Click here to close
Hello! We notice that you are using Internet Explorer, which is not supported by Xenbase and may cause the site to display incorrectly.
We suggest using a current version of Chrome,
FireFox, or Safari.
Panousopoulou E
,
Tyson RA
,
Bretschneider T
,
Green JB
.
???displayArticle.abstract???
Convergent extension (CE) is a conserved morphogenetic movement that drives axial lengthening of the primary body axis and depends on the planar cell polarity (PCP) pathway. In Drosophila epithelia, a polarised subcellular accumulation of PCP core components, such as Dishevelled (Dvl) protein, is associated with PCP function. Dvl has long been thought to accumulate in the mediolateral protrusions in Xenopus chordamesoderm cells undergoing CE. Here we present a quantitative analysis of Dvl intracellular localisation in Xenopus chordamesoderm cells. We find that, surprisingly, accumulations previously observed at mediolateral protrusions of chordamesodermal cells are not protrusion-specific but reflect yolk-free cytoplasm and are quantitatively matched by the distribution of the cytoplasm-filling lineage marker dextran. However, separating cell cortex-associated from bulk Dvl signal reveals a statistical enrichment of Dvl in notochord-somite boundary-(NSB)-directed protrusions, which is dependent upon NSB proximity. Dvl puncta were also observed, but only upon elevated overexpression. These puncta showed no statistically significant spatial bias, in contrast to the strongly posteriorly-enriched GFP-Dvl puncta previously reported in zebrafish. We propose that Dvl distribution is more subtle and dynamic than previously appreciated and that in vertebrate mesoderm it reflects processes other than protrusion as such.
Fig. 1. Dvl cytoplasmic distribution in CE chordamesoderm cells is not polarised and is similar to that of dextran. (a) Stage 12.5 embryos were optically sectioned horizontally with respect to the anteroposterior axis, somewhat oblique to the equatorial plane of the gastrulaembryo. The NSB runs as two near-parallel lines defining the notochord (Nt) in the middle from somatic mesoderm (S) on either side. All NSB directed ends (asterisks) were grouped versus the anti-NSB directed, anterior (A) and posterior (P). (E) is ectoderm, (M) is mesoderm. (b) A horizontal confocal image of a stage 12.5 embryo showing mosaic expression of myc-Dvl (green cells). beta-catenin staining reveals cellular outlines and the NSB. ((c)â(e)) Colocalisation of Dvl and rhodamineâdextran in a bipolar cell. (f) Bars represent the average fractional fluorescence measurements in the respective cell quadrants (excluding the nucleus) for Dvl and dextran in non-NSB-captured mediolateraly polarised cells at st.12.5. No statistically significant bias in the distribution of the Dvl/dextran ratio was found. Measurements are for 83 cells. Error bars are ±2Ãstandard deviation.
Fig. 4. Frequency distribution of GFP-Dvl puncta. (a) Cells expressing GFP-Dvl were segmented as described above (red line around the cell) and the segmentation used to define a cortical strip of 5 μm (defined by outer red line and inner yellow line), which allows for puncta that are cortical, i.e. in very close proximity to the cell edge, to be counted. The cell domains were defined by the diagonals of a bounding rectangle (marked by white lines) and the length of each domain measured. The puncta identified and counted are marked by a red circle. (b) Puncta counts in each domain normalised to cell cortex length showed no statistically significant bias in their distribution. (c) The puncta count for each domain was normalised to the domain length, to account for different contour shapes between domains. No statistically significant bias was found between the four cell quadrants. Error bars are ±2à Standard error of the mean. ((c)â(e)). Controls for live imaging analysis of GFP-Dvl. (c) Single frame from a live stage 12.5 explant expressing 100 pg/embryo GFP-Dvl, showing a weak, diffuse fluorescence. (d) A stage 12.5 explant expressing 300 pg/embryo GFP-Dvl, fixed for 2 h at room temperature in MEMFA and imaged in 30% glycerol/PBS, showing bright cytoplasmic fluorescence and puncta. (e). Single frame from a live stage 12.5 explant expressing 250 pg/embryo of GFP, showing diffuse cytoplasmic fluorescence with no puncta. All injections were done at the 32-cell stage in blastomere C1.
Supplementary Figure 1. Dishevelled and Dextran show the same type and amount of enrichment at the NSB.
