|
Fig. 1.
Activin-mediated dorsal mesoderm is converted to ventral mesoderm in DNFR-injected animal cap explants. RT-PCR analysis of activin treated animal cap cells at stage 11 (A) and stage 24 (B). RT-PCR analysis of DNFR-injected animal cap cells incubated either in the presence or absence of activin (25 ng/ml) at stage 11 (C) and stage 24 (D). EF-1α, loading control; -rt, control reaction without reverse transcriptase; we, whole embryo positive control; pan-mesoderm marker, Xbra; dorsal mesoderm markers, chordin and noggin; ventral specific markers, PV.1 and GATA2; late dorsal mesoderm marker, α-Actin; later ventral mesoderm marker, α-Globin; endoderm marker, Edd.
|
|
Fig. 2.
Smad2, an activin signal mediator, induces ventral mesoderm by inhibition of FGF signaling. RT-PCR analysis of mRNA injected (2 ng) or activin treated animal cap cells. (A) Xbra (pan-mesoderm marker), Chordin/Noggin (dorsal mesoderm marker) and PV.1/GATA2 (ventral specific marker) PCRs at stage 11. (B, C and D) α-Globin (later ventral mesoderm and blood marker) and α-Actin (later dorsal mesoderm marker) PCR reactions at stage 24. EF-1α, loading control; -rt, control reaction without reverse transcriptase; cont, animal cap samples obtained from non-injected embryos; we, whole embryo positive control.
|
|
Fig. 3.
Modulation of activin signaling by DNFR affects the promoter activities of dorsal and ventral molecules. (A, C) The PV.1-luciferases construct (gPV.1, 40 pg) or (B) Noggin-luciferases construct (Noggin, 40 pg) was co-injected with mRNA (2 ng of DNFR or Smad2) into one-cell stage embryos. Animal caps obtained from the embryos (stage 8.5–9) were cultured in the presence (A and B) or absence (C) of activin (25 ng/ml) until stage 13. All values are averages of at least three independent experiments. The data are presented as luciferase activity relative to the average luciferase activity in at least 30 animal caps per each sample.
|
|
Fig. 4.
FGF signaling modulates the mesoderm-inducing activity of activin-like signals originating from the endoderm. (A) Tissue recombinant technique. (B and C) At stage 8, animal caps isolated from embryos injected with DNFR (2 ng) or control embryos were recombined with vegetal endoderm from the control embryos or the eFGF (2 ng)-injected embryos. eFGF was injected into the vegetal region of 1-cell stage embryos. The recombinants were cultured until stage 11 or 24. Xbra (pan-mesoderm marker) and GATA2 (ventral mesoderm marker) RT-PCRs at stage 11. α-Globin (late ventral mesoderm and blood marker) and α-Actin (late dorsal mesoderm marker) RT-PCRs at stage 24. AC, animal cap; VP, vegetal pole.
|
|
Fig. 5.
Inhibition of FGF signaling in the dorsal marginal zone converts the dorsal mesoderm to ventral mesoderm. At stage 10, dorsal marginal zones (DMZs) isolated from embryos were treated with FGF receptor inhibitor, SU5402 (50 μM), and Erk inhibitor, U0126 (50 μM) until stages 11 (A) and 24 (B). (C) At stage 10, ventral marginal zones (VMZs) isolated from eFGF-injected embryos or control embryos were cultured until stage 24. Xbra (pan-mesoderm marker), Chordin/Noggin (dorsal mesoderm marker) and GATA2 (ventral mesoderm marker) RT-PCRs at stage 11(A). α-Globin (later ventral mesoderm and blood marker), α-Actin (late dorsal mesoderm marker) and Xk81 (late epidermis marker) RT-PCRs at stage 24 (B & C). EF-1α, loading control; Cont. (A.C.), animal cap samples obtained from non-injected embryos; WE, whole embryo positive control.
|
|
Fig. 6.
