|
Figure 1. NaV1.4 channel ionic current, gating current, and site-specific fluorescent signals. NaV1.4 currents (black traces) were measured using cut-open oocyte clamp to achieve fast temporal resolution (Stefani et al., 1994) as described in Materials and methods. Changes in fluorescence magnitude (ΔF/F0; red traces) studied in four channels (DI-S216C, DII-S660C, DIII-L115C, and DIV-S1436C) after conjugation to TMRM. Groups of three to six cells reported as mean ± SEM in E and G. (A) Drawing of the NaV1.4 pore-forming subunit indicating four domains, each with six transmembrane segments; each S1–S4 group forms a voltage sensor, and the four S5–S6 spans are reentrant pore loops that create a single conduction pore. The S4 spans (light gray) are indicated (+) to have multiple arg and lys residues that carry the majority of the gating charge. “Lid” indicates hydrophobic triplet on the DIII–DIV linker that is responsible for fast inactivation. (B) Drawing represents the spatial arrangement of four voltage sensors around a central ion conduction pore. (C) Sodium currents. Activation and fast inactivation of ionic current are apparent with steps from a holding voltage of −100 mV to test potentials of −90 to +60 mV for 60 ms (10 ms shown) in 10-mV steps with a 10-s interpulse interval. For all recordings of ionic currents, gating currents were subtracted. (D) Gating current recorded as in C, with 2 µM TTX in the bath to block ionic current. (E) Channel current/voltage (I/V; circles) and gating current/voltage (Q/V; squares) relationships. Protocol as in C and D. Conductance was calculated by normalizing the current to the driving force (Erev = 7.9 mV), which was fit with a Boltzmann of the form 1/(1+ezFRT(V−Vmid)), giving a half-maximal voltage (Vmid) of −29.1 mV and z = 2.4. For the Q/V relationship, the fit gave Vmid = −27.5 mV and z = 1.1. (F) VCF measurements. Fast changes in fluorescence compared with baseline (ΔF/F0) for DI-S216C channels studied by applying steps from a holding potential of −120 mV to test potentials of −140 to 40 mV in 10-mV steps; traces at −140, −100, −60, −20, and 20 mV are shown. (G) Fluorescence/voltage (F/V) relationships for each of the four Nav1.4 domains. Fits as in E gave DI: Vmid = −74.6 mV and z = 1.3; DII: Vmid = −69.4 mV and z = 1.1; DIII: Vmid = −82.4 mV and z = 1.7; and DIV: Vmid = −70.6 mV and z = 1.5.
|
|
Figure 2. SI onset: Ionic and gating currents. Groups of 4–14 cells reported as mean ± SEM. (A) SI is probed by 320 repetitions of a triple-pulse protocol from a holding potential of −100 mV. A 5-ms test pulse to +45 mV was used to measure peak current (phase a); SI was induced by a 500-ms pulse at −100, −75, −45, −15, 15, or 45 mV (phase b); and a 30-ms pulse at −100 mV was used (phase c) to allow for recovery from fast inactivation before the next test pulse. Above protocol, sample traces from cycles 1, 2, 80, and 320 show progressive decrease in peak current with SI at +45 mV. Parameters for SI onset are reported in Table 1. (B) Loss of gating current with SI induced as in A. (Top) Sample traces from cycles 1, 2, 80, and 320 show progressive reduction in peak gating current with SI at +45 mV. (Bottom) Plot of the gating charge (Q, the integral of the gating current) with time at different potentials.
|
|
Figure 3. Single cysteine substitutions do not alter SI. Ionic currents for WT, DI-S216C, DII-S660C, DIII-L115C, or DIV-S1436C channels measured using the protocol in Fig. 2 A. Gating current is not subtracted from ionic current. Data for groups of four to six cells are shown as mean ± SEM. (A) Representative traces for the DI-S216C channel resulting from repetitive pulse to induce SI. (B) Voltage and time dependence of SI in the four mutant channels remain largely unchanged with the introduction of the cysteine and conjugation of the fluorophore (see C). (C) When a fluorophore is conjugated to each of four cysteine mutants, a slight shift to higher potentials in DI and DIII is observed compared with WT SI at 160 s. At +45 mV, this shift is seen as a trend for DI (P = 0.15) and significant for DIII (P < 0.05).
|
|
Figure 4. Voltage-sensor immobilization is observed with SI in all four domains. Changes in fluorescence magnitude (ΔF/F0) of TMRM conjugated to each domain via DI-S216C, DII-S660C, DIII-L115C, or DIV-S1436C. The mean ± SEM for groups of six to eight cells is reported. (A) Fluorescence. (Top) Application of the triple-pulse protocol reveals reduction in the ΔF/F0 with increasing cycle number: 4 ms before and 4 ms after the test step to +45 mV (phase a) for the indicated pulse is shown. (B) Time-dependent change in the magnitude of ΔF/F0 for the four channels on log–log plots using the triple-pulse protocol described in Fig. 2 A. Parameters are shown in Table 1. DI and DII show changes with voltage and cycle number that are most reminiscent of SI.
