Click here to close
Hello! We notice that you are using Internet Explorer, which is not supported by Xenbase and may cause the site to display incorrectly.
We suggest using a current version of Chrome,
FireFox, or Safari.
J Ginseng Res
2011 Jun 01;352:191-9. doi: 10.5142/jgr.2011.35.2.191.
Show Gene links
Show Anatomy links
Differential effects of ginsenoside metabolites on HERG k channel currents.
Choi SH
,
Shin TJ
,
Hwang SH
,
Lee BH
,
Kang J
,
Kim HJ
,
Oh JW
,
Bae CS
,
Lee SH
,
Nah SY
.
???displayArticle.abstract???
The human ether-a-go-go-related gene (HERG) cardiac K(+) channels are one of the representative pharmacological targets for development of drugs against cardiovascular diseases such as arrhythmia. Panax ginseng has been known to exhibit cardioprotective effects. In a previous report we demonstrated that ginsenoside Rg3 regulates HERG K(+) channels by decelerating deactivation. However, little is known about how ginsenoside metabolites regulate HERG K(+) channel activity. In the present study, we examined the effects of ginsenoside metabolites such as compound K (CK), protopanaxadiol (PPD), and protopanaxatriol (PPT) on HERG K(+) channel activity by expressing human α subunits in Xenopus oocytes. CK induced a large persistent deactivating-tail current (Ideactivating-tail ) and significantly decelerated deactivating current decay in a concentration-dependent manner. The EC50 for persistent Ideactivating-tail was 16.6±1.3 μM. In contrast to CK, PPT accelerated deactivating-tail current deactivation. PPD itself had no effects on deactivating-tail currents, whereas PPD inhibited ginsenoside Rg3-induced persistent Ideactivating-tail and accelerated HERG K(+) channel deactivation in a concentration-dependent manner. These results indicate that ginsenoside metabolites exhibit differential regulation on Ideactivating-tail of HERG K(+) channel.
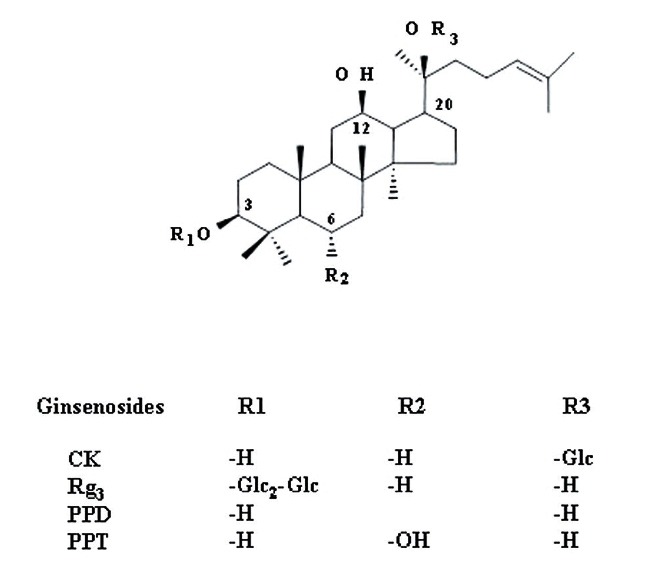
Fig. 1. Chemical structures of ginsenoside Rg3 and ginsenoside metabolites used in this study. CK, compound K; PPD, protopanaxadiol; PPT, protopanaxatriol; Glc, glucopyranoside.
Fig. 2. Effects of compound K (CK) on IHERG, Itail, and Ideactivating-tail. (A) Representative current traces on human ether-a-go-go-related gene (HERG) K+ channel enhancements by various concentrations of CK. Currents were in response to 4-s voltage steps to 0 mV from a holding potential of –90 mV, followed by repolarization to –60 mV. IHERG was obtained at the end of depolarization; Itail was obtained at beginning of repolarization; slow Ideactivating-tail was obtained at the end of repolarization as indicated by arrow in (A). (B) Concentration-response curves for the activation of HERG K+ currents by CK on IHERG, Itail, and Ideactivating-tail. Solid lines were fitted to the Hill equation. CK was potent for the enhancement of Ideactivating-tail. Bars represent the means±SEM (n=5-7). (C) The representative control (upper traces) and 100 μM CK-mediated currents (down traces) in I-V relationship. Currents were recorded at test potential from –60 to + 50 mV. Itail and Ideactivating-tail were recorded after repolarization to –60 mV. (D) I-V relationships for HERG K+ currents measurement at the end of the 4-s test pulse before and after application of 3, 10, and 30 μM CK (n=5). Currents were normalized to the control current at 0 mV for each oocyte. Data are represented by the means±SEM (n=7). (E) Effects of CK on the steady-state activation curve for HERG K+ channel. Itail were normalized to the peak current under each condition, and the data were fitted with a Boltzmann function. Treatment of CK (10, 30, and 100 μM) did cause a leftward shift. Con, control.