The expression of dominant-negative BMP-4 receptor blocks globin expression induced by activin and DNFR, and the inhibition of Smad1 (via activin), was recovered by inhibition of FGF signaling. Animal cap explants injected with 2 ng of DNFR and/or 2 ng of dominant-negative BMP-4 receptor (DNBR) were dissected and incubated in activin (25 ng/ml) until stage 24 (A). (B and C) Animal cap cells expressing mRNA (1 ng) or activin (25 ng/ml) were used for western blot (B and C) or RT-PCR. (D) Chordin (dorsal mesoderm marker) and PV.1/GATA2 (ventral mesoderm marker) PCRs at stage 11. α-Globin (late ventral mesoderm and blood marker) and α-Actin (late dorsal mesoderm marker) RT-PCRs at stage 24. EF-1α, loading control; -rt, control reaction without reverse transcriptase; cont, animal cap samples obtained from non-injected embryos; we, whole embryo positive control.
|
|
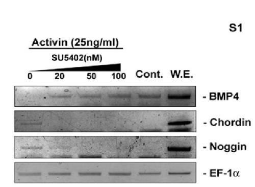
Supplemental Figure 1. Inhibition of FGF enhanced BMP-4 expression repressed by activin. However, the expression level of BMP-4 was not more than those of untreated control animal cap explants. Animal caps were incubated in the combination of the indicated concentration of SU5402 as an inhibitor of FGFR and activin. The primer of BMP-4, chordin and noggin were used for RT-PCR at stage 11. EF-1α, a loading control; Cont, animal cap samples obtained from non-injected embryos; W.E., whole embryo as a positive control.
|
|
Supplemental Figure 2. The Smad2 mutant that abolished the phosphorylation sites by FGF signaling, Smad2-EPSM, does not induce ventral mesoderm in animal cap cells. (A & B) RT-PCR analysis in animal caps expressing indicated mRNAs. (A) The primer of Xbra (pan-mesoderm marker), chordin (dorsal mesoderm marker) and GATA2 (ventral mesoderm marker) were used for RT-PCR at stage 11. (B) The primer of globin (later ventral mesoderm and blood marker) and actin (later dorsal mesoderm marker) were used for PCR at stage 24. EF-1α, a loading control; -rt, control reaction without reverse transcriptase; cont, animal cap samples obtained from non-injected embryos; we, whole embryo as a positive control.
|
|
Supplemental Figure 3. DMZ or VMZ explants were isolated at stage 10 and incubated with 100 ng/ml of bFGF of 15 μM of SU5402 until stage 12 (A) or 24 (B). Gene expression was analyzed by RT-PCR (ODC, a loading control; no RT, control reaction without reverse transcriptase; W.E., whole embryo as a positive control; Xbra, pan-mesoderm marker; chordin, dorsal mesoderm markers; PV.1 and GATA2, ventral mesoderm markers; FoxF1, lateral plate marker; muscle α-Actin, later dorsal mesoderm marker; α-Globin, later ventral mesoderm marker; SCL, hematopoietic marker, SCL was expressed in ventral mesoderm; NCAM, pan-neural marker).
|
|
Supplemental Figure 4. We tested the fate of conjugates between animal caps and dorsal or ventral vegetal region at the conditions in the presence or absence of FGF signaling by using of SU5402 (FGF receptor blocker) and bFGF protein. The animal caps were conjugated with dorsal vegetal region (DVR) as an inducer of activin-like signal and incubated in the solution containing SU5402 (50 μM/㎖) until stage 24. Conjugates between animal caps and ventral vegetal region (VVR) were incubated in the presence of bFGF (20 ng/㎖). (A) Tissue recombinant technique. (B) Gene expression was analyzed by RT-PCR. The primer of α-Globin (later ventral mesoderm and blood marker) and α-Actin (later dorsal mesoderm marker) were used for RT-PCR at stage 24. AC, animal cap; DVR, dorsal vegetal region; VVR, ventral vegetal region.
|