(a-c). A sample of an NSB-captured cell expressing Dvl ("a", green channel) and Dextran ("b", red channel). The white line in "c" (merged channels) marks the NSB. (d) Average, fractional fluorescence measurements of Dvl (green columns), Dextran (red columns) and the log of the Dvl/Dextran fluorescence ratio. Error bars are ± 2 x standard error of the mean.
Supplementary Figure 2. Distribution of Dishevelled in the sagittal plane throughout stages 11 to 12.5.
Anterior is to the top, red staining is anti-b-catenin (Alexa 568 secondary antibody), green staining is anti-myc-Dvl (Alexa 488 secondary antibody). (a) a x20 magnification of a sagittal view of a stage 11 embryo. Scale bar is 100μm. White dotted lines outline the boundaries between the ectoderm and mesoderm in stages 11.5 and 12 and between mesoderm and endoderm in stage 12.5. (d) A x 63 magnification of a sagittal view of a stage 11 embryo showing individual myc-Dvl expressing mesoderm cells. Scale bar is 100μm. The dotted and dashed white lines outline the same tissue boundaries as in (a). (b) x20 magnification of a stage 12 embryo, where the white dotted and dashed lines depict the same tissue boundaries as in (a). (e) is a x63 magnification of a st12embryo showing one ectodermal and three mesodermal myc-Dvl positive cells. (c) x20 of a late st12.5 embryo, where the dashed white lines depict the dorsal and ventralmesoderm boundaries and (f) and (g) are x63 magnifications of the same stage as (c), showing an example of non-boundary touching (f) and a boundary touching (g) myc-Dvl expressing cells. (h-m): Histogram bars represent the averaged fractional Dishevelled, Par-1A and GFP-CAAX measurements in each of the four cell measured domains (dorsal, ventral, anterior, posterior). Error bars are standard deviations intracellular distribution of Dishevelled (blue bars), Par- 1A (red bars) and GFP-CAAX (green bars) in sagittal view, from stage 11 to 12.5. (h) The distribution of Dvl, Par-1A and GFP-CAAX through stages 11, 11.5 and 12 has all been summarised, as they were very similar (whether cells were touching or not the dorsal boundary). For stage 12.5 cells that form part of the boundary (i, j) are presented separately than those that donât (k, l, m). Again, no significant enrichment in any cell domain or direction is observed for Dishevelled or Par-1A and the distribution of both proteins is highly nearly indistinguishable from GFP-CAAX.
Fig. 2. Quantification of Dvl cortical localisation in CE chordamesoderm cells. (a)–(c) Plot of average, fractional fluorescence of Dvl and dextran in the four domains of the cell and the average ratio between Dvl and dextran signal. (a) Non-NSB captured cells bipolarly protruding, towards and away from the NSB (n=34). (b) Non-NSB captured cells monopolarly protruding, towards the NSB (n=31). (c) Non-NSB captured cells monopolarly protruding, away from the NSB (n=24). Error bars represent ±2×standard deviation. (d) Schematic diagram summarising the statistically significant accumulations of Dvl/Dex fluorescence ratio over the entire population of cells analysed. Both bipolarly protruding and NSB-directed protruding cells show Dvl/Dex accumulation in NSB-directed protrusions compared to other cell domains, as indicated. Asterisks represent significance levels for each domain-pairwise comparison, where (⁎⁎⁎) represents p<0.001, (⁎⁎) is p<0.01 and (⁎) is p<0.05. The distances of cells to the NSB are not to scale.
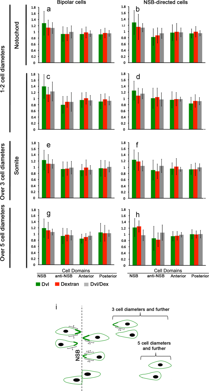
Fig. 3. Analysis of Dvl cortical localisation according to cellular location and distance from the NSB. Data from Fig. 2(a) and (b) are here shown broken down accoding to cellular location and distance (in cell diameters) from the notochord–somite boundary. ((a)–(h)) Fractional mean fluorescence of Dvl and dextran and their ratio in each cell domain. ((a)–(d)). Bipolarly protruding ((a) and (c)) and NSB-directed protruding cells ((b) and (d)) within 2 cell diameters from the NSB showing similarly significant enrichment in NSB-directed protrusions of both prospective notochord cells ((a) and (b)) and prospective somite cells ((c) and (d)). Bipolar cells that are 3 or more cell diameters away from the NSB (e) show only a mild enrichment at the NSB directed cell ends and NSB-directed cells (f) show no significant enrichment. Both bipolar and NSB-directed cells 5 or more cell diameters away from the NSB show no enrichment of Dvl in any domain. Error bars are ±2×standard deviation. (i) Schematic diagram summarising the statistically significant accumulations of Dvl/Dex fluorescence ratio in sub-categories of cells as indicated. The thickeness of the green line represents the accumulation of Dvl/Dex fluorescence. Black brackets are representing the pairwise comparisons between cellular domains (using multiple post hoc tests with a Bonferroni correction). Asterisks represent significance levels for each domain-pairwise comparison, where (⁎⁎⁎) represents p<0.001, (⁎⁎) is p<0.01 and (⁎) is p<0.05. The distances of cells to the NSB are not to scale.
