Click here to close
Hello! We notice that you are using Internet Explorer, which is not supported by Xenbase and may cause the site to display incorrectly.
We suggest using a current version of Chrome,
FireFox, or Safari.
???displayArticle.abstract???
Studies on the role of the E-box binding transcription factor Snail2 (Slug) in the induction of neural crest by mesoderm (Shi et al., 2011) revealed an unexpected increase in the level of sizzled RNA in the dorsolateral mesodermal zone (DMLZ) of morphant Xenopus embryos. sizzled encodes a secreted protein with both Wnt and BMP inhibitor activities. Morpholino-mediated down-regulation of sizzled expression in one cell of two cell embryos or the C2/C3 blastomeres of 32-cell embryos, which give rise to the DLMZ, revealed decreased expression of the mesodermal marker brachyury and subsequent defects in neural crest induction, pronephros formation, and muscle patterning. Loss of sizzled expression led to decreases in RNAs encoding the secreted Wnt inhibitor SFRP2 and the secreted BMP inhibitor Noggin; the sizzled morphant phenotype could be rescued by co-injection of RNAs encoding Noggin and either SFRP2 or Dickkopf (a mechanistically distinct Wnt inhibitor). Together, these observations reveal that sizzled, in addition to its established role in dorsal-ventral patterning, is also part of a dynamic BMP and Wnt signaling network involved in both mesodermal patterning and neural crest induction.
???displayArticle.pubmedLink???
23213419
???displayArticle.pmcLink???PMC3507283 ???displayArticle.link???Biol Open ???displayArticle.grants???[+]
Fig 1. Expression analysis of sizzled.
In situ hybridization of stage 12 (A,B) and stage 18 (C,D) embryos revealed high levels of expression in both rostral and caudal ventral regions, as well as lower, but detectable expression within the neural ectoderm and neural crest. In later stages, sizzled in situ hybridization staining (E) was readily detected in the ventral and cranial regions. Standard RT-PCR (F) (stage 11) revealed readily detectable levels of sizzled RNA in whole embryos (WE), the ventral axial marginal zone (VAMZ) and dorsal axial marginal zone (DAMZ). Quantitative RT-PCR of the dorsal and ventral regions of stage 25 embryos (G) revealed readily detectable levels of sizzled RNA in both regions. qPCR analysis (H) of control and morpholino-injected embryos (both blastomeres of 2 cell embryos injected, embryos analyzed at stage 11) reveal an increase in sizzled RNA snail2/slug, snail1, and twist1 morphant embryos.
Fig. 2. Morpholino-based studies of sizzled function.
(A) 1 cell embryos were injected with RNA encoding either Sizzled-HA or SizzledD92N-HA (200 pgs/embryo) together with 200 pgs/embryo GFP RNA either alone or together with 7â ngs/embryosizzled morpholino; immunoblot analysis of stage 11 embryos indicated that GFP accumulation was unaffected by morpholino injection, while Sizzled-HA protein levels were reduced, but not completely eliminated. Injection of the sizzled morpholino into 1 cell of 2 cell embryos, together with RNA encoding lacZ as a lineage marker, revealed that compared to control embryos (B), there was a decrease in xbra in situ hybridization staining (C) that could be rescued by the co-injection of sizzled RNA (D). Similarly, the expression of the endodermal marker endodermin (E) was increased in sizzled morphant embryos (F), and this increase was reversed by sizzled RNA injection (G). These effects extended into later stages. Staining with the monoclonal antibody 4A6, which labels the pronephros, revealed a decrease in staining on the injected (H*) compared to the uninjected sides (H) of stage 30 embryos. Similarly, the expression of myoD ((I)-control, (J)-sizzled morpholino) (* indicates injection artifact) and the organization of somatic myotomal muscle, visualized by whole-mount staining with an antibody against tropomyosin, ((K), (M)-control, (L)-sizzled morpholino-injected side, (N)-section of whole-mount stained, injected embryo) were disrupted in sizzled morpholino injected regions of the embryo (* indicates injected side in part N).