|
|
Figure 5. Immobilization of DI and DII voltage sensors is suppressed by TTX. Changes in the fluorescence magnitude (ΔF/F0) of TMRM conjugated to each domain via DI-S216C, DII-S660C, DIII-L115C, or DIV-S1436C in the presence of 2 µM TTX. The mean ± SEM for groups of 5–14 cells is reported. (A) Ionic currents. SI in wild-type channels in the absence and presence of the indicated levels of TTX by the protocol shown in Fig. 2 A. TTX inhibition decreases SI (P = 0.038 for 200 nM vs. control). (B) Fluorescence recordings as in Fig. 4 B with TTX. Parameters are shown in Table 2. DI and DII voltage sensors are significantly affected and are now reminiscent of gating currents. Insets compare immobilization for the indicated domain at 160 s with TTX (bright circles) and without TTX (dark triangles). (C) Expected gating charge immobilization based on fluorescence measurements. Each domain was assumed to carry 25% of the gating charge, and the traces represent the sum (see Results).
|
|
Figure 6. Recovery from SI: Ionic and gating currents. Changes in ionic and gating current as channels recover from SI. The mean ± SEM for groups of four to five cells is reported. (A) Sodium current. (Top) Recovery from SI is probed after induction pulses to +45 mV for 5, 40, or 160 s (phase a) during 5,000 cycles of 20 ms at −100 mV (phase b), followed by 4 ms at +45 mV when peak current is recorded (phase c). Sample traces from cycles 1, 2, 500, and 5,000 show the recovery of peak current. (Bottom) Voltage and cycle dependence of recovery from SI on log–log plots of peak current normalized to the steady-state (change of <1%) current after recovery. Parameters for recovery from SI are shown in Table 3. (B) Gating current. Recovery from SI is probed as in A, with 2 µM TTX.
|
|
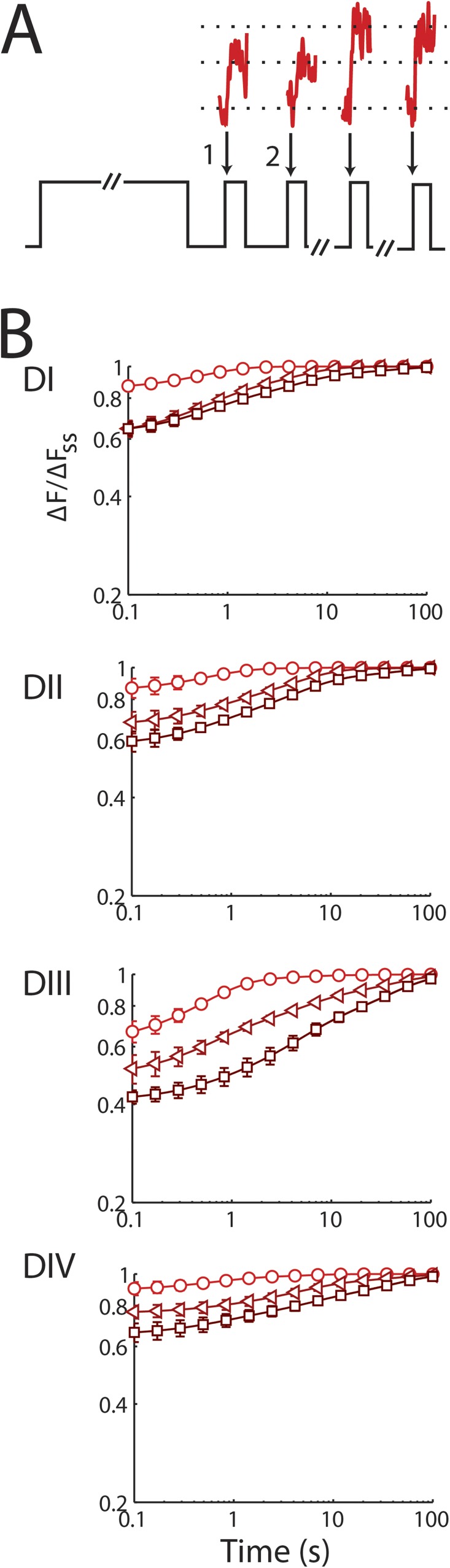
Figure 7. Recovery from SI is reflected in restored voltage-sensor mobility, especially DIII. Changes in fluorescence magnitude (ΔF/F0) studied as channels recover from SI. The mean ± SEM for groups of four to eight cells is reported. (A) Changes in ΔF/F0 with DI-S216C by the protocol shown in Fig. 6 A, with duration of 40 ms in phase b. (B) Voltage and cycle dependence of recovery from SI of ΔF/F0 for the four channels on log–log plots. Parameters are listed in Table 3; changes in DIII are notable.
|
|
Figure 8. Models of voltage-sensor slow immobilization. Experimental data are shown with symbols, and models are represented by solid blue lines. The effect of the protocol was removed for model fitting by subtracting the minimal changes in voltage-sensor activation observed with pulses to −100 mV. For fitting, experimental recovery is scaled so that it begins recovering from exactly the same fraction where onset terminated. Ionic current recovery is simulated using the same parameters and models used to simulate ionic onset (Table 5). These simplified models are qualitatively similar to the inactivation of the voltage sensors. (A) Model voltage-sensor slow immobilization for all four domains. (B) Model voltage-sensor recovery from slow immobilization for all four domains.
|