Aigouy,
Cell flow reorients the axis of planar polarity in the wing epithelium of Drosophila.
2010, Pubmed
Aigouy,
Cell flow reorients the axis of planar polarity in the wing epithelium of Drosophila.
2010,
Pubmed
Axelrod,
Unipolar membrane association of Dishevelled mediates Frizzled planar cell polarity signaling.
2001,
Pubmed
Axelrod,
Differential recruitment of Dishevelled provides signaling specificity in the planar cell polarity and Wingless signaling pathways.
1998,
Pubmed
,
Xenbase
Bosgraaf,
Analysis of cell movement by simultaneous quantification of local membrane displacement and fluorescent intensities using Quimp2.
2009,
Pubmed
Ciruna,
Planar cell polarity signalling couples cell division and morphogenesis during neurulation.
2006,
Pubmed
Cohen,
Dynamic filopodia transmit intermittent Delta-Notch signaling to drive pattern refinement during lateral inhibition.
2010,
Pubmed
Concha,
Oriented cell divisions and cellular morphogenesis in the zebrafish gastrula and neurula: a time-lapse analysis.
1998,
Pubmed
Dale,
Regional specification within the mesoderm of early embryos of Xenopus laevis.
1987,
Pubmed
,
Xenbase
Darken,
The planar polarity gene strabismus regulates convergent extension movements in Xenopus.
2002,
Pubmed
,
Xenbase
Davidson,
Assembly and remodeling of the fibrillar fibronectin extracellular matrix during gastrulation and neurulation in Xenopus laevis.
2004,
Pubmed
,
Xenbase
Deardorff,
Frizzled-8 is expressed in the Spemann organizer and plays a role in early morphogenesis.
1998,
Pubmed
,
Xenbase
Devenport,
Mitotic internalization of planar cell polarity proteins preserves tissue polarity.
2011,
Pubmed
Djiane,
Role of frizzled 7 in the regulation of convergent extension movements during gastrulation in Xenopus laevis.
2000,
Pubmed
,
Xenbase
Dormann,
Simultaneous quantification of cell motility and protein-membrane-association using active contours.
2002,
Pubmed
Eaton,
Planar polarization of Drosophila and vertebrate epithelia.
1997,
Pubmed
Gao,
Wnt signaling gradients establish planar cell polarity by inducing Vangl2 phosphorylation through Ror2.
2011,
Pubmed
Gimlich,
Fluorescent dextran clonal markers.
1991,
Pubmed
,
Xenbase
Goto,
Planar cell polarity genes regulate polarized extracellular matrix deposition during frog gastrulation.
2005,
Pubmed
,
Xenbase
Gray,
Planar cell polarity: coordinating morphogenetic cell behaviors with embryonic polarity.
2011,
Pubmed
Green,
Convergent extension and the hexahedral cell.
2007,
Pubmed
Heisenberg,
Silberblick/Wnt11 mediates convergent extension movements during zebrafish gastrulation.
2000,
Pubmed
Jiang,
Ascidian prickle regulates both mediolateral and anterior-posterior cell polarity of notochord cells.
2005,
Pubmed
Karner,
Wnt9b signaling regulates planar cell polarity and kidney tubule morphogenesis.
2009,
Pubmed
,
Xenbase
Keller,
Cell intercalation during notochord development in Xenopus laevis.
1989,
Pubmed
,
Xenbase
Keller,
How we are shaped: the biomechanics of gastrulation.
2003,
Pubmed
,
Xenbase
Keller,
The patterning and functioning of protrusive activity during convergence and extension of the Xenopus organiser.
