partial amino acid sequence alignment of the human KCNJ family. (D) Putative position of S219 and L220 in ROMK and the homologous residues in chicken Kcnj12 (S221 and H222, respectively).
Figure 3. Comparison of the properties of wild-type (WT) and mutant ROMK channels in Xenopus oocytes. Shown are families of whole-cell currents in oocytes injected with ROMK cRNA-encoding WT, mutant cRNA (S219R and L220F), or combinations of both to mimic heterozygosity and compound heterozygosity. Oocytes were held at −60 mV and clamped in 20 mV increments from −120 mV to +60 mV in 20 mV steps (5 mmol/L potassium).
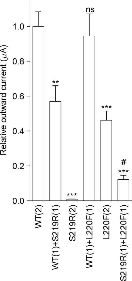
Figure 4. Effect of S219R and L220F mutations on ROMK channel activity. Relative outward potassium currents recorded by two-electrode voltage -clamp in Xenopus oocytes expressing ROMK. Oocytes were injected with 250 pg cRNA-encoding wild type (WT), S219R, or L220F mutant channel subunits. To mimic the compound heterozygous state of the patients, oocytes were coinjected with mixtures (given in parentheses) of the different cRNAs (250 pg in total). Data are mean ± SEM (n = 18 oocytes/group, from three frogs). ***P < 0.001; **P < 0.01; ns, P > 0.05 versus WT potassium current. #P < 0.001 versus WT+S219R current.
Figure 5. L220F affects phosphatidylinositol 4,5-bisphosphate (PIP2)-dependent gating of ROMK. Whole-cell potassium currents recorded in Xenopus oocytes coexpressing the M1 receptor with ROMK channels comprising wild type (WT) and/or L220F mutant subunits. Relative doses are given in parentheses. Data are expressed as the percent inhibition of the potassium current induced by exposure (10 min) to carbachol (25 μmol/L) and are mean ± SEM (n = 12–15 oocytes/group, from three frogs). ***P < 0.001; ns, P > 0.05 versus inhibition of WT potassium current.
Adzhubei,
A method and server for predicting damaging missense mutations.
2010, Pubmed
Adzhubei,
A method and server for predicting damaging missense mutations.
2010,
Pubmed
BARTTER,
Hyperplasia of the juxtaglomerular complex with hyperaldosteronism and hypokalemic alkalosis. A new syndrome.
1962,
Pubmed
Birkenhäger,
Mutation of BSND causes Bartter syndrome with sensorineural deafness and kidney failure.
2001,
Pubmed
Buyukcelik,
Bartter syndrome and growth hormone deficiency: three cases.
2012,
Pubmed
Fang,
Hypertension resistance polymorphisms in ROMK (Kir1.1) alter channel function by different mechanisms.
2010,
Pubmed
,
Xenbase
Hansen,
Structural basis of PIP2 activation of the classical inward rectifier K+ channel Kir2.2.
2011,
Pubmed
Huang,
Direct activation of inward rectifier potassium channels by PIP2 and its stabilization by Gbetagamma.
1998,
Pubmed
,
Xenbase
Ji,
Rare independent mutations in renal salt handling genes contribute to blood pressure variation.
2008,
Pubmed
Kovacs,
Maternal vitamin D deficiency: Fetal and neonatal implications.
2013,
Pubmed
Proesmans,
Threading through the mizmaze of Bartter syndrome.
2006,
Pubmed
Sali,
Comparative protein modelling by satisfaction of spatial restraints.
1993,
Pubmed
Sayer,
Extracellular calcium-sensing receptor dysfunction is associated with two new phenotypes.
2003,
Pubmed
Sayer,
Diagnosis and clinical biochemistry of inherited tubulopathies.
2001,
Pubmed
Schlingmann,
Salt wasting and deafness resulting from mutations in two chloride channels.
2004,
Pubmed
,
Xenbase
Sieck,
Fetal polyuria and hydramnios associated with Bartter's syndrome.
1984,
Pubmed
Simon,
Genetic heterogeneity of Bartter's syndrome revealed by mutations in the K+ channel, ROMK.
1996,
Pubmed
Simon,
Mutations in the chloride channel gene, CLCNKB, cause Bartter's syndrome type III.
1997,
Pubmed
Simon,
Bartter's syndrome, hypokalaemic alkalosis with hypercalciuria, is caused by mutations in the Na-K-2Cl cotransporter NKCC2.
1996,
Pubmed
Söding,
Protein homology detection by HMM-HMM comparison.
2005,
Pubmed
Vollmer,
Two novel mutations of the gene for Kir 1.1 (ROMK) in neonatal Bartter syndrome.
1998,
Pubmed
Watanabe,
Association between activating mutations of calcium-sensing receptor and Bartter's syndrome.
2002,
Pubmed
Xu,
Phosphorylation of the ATP-sensitive, inwardly rectifying K+ channel, ROMK, by cyclic AMP-dependent protein kinase.
1996,
Pubmed
,
Xenbase
Zeng,
Protein kinase C inhibits ROMK1 channel activity via a phosphatidylinositol 4,5-bisphosphate-dependent mechanism.
2003,
Pubmed
,
Xenbase