|
Figure 1. Double helix association, conformation and positioning on the histone octamer. (A and B) Minor and major groove-inward-facing regions are orange and black, respectively, with ‘pressure points’ at minor groove-inward centres highlighted gold. Histone proteins are blue, H3, green, H4, yellow, H2A and red, H2B (DNA-binding motifs: L, loop, A, α-helix). (A) Section of the NCP-601L crystal structure with phosphorous atoms of the ‘binding platforms’ shown as spheres. Bound single-strand regions act as a ‘hinge’, allowing conformational variation between different DNA sequences. (B) NCP constructs are arranged in order of increasing salt stability. Severe kinks at locations of DNA stretching around SHL ±2 or ±5 (magenta underlines), associated with a single base pair shift in histone-nucleotide register, are depicted as gaps in the sequence. DNA-permanganate reactivity hotspots in the nucleosomal state from footprinting analysis (six constructs) are indicated with green asterisks. Sites where the nucleosomal DNA shows reduced permanganate reactivity relative to the naked state are indicated with blue arrowheads. Capitalized bases in the Widom consensus sequence represent the most highly conserved nucleotides (17). The histone–DNA register assignments for NCP-601R and the Widom consensus sequence, for which crystal structures are not available, were inferred from the structures of NCP-601 and NCP-601L.
|
|
Figure 2. DNA sequence-dependent salt stability of the nucleosome core. Dissociation points correspond to the midpoints of NaCl-induced DNA–histone dissociation measured by tyrosine fluorescence spectroscopy. NCP-601* is composed of a 147 bp Widom 601 fragment (12).
|
|
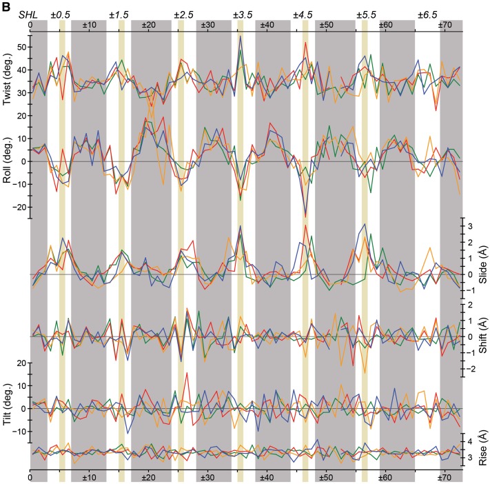
Figure 3. Dinucleotide step parameters. (A) Illustration of the six degrees of freedom for DNA structure at the base pair step level. (B) Dinucleotide step values for NCP-601L (blue) and NCP147 (green) averaged over one particle half and for the two particle halves of NCP146b (red and yellow; NCP146b displays a distinct DNA–histone register in each half). Dinucleotide steps in major groove-inward sections in addition to the flanking major-to-minor groove-inward interface steps have a grey shaded background. The four dinucleotide steps in each minor groove-inward section have a white background with a gold shading indicating the step located at the pressure point.
|
|
Figure 4. DNA binding and structure over TA elements in NCP-601L. (A–D) TA dinucleotides (bases, space filling dots) are situated at the pressure points of the centrally located histone binding sites, where they display a diversity in conformational distortions. Rotational dislocation of bases within the TA step (curved arrows, only front strand shown for clarity) permits unabated compression of the minor groove for fitting of the binding platform (phosphorous atoms, spheres) to the histone surface. DNA–histone hydrogen bonds appear as black dashed lines. Permanganate reactivity hotspots are designated with asterisks, whereby that at SHL ±2.5 is by far the most prominent as a consequence of extreme base unstacking promoted by base pair displacement into the minor and major grooves via shift (C, arrows). Note that shift is also the primary DNA structural parameter influencing platinum drug reaction, since it dictates solvent access to the major groove edge (14).
|
|
Figure 5. Constraints of histone binding on double helix structure and site-dependent variation between different DNA sequences. (A–D) The structures of NCP147 (magenta), NCP146b (yellow) and NCP-601L (cyan) were superimposed via the histone-fold regions of the octamer (DNA binding motifs: L, loop, A, α-helix). The phosphorous atoms of the binding platforms appear as large spheres, and water molecules mediating a conserved DNA–histone hydrogen bond bridge are shown with small spheres (A and C; CWB). (A and C) H3–H4 tetramer binding sites. (B and D) H2A–H2B dimer binding sites.
|
|
Figure 6. DNA single-strand histone attachment points act as hinges to allow double helix conformational freedom. (A and B) DNA stretching around SHL ± 1 to SHL ± 2 in NCP145 (cyan) gives rise to substantial structural differences compared to NCP147 (magenta), which displays no stretching but is composed of a DNA with nearly identical sequence. Histone association with the binding platforms (phosphorous atoms, spheres) is very similar between the two constructs, whereby the extreme stretch-associated kinking in NCP145 (bases, space-filling dots) at either SHL −1 (A; CA = TG, roll = 38°, rise = 5.0 Å) or SHL 1.5 (B; GG = CC, roll = −52°, rise = 5.7 Å) is accommodated largely by swivel-like repositioning of the double helix (curved arrows) about the hinges (brackets). This results in a distinct distribution of helix axis (tubes) curvature between the major and minor groove-inward regions (values shown).
|
|
Figure 7. KMnO4 footprinting reveals DNA context-dependent distortions. (A and B) DNA samples, comprising six different constructs, correspond to purine sequencing standard (m) or naked DNA (D) and NCP (N) that were subjected to permanganate reactivity analysis. Minor groove-inward-facing nucleotides (highlighted in orange), regions of DNA stretching (magenta arrows; dashed for mixed stretched and non-stretched configurations) and the central nucleotide (blue dot) are based on the crystal structure assignments (Figure 1B).
|
|
Figure 8. G|C-rich elements can undergo energetically favourable distortions at minor groove-inward positions by adopting specialized conformations. Stereo view of the AGGGA (=TCCCT) motif at the SHL − 1.5 location in NCP146b, which displays smooth bending with pronounced alternating displacement of base pairs into the minor groove (downward-pointing arrow and filled circle indicating displacement away from the viewer) and major groove (upward-pointing arrows) via fluctuating shift. DNA–histone hydrogen bonds appear as black dashed lines. Permanganate reactivity hotspots are designated with asterisks.
|
|
Figure 9. The intrinsic conformation of the DNA sequence dictates the structural changes required for histone association. NCP145 (magenta) and NCP-TA2 (cyan) both undergo DNA stretching around SHL 1 to SHL 2, but differ in DNA sequence over the SHL ± 1.5 region. The extreme kinking at GG = CC (bases, space-filling dots; roll = −52°, rise = 5.7 Å) in NCP145 serves to massively elongate (stretch, double-headed arrows) the DNA and simultaneously narrow the minor groove of the G|C-rich element, GCCTT. In contrast, however, the TTAAA element of NCP-TA2 has an intrinsically narrow minor groove (compare SHL 1.5 phosphodiester backbone regions facing viewer) and therefore only exhibits a modest stretch-associated kink at TA (bases, space-filling dots; roll = −17°, rise = 4.2 Å) as the minor groove would otherwise be overly narrow for histone association of the binding platform (phosphorous atoms, spheres). The remainder of the DNA stretch for NCP-TA2 is distributed over several dinucleotides towards SHL 2.
|