1992,
Pubmed
,
Xenbase
Keller,
The function and mechanism of convergent extension during gastrulation of Xenopus laevis.
1985,
Pubmed
,
Xenbase
Keller,
Regional expression, pattern and timing of convergence and extension during gastrulation of Xenopus laevis.
1988,
Pubmed
,
Xenbase
Keller,
Mediolateral cell intercalation in the dorsal, axial mesoderm of Xenopus laevis.
1989,
Pubmed
,
Xenbase
Kibar,
Ltap, a mammalian homolog of Drosophila Strabismus/Van Gogh, is altered in the mouse neural tube mutant Loop-tail.
2001,
Pubmed
Kinoshita,
PKC delta is essential for Dishevelled function in a noncanonical Wnt pathway that regulates Xenopus convergent extension movements.
2003,
Pubmed
,
Xenbase
Mlodzik,
A GAP in convergent extension scores PAR.
2006,
Pubmed
,
Xenbase
Ossipova,
Distinct PAR-1 proteins function in different branches of Wnt signaling during vertebrate development.
2005,
Pubmed
,
Xenbase
Park,
Subcellular localization and signaling properties of dishevelled in developing vertebrate embryos.
2005,
Pubmed
,
Xenbase
Rothbächer,
Dishevelled phosphorylation, subcellular localization and multimerization regulate its role in early embryogenesis.
2000,
Pubmed
,
Xenbase
Roy,
Specificity of Drosophila cytonemes for distinct signaling pathways.
2011,
Pubmed
Sanders,
Specialized filopodia direct long-range transport of SHH during vertebrate tissue patterning.
2013,
Pubmed
Schwarz-Romond,
The Wnt signalling effector Dishevelled forms dynamic protein assemblies rather than stable associations with cytoplasmic vesicles.
2005,
Pubmed
Selchow,
Structure and cytoskeletal organization of migratory mesoderm cells from the Xenopus gastrula.
1997,
Pubmed
,
Xenbase
Shih,
Patterns of cell motility in the organizer and dorsal mesoderm of Xenopus laevis.
1992,
Pubmed
,
Xenbase
Shih,
Cell motility driving mediolateral intercalation in explants of Xenopus laevis.
1992,
Pubmed
,
Xenbase
Shindo,
Coordination of cell polarity during Xenopus gastrulation.
2008,
Pubmed
,
Xenbase
Shulman,
Frizzled signaling and the developmental control of cell polarity.
1998,
Pubmed
,
Xenbase
Strutt,
Asymmetric localization of frizzled and the establishment of cell polarity in the Drosophila wing.
2001,
Pubmed
Ueno,
Planar cell polarity genes and neural tube closure.
2003,
Pubmed
,
Xenbase
Usui,
Flamingo, a seven-pass transmembrane cadherin, regulates planar cell polarity under the control of Frizzled.
1999,
Pubmed
Vinson,
Directional non-cell autonomy and the transmission of polarity information by the frizzled gene of Drosophila.
,
Pubmed
Wallingford,
Dishevelled controls cell polarity during Xenopus gastrulation.
2000,
Pubmed
,
Xenbase
Wallingford,
Convergent extension: the molecular control of polarized cell movement during embryonic development.
2002,
Pubmed
,
Xenbase
Wallingford,
Xenopus Dishevelled signaling regulates both neural and mesodermal convergent extension: parallel forces elongating the body axis.
2001,
Pubmed
,
Xenbase
Wang,
Regulation of polarized extension and planar cell polarity in the cochlea by the vertebrate PCP pathway.
2005,
Pubmed
Wilson,
Cell rearrangement and segmentation in Xenopus: direct observation of cultured explants.
1989,
Pubmed
,
Xenbase
Wilson,
Cell rearrangement during gastrulation of Xenopus: direct observation of cultured explants.
1991,
Pubmed
,
Xenbase
Wong,
Tissue polarity genes of Drosophila regulate the subcellular location for prehair initiation in pupal wing cells.
1993,
Pubmed
Yang-Snyder,
A frizzled homolog functions in a vertebrate Wnt signaling pathway.
1996,
Pubmed
,
Xenbase
Yin,
Cooperation of polarized cell intercalations drives convergence and extension of presomitic mesoderm during zebrafish gastrulation.
2008,
Pubmed
Zallen,
Planar polarity and tissue morphogenesis.
2007,
Pubmed