Fig3. 32-cell sizzled morphant phenotypes and rescue.
Sizzled morpholino was injected, together with GFP RNA, into the C2/C3 blastomeres of 32 cell stage embryos. Embryos were sorted based on fluorescence at stage 10. Stage 11 embryos were stained for xbra RNA ((A)-control, (B,C)-morphant); stage 18 embryos were stained for snail2 ((D)-control, (E,F)-morphant), twist1 ((G)-control, (H,I)-morphant), sox9 ((J)-control, (K,L)-morphant) RNAs. Effects on myoD RNA were examined at stage 25 ((M)-control, (N)-morphant). (O) sox9 expression in sizzled MO embryos was rescued by sizzled RNA injection (200 pgs/embryo) but not by sizzled D92N RNA (green bars indicate percentage of embryos with a wild type phenotype, red bars indicate loss of sox9 RNA staining).
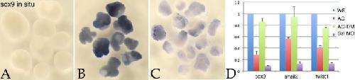
Fig 4. Sizzled-dependent induction in ectodermal-DLMZ explants.
Ectodermal explants were isolated from stage 8/9 embryos and cultured either alone (A) or together with DLMZ explants, isolated from stage 10 wild type (B) or sizzled C2/C3 morphant (C) embryos. When control embryos reached stage 18, explants were stained in situ for sox9 RNA. In similar studies (D), explants were analyzed when control embryos reached stage 11 by qPCR for levels of sox9, snail2, or twist1 RNAs. Levels of these RNAs in whole embryos (WE), animal caps (AC), control animal cap-dorsal mesoderm (AC-DM) or control animal cap-sizzled morphant dorsal mesoderm (sizzled MO) were compared.
Fig 5. Sizzled-dependent changes in DLMZ gene expression and antagonist rescue studies.
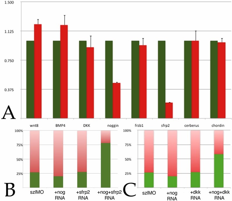
(A) The DLMZ region (at stage 11) was isolated from C2/C3 sizzled morphant embryos and subjected to qPCR analysis. Compared to control DLMZs (green), sizzled morphant DLMZs (red) showed small but reproducible increases in wnt8 and bmp4 RNA levels, and reproducible decreases in noggin and and sfrp2 RNA levels. (B) We then examined the ability of injection of noggin and sfrp2 RNAs, either alone or together, to rescue the sizzled C2/C3 morphant sox9 phenotype: neither was effective alone, but in combination they produced a robust rescue. Green bars indicated rescued embryos, red bars indicate loss of sox9 expression. (C) Given that SFRP2 may have both anti-Wnt and anti-BMP activities, we examined the behavior of the ureWnt antagonist Dkk. As before, neither noggin or dkk RNAs alone rescued, but together they produced a greater than 50% rescue of sox9 expression.
Fig 6. Effects of sizzled over-expression.
The effects of sizzled over-expression were complex, as illustrated when the effects of injecting low (200 pgs/embryo) or high (600 pgs/embryo) amounts of sizzled-HA RNA into one blastomere of two cell embryos (control, uninjected side to the left in all images.) At stage 18, the effects on the expression of sox9 ((A)-control, (B)-low, (C)-high) and twist1 ((D)-control, (E)-low, (F)-high), snail2 ((G)-control, (H)-high), chd7 ((I)-high), and c-myc ((J)-control, (K,L)-high) were analyzed. In embryos injected with 200 pgs of Sizzled-HA RNA the sox9 expression domain was altered in 27 of 30 embryos (B); the twist1 expression domain was altered in 26 of 31 embryos (E); the snail2 expression domain was altered in 26 of 30 embryos (G); and the chd7 expression domain was altered in 19 of 24 embryos (data not shown). In embryos injected with 600 pgs of Sizzled-HA RNA, the sox9 expression domain was altered in 21 of 24 embryos (C); the twist1 expression domain was altered in 19 of 22 embryos (F); the snail2 expression domain was altered in 22 of 26 embryos (H); the chd7 expression domain was altered in 16 of 18 embryos (I); and the c-myc expression domain was altered in 24 of 28 embryos (K,L). Red-brown staining indicates lacZ staining due to co-injected LacZ RNA (used as a lineage marker).
