XB-ART-45667
BMC Genomics
2012 Jul 16;13:315. doi: 10.1186/1471-2164-13-315.
Show Gene links
Show Anatomy links
Deep ancestry of mammalian X chromosome revealed by comparison with the basal tetrapod Xenopus tropicalis.
???displayArticle.abstract???
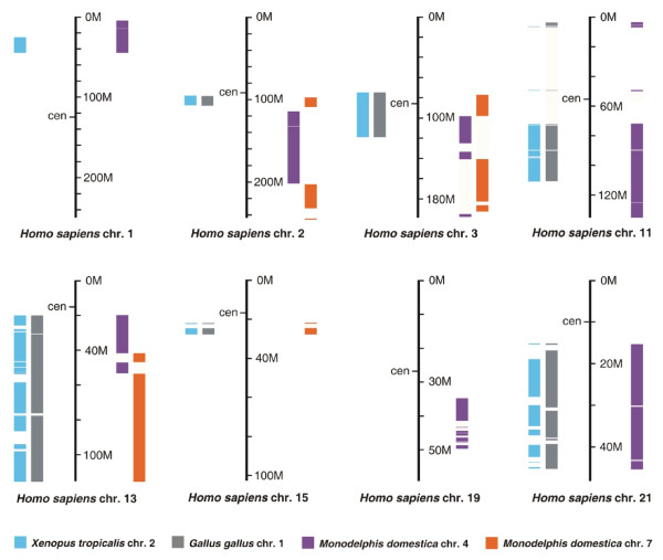
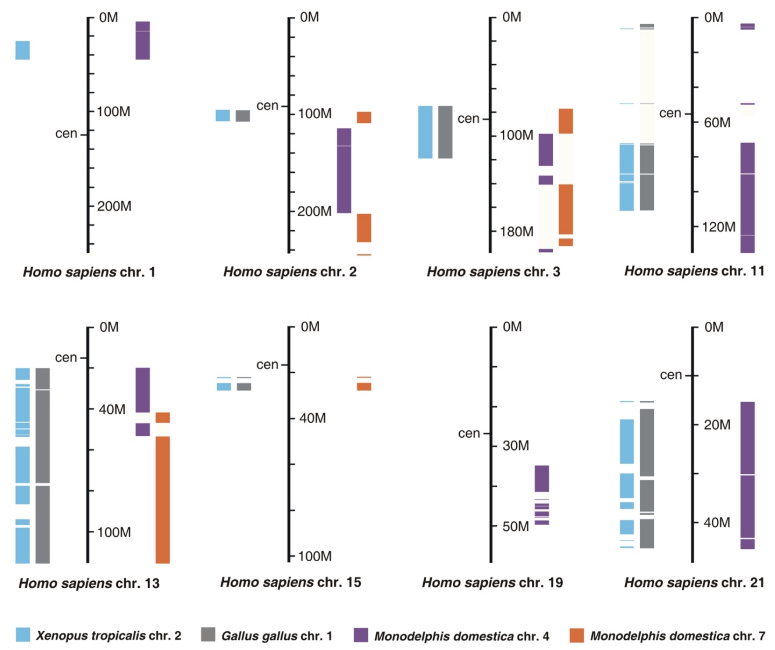
BACKGROUND: The X and Y sex chromosomes are conspicuous features of placental mammal genomes. Mammalian sex chromosomes arose from an ordinary pair of autosomes after the proto-Y acquired a male-determining gene and degenerated due to suppression of X-Y recombination. Analysis of earlier steps in X chromosome evolution has been hampered by the long interval between the origins of teleost and amniote lineages as well as scarcity of X chromosome orthologs in incomplete avian genome assemblies. RESULTS: This study clarifies the genesis and remodelling of the Eutherian X chromosome by using a combination of sequence analysis, meiotic map information, and cytogenetic localization to compare amniote genome organization with that of the amphibian Xenopus tropicalis. Nearly all orthologs of human X genes localize to X. tropicalis chromosomes 2 and 8, consistent with an ancestral X-conserved region and a single X-added region precursor. This finding contradicts a previous hypothesis of three evolutionary strata in this region. Homologies between human, opossum, chicken and frog chromosomes suggest a single X-added region predecessor in therian mammals, corresponding to opossum chromosomes 4 and 7. A more ancient X-added ancestral region, currently extant as a major part of chicken chromosome 1, is likely to have been present in the progenitor of synapsids and sauropsids. Analysis of X chromosome gene content emphasizes conservation of single protein coding genes and the role of tandem arrays in formation of novel genes. CONCLUSIONS: Chromosomal regions orthologous to Therian X chromosomes have been located in the genome of the frog X. tropicalis. These X chromosome ancestral components experienced a series of fusion and breakage events to give rise to avian autosomes and mammalian sex chromosomes. The early branching tetrapod X. tropicalis' simple diploid genome and robust synteny to amniotes greatly enhances studies of vertebrate chromosome evolution.
???displayArticle.pubmedLink??? 22800176
???displayArticle.pmcLink??? PMC3472169
???displayArticle.link??? BMC Genomics
???displayArticle.grants???
Species referenced: Xenopus tropicalis
Genes referenced: arsl asmtl atp6ap1.2 atp7a bgn cdk16 cfp elk1 faah2 gata1 gpkow gyg2 irs4 kcnd1 mbp ophn1 otud5 pdha1 pfkfb1 piga srpx sts syn1 was
???attribute.lit??? ???displayArticles.show???
References [+] :
Bailey,
Primate segmental duplications: crucibles of evolution, diversity and disease.
2006, Pubmed