Fig. 3. Effects of protopanaxatriol (PPT) on IHERG, Itail, and Ideactivating-tail. (A) Representative current traces on human ether-a-go-go-related gene (HERG) K+ channel inhibitions by various concentrations of PPT. Currents were in response to 4-s voltage steps to 0 mV from a holding potential of –90 mV, followed by repolarization to –60 mV. IHERG was obtained at the end of depolarization; Itail was obtained at beginning of repolarization; slow Ideactivating-tail was obtained at the end of repolarization as indicated by the arrow. (B) Concentration-response curves for the inhibition of HERG K+ currents by PPT on IHERG, Itail, and Ideactivating-tail. Solid lines were fitted to the Hill equation. PPT was potent for the inhibition of Ideactivating-tail. Bars represent the means±SEM (n=5-7). (C) The representative control (upper traces) and 100 μM PPT-mediated currents (down traces) in I-V relationship. Currents were recorded at test potential from –60 to +50 mV. Itail and Ideactivating-tail were recorded after repolarization to –60 mV. (D) I-V relationships for HERG K+ currents measurement at the end of the 4-s test pulse before and after application of 3, 10, and 30 μM PPT (n=5). Currents were normalized to the control current at 0 mV for each oocyte. Data are represented by the means±SEM (n=7). (E) Effects of PPT on the steady-state activation curve for HERG K+ channel. Itail were normalized to the peak current under each condition, and the data were fitted with a Boltzmann function. Treatment of PPT (3, 10, and 30 μM) did not cause a leftward shift. Con, control.
Fig. 4. Effects of protopanaxadiol (PPD) on Rg3-mediated IHERG, Itail, and Ideactivating-tail. (A) Representative current traces on human ether-a-go-go-related gene (HERG) K+ channel inhibitions by various concentrations of PPD itself (left panel). Currents were in response to 4-s voltage steps to 0 mV from a holding potential of –90 mV, followed by repolarization to –60 mV. IHERG was obtained at the end of depolarization; Itail was obtained at beginning of repolarization; slow Ideactivating-tail was obtained at the end of repolarization as indicated by the arrow. Concentration-dependent inhibitions of HERG K+ currents by PPD on Rg3-mediated IHERG, Itail, and Ideactivating-tail (right panel). (B) I-V relationships for HERG K+ currents measurement at the end of the 4-s test pulse before (upper traces) and after application of 1 μM Rg3 plus 100 μM PPD (down traces). Currents were normalized to the control current at 0 mV for each oocyte (right panel). Data are represented by the means±SEM (n=7). (C) Concentration-response curves for the activation of HERG K+ currents by Rg3 in the absence or presence of PPD on IHERG, Itail, and Ideactivating-tail. Solid lines were fitted to the Hill equation. PPD significantly affected Ideactivating-tail. Bars represent the means±SEM (n=5-7). (D) Effects of PPD on Rg3-mediated the steady-state activation curve for HERG K+ channel. Itail were normalized to the peak current under each condition, and the data were fitted with a Boltzmann function. Treatment of 100 μM PPD in the presence of 0.3, 1, or 3 μM Rg3 did not cause a leftward shift. Con, control.
Attele,
Ginseng pharmacology: multiple constituents and multiple actions.
1999, Pubmed
Attele,
Ginseng pharmacology: multiple constituents and multiple actions.
1999,
Pubmed
Choi,
Ginsenoside Rg3 activates human KCNQ1 K+ channel currents through interacting with the K318 and V319 residues: a role of KCNE1 subunit.
2010,
Pubmed
,
Xenbase
Choi,
Ginsenoside Rg(3) decelerates hERG K(+) channel deactivation through Ser631 residue interaction.
2011,
Pubmed
,
Xenbase
Hasegawa,
Prevention of growth and metastasis of murine melanoma through enhanced natural-killer cytotoxicity by fatty acid-conjugate of protopanaxatriol.
2002,
Pubmed
Kim,
A role for the carbohydrate portion of ginsenoside Rg3 in Na+ channel inhibition.
2005,
Pubmed
,
Xenbase
Lee,
Differential effect of ginsenoside metabolites on the 5-HT3A receptor-mediated ion current in Xenopus oocytes.
2004,
Pubmed
,
Xenbase
Lee,
Effects of ginsenosides and their metabolites on voltage-dependent Ca(2+) channel subtypes.
2006,
Pubmed
,
Xenbase
Lee,
Ginsenoside Rg3 inhibits human Kv1.4 channel currents by interacting with the Lys531 residue.
2008,
Pubmed
,
Xenbase
Lee,
Differential effect of bovine serum albumin on ginsenoside metabolite-induced inhibition of alpha3beta4 nicotinic acetylcholine receptor expressed in Xenopus oocytes.
2003,
Pubmed
,
Xenbase
Robbins,
KCNQ potassium channels: physiology, pathophysiology, and pharmacology.
2001,
Pubmed
Sanguinetti,
A mechanistic link between an inherited and an acquired cardiac arrhythmia: HERG encodes the IKr potassium channel.
1995,
Pubmed
,
Xenbase
Scholz,
Inhibition of cardiac HERG channels by grapefruit flavonoid naringenin: implications for the influence of dietary compounds on cardiac repolarisation.
2005,
Pubmed
,
Xenbase
Tristani-Firouzi,
Structural determinants and biophysical properties of HERG and KCNQ1 channel gating.
2003,
Pubmed
Wakabayashi,
An intestinal bacterial metabolite of ginseng protopanaxadiol saponins has the ability to induce apoptosis in tumor cells.
1998,
Pubmed