Akkers,
A hierarchy of H3K4me3 and H3K27me3 acquisition in spatial gene regulation in Xenopus embryos.
2009, Pubmed,
Xenbase
Akkers,
A hierarchy of H3K4me3 and H3K27me3 acquisition in spatial gene regulation in Xenopus embryos.
2009,
Pubmed
,
Xenbase
Alves,
Role of the epithelial-mesenchymal transition regulator Slug in primary human cancers.
2009,
Pubmed
Bafico,
Novel mechanism of Wnt signalling inhibition mediated by Dickkopf-1 interaction with LRP6/Arrow.
2001,
Pubmed
Beck,
Involvement of NF-kappaB associated proteins in FGF-mediated mesoderm induction.
1998,
Pubmed
,
Xenbase
Bonstein,
Paraxial-fated mesoderm is required for neural crest induction in Xenopus embryos.
1998,
Pubmed
,
Xenbase
Bovolenta,
Beyond Wnt inhibition: new functions of secreted Frizzled-related proteins in development and disease.
2008,
Pubmed
Chaffer,
A perspective on cancer cell metastasis.
2011,
Pubmed
Collavin,
The secreted Frizzled-related protein Sizzled functions as a negative feedback regulator of extreme ventral mesoderm.
2003,
Pubmed
,
Xenbase
Dale,
Fate map for the 32-cell stage of Xenopus laevis.
1987,
Pubmed
,
Xenbase
Dent,
A whole-mount immunocytochemical analysis of the expression of the intermediate filament protein vimentin in Xenopus.
1989,
Pubmed
,
Xenbase
De Robertis,
Dorsal-ventral patterning and neural induction in Xenopus embryos.
2004,
Pubmed
,
Xenbase
De Robertis,
Spemann's organizer and the self-regulation of embryonic fields.
2009,
Pubmed
,
Xenbase
Esteve,
The advantages and disadvantages of sfrp1 and sfrp2 expression in pathological events.
2010,
Pubmed
Glinka,
Dickkopf-1 is a member of a new family of secreted proteins and functions in head induction.
1998,
Pubmed
,
Xenbase
Hanahan,
Hallmarks of cancer: the next generation.
2011,
Pubmed
Häusler,
Secreted frizzled-related protein-1 inhibits RANKL-dependent osteoclast formation.
2004,
Pubmed
Hellsten,
The genome of the Western clawed frog Xenopus tropicalis.
2010,
Pubmed
,
Xenbase
Hugo,
Defining the E-cadherin repressor interactome in epithelial-mesenchymal transition: the PMC42 model as a case study.
2011,
Pubmed
Kennedy,
Xrel3/XrelA attenuates β-catenin-mediated transcription during mesoderm formation in Xenopus embryos.
2011,
Pubmed
,
Xenbase
Kennedy,
Regulation of the response to Nodal-mediated mesoderm induction by Xrel3.
2007,
Pubmed
,
Xenbase
Kiełbówna,
The formation of somites and early myotomal myogenesis in Xenopus laevis, Bombina variegata and Pelobates fuscus.
1981,
Pubmed
,
Xenbase
Klymkowsky,
Whole-mount staining of Xenopus and other vertebrates.
1991,
Pubmed
,
Xenbase
Klymkowsky,
Epithelial-mesenchymal transition: a cancer researcher's conceptual friend and foe.
2009,
Pubmed
,
Xenbase
Kobayashi,
Secreted Frizzled-related protein 2 is a procollagen C proteinase enhancer with a role in fibrosis associated with myocardial infarction.
2009,
Pubmed
,
Xenbase
Lake,
Xrel3 is required for head development in Xenopus laevis.
2001,
Pubmed
,
Xenbase
Langmead,
Ultrafast and memory-efficient alignment of short DNA sequences to the human genome.
2009,
Pubmed
Lee,
Embryonic dorsal-ventral signaling: secreted frizzled-related proteins as inhibitors of tolloid proteinases.
2006,
Pubmed
,
Xenbase
Micalizzi,
Epithelial-mesenchymal transition in cancer: parallels between normal development and tumor progression.
2010,
Pubmed
Mii,
Secreted Frizzled-related proteins enhance the diffusion of Wnt ligands and expand their signalling range.
2009,
Pubmed
,
Xenbase
Misra,
A critical role for sFRP proteins in maintaining caudal neural tube closure in mice via inhibition of BMP signaling.
2010,
Pubmed
Moody,
Fates of the blastomeres of the 32-cell-stage Xenopus embryo.
1987,
Pubmed
,
Xenbase
Muntz,
Myogenesis in the trunk and leg during development of the tadpole of Xenopus laevis (Daudin 1802).
1975,
Pubmed
,
Xenbase
Muraoka,
Sizzled controls dorso-ventral polarity by repressing cleavage of the Chordin protein.
2006,
Pubmed
Nakamura,
Further studies of the prospective fates of blastomeres at the 32-cell stage of Xenopus laevis embryos.
1978,
Pubmed
,
Xenbase
Ploper,
Dorsal-ventral patterning: Crescent is a dorsally secreted Frizzled-related protein that competitively inhibits Tolloid proteases.
2011,
Pubmed
,
Xenbase
Rubenstein,
Localizing the adhesive and signaling functions of plakoglobin.
1997,
Pubmed
,
Xenbase
Salic,
Sizzled: a secreted Xwnt8 antagonist expressed in the ventral marginal zone of Xenopus embryos.
1997,
Pubmed
,
Xenbase
Schier,
Nodal morphogens.
2009,
Pubmed
Semënov,
Head inducer Dickkopf-1 is a ligand for Wnt coreceptor LRP6.
2001,
Pubmed
,
Xenbase
Shi,
Snail2 controls mesodermal BMP/Wnt induction of neural crest.
2011,
Pubmed
,
Xenbase
Shirley,
The skinny on Slug.
2010,
Pubmed
Smith,
Forming and interpreting gradients in the early Xenopus embryo.
2009,
Pubmed
,
Xenbase
Smith,
Expression cloning of noggin, a new dorsalizing factor localized to the Spemann organizer in Xenopus embryos.
1992,
Pubmed
,
Xenbase
Tannahill,
Control of axis formation in Xenopus by the NF-kappa B-I kappa B system.
1995,
Pubmed
,
Xenbase
Trapnell,
TopHat: discovering splice junctions with RNA-Seq.
2009,
Pubmed
Trapnell,
Transcript assembly and quantification by RNA-Seq reveals unannotated transcripts and isoform switching during cell differentiation.
2010,
Pubmed
Vize,
Development of the Xenopus pronephric system.
1995,
Pubmed
,
Xenbase
Wessely,
Xenopus pronephros development--past, present, and future.
2011,
Pubmed
,
Xenbase
Wilhelm,
Defining transcribed regions using RNA-seq.
2010,
Pubmed
Yabe,
Ogon/Secreted Frizzled functions as a negative feedback regulator of Bmp signaling.
2003,
Pubmed
,
Xenbase
Zhang,
The beta-catenin/VegT-regulated early zygotic gene Xnr5 is a direct target of SOX3 regulation.
2003,
Pubmed
,
Xenbase
Zhang,
An NF-kappaB and slug regulatory loop active in early vertebrate mesoderm.
2006,
Pubmed
,
Xenbase
Zhang,
Unexpected functional redundancy between Twist and Slug (Snail2) and their feedback regulation of NF-kappaB via Nodal and Cerberus.
2009,
Pubmed
,
Xenbase