|
Fig 1. YAP morphant embryos exhibit defects in A-P axis elongation.
(A) Frog and zebrafish YAP possess the ascribed functional and protein-protein interaction domains, including the TEAD-binding site (purple), the LATS phosphorylation site (orange), the two WW domains (red) that allow for PPxY binding, the Src Homology 3 (SH3)-binding domain (green), the coiled-coil region (blue), the transactivation domain (underline), and the PDZ-binding motif (pink). hnRNP U (yellow) binding has only been experimentally tested with human YAP, but related sites are in the fish and frog proteins. This diagram also illustrates the relative location of Xenopus laevis (x) and Danio rerio (z) MO-binding sites. (B) Injection of an equimolar cocktail of all three xYAP MOs at two concentrations (40 ng and 80 ng) resulted in efficient knockdown of endogenous, zygotic xYAP protein in stage 15 embryos as measured by western blot analysis. EF-2 expression from the same blot served as the loading control. (C) Three different xYAP MOs (80 ng; see A for binding sites) resulted in failed closure of the blastopore (arrows). (D) Reducing the concentration of the xYAP MO cocktail (left side) allowed blastopore closure, but resulted in dose-dependent A-P axis shortening. (E) Time-lapse video microscopy showed that zYAP MO (16 ng) injected embryos also exhibit perturbation in the completion of gastrulation. Asterisks mark the tissue front of epiboly movements. In uninjected and cMO-injected embryos, this front completely envelops the yolk by 10 hours post-fertilization (hpf). These fronts are still in the equatorial region in the 7.70 hpf YAP MO-injected embryos.
|
|
Figure 2. Germ layer markers are expressed in YAP morphant Xenopus embryos, but are temporally delayed.(A) qPCR analysis of mRNA from uninjected, control MO-injected, and xYAP MO-injected Xenopus embryos collected when controls reached stage 10.5/11. brachyury, goosecoid, wnt8, sox11, and sox17 mRNA levels were reduced, nodal-related 3 (nr3) mRNA levels were increased and siamois mRNA levels remained unchanged in xYAP morphant embryos. (B) In situ characterization of mesoderm gene expression in uninjected, control MO-, and xYAP MO-injected Xenopus embryos. xYAP morphant embryos express each gene in the correct location, but the spatial pattern resembles an earlier developmental stage. For example, brachyury expression in the stage 11 YAP MO embryos is only faintly detected and brachyury expression in the stage 13 YAP MO embryo is indistinguishable from the control stage 11 pattern. chordin expression in the stage 13 YAP MO embryo remains confined to the dorsal blastopore lip (arrow), as is normal at stage 11; it has not elongated with the axial mesoderm as is normal at stage 13. eomesodermin expression in the stage 11 YAP MO embryo remains on the surface in the uninvoluted mesoderm (arrow), whereas in controls, eomesodermin-expressing cells have migrated internally [21]. In the stage 11 panel, all views are vegetal; in the stage 13 panel, the views of brachyury and vent2 embryos and of the YAP MO chordin embryos are vegetal and the remainder are dorsal.
|
|
Figure 3. zYAP and xYAP gain-of-function results in similar body axis defects.(A) Time-lapse videomicroscopy shows that zYAP gain-of-function does not alter the timing of gastrulation movements, as evidenced by the progression of epiboly (asterisks mark the fronts of tissue movement around the yolk). (B) zYAP gain-of-function in Danio rerio embryos resulted in head and eye deformities and shortened, malformed body axes. Examples of two different mRNA doses are shown. (C) Injection of Xenopus (x), mouse (m), or human (h) yap mRNAs into Xenopus embryos all showed phenotypes similar to those in zebrafish.
|
|
Figure 4. xYAP gain-of-function expands neural progenitor fields, while neural differentiation is inhibited.(A) The neural plate progenitor field marked by sox2 expression (blue stain) was darker, longer, and/or wider on the xYAP-injected side (arrow, red β-gal staining) compared to the uninjected side of the same embryo. xYAP MO-mediated knockdown (40 ng) eliminated sox2 expression on the injected side, whereas a control MO (cMO) did not. In this and all subsequent panels: nâ=âsample size; %â=âfrequency of the phenotype; arrow indicates injected side. (B) Three genes indicative of neural differentiation (neuroD, n-tubulin, p27Xic1) were inhibited by xYAP gain-of-function. (C) xYAP gain-of-function reduced notch and hes1 expression. (D) Muscle differentiation marker, myoD, was reduced by xYAP gain-of-function. All views are dorsal-anterior.
|
|
Figure 5. xYAP gain-of-function inhibits the expression of genes in the pre-placodal ectoderm, epidermis, premigratory neural crest, and hatching gland.(A) Genes expressed in the pre-placodal ectoderm (PPE), sox11 and six1, are dramatically reduced on the xYAP-injected sides (arrows). Brackets indicate the laterally located PPE expression domains on both sides the embryos. Anterior views. (B) Expression of the epidermis-specific cyto-keratin gene is lost on the xYAP-injected side. Anterior view. (C) The expression of genes characteristic of premigratory neural crest (foxD3, zic1 at bracket) are repressed on the xYAP-injected sides. Anterior-dorsal views. (D) pax3 expression in the surface ectodermal A-P stripe, which indicates the hatching gland progenitors (vertical arrows, HG) is repressed on the xYAP-injected side. In contrast, pax3 expression in the underlying neural crest progenitors is expanded (see Figure 6A). Dorsal view. (E) six1 expression in the otocyst (bracket) is reduced on the xYAP-injected side (right panel) compared to the uninjected side (Un) of the same embryo (left panel). Side views, stage 26. (F) The migratory path of foxD3-expressing neural crest cells (indicated by brackets) is truncated on the xYAP-injected side (right). Frontal view, stage 24. (G) neuroD expression in the trigeminal placode (bracket) is reduced on the xYAP-injected side (right panel) compared to the uninjected side (Un) of the same embryo (left panel). Side views, stage 22.
|
|
Figure 6. xYAP expands pax3-expressing neural crest progenitors.(A) The pax3-expressing neural crest progenitor field (NCP) is darker, longer, and/or wider (bracket) on the xyap-injected side. Dorsal view, stage 15. (B) xYAP MO-mediated knockdown (40 ng) eliminated pax3 expression in both neural crest progenitors and hatching gland (HG) precursors. Addition of exogenous xyap (YAP MO + xyap) rescued pax3 expression in neural crest progenitors (NCP), but not in hatching gland. Dorsal views, stage 17. (C) xyap mRNA injection into the precursor blastomere of the intermediate mesoderm does not cause pax3 expansion on the injected side (left panel, dorsal view). Right panel (posterior view, dorsal is down) shows part of the lineage labeled clone (red) denoting the injected side. (D) tead1 mRNA injection (100 pg) expands pax3-expressing neural crest progenitors (NCP) at a moderate frequency. xyap mRNA injection (100 pg) rarely expands this population. In combination (tead1/xyap, 100 pg each), this population is expanded in nearly every embryo. The repression of the pax3-expressing hatching gland progenitors (HG) also was greatest when TEAD/xYAP were co-expressed. Dorsal anterior views at stage 16.
|
|
Figure 7. Endogenous xYAP resides at a novel 5â² regulatory region of pax3.(A) A highly conserved putative TEAD-binding site (yellow boxes) is present in the 5â² regulatory region of the pax3 gene in 15 different vertebrates. A previously described mouse TEAD-binding site (red box) appears less conserved. (B) Chromatin isolated from 300 wild type stage 14â16 Xenopus laevis embryos was sheared to a size range of 150 to 900 base pairs. (C) Chromatin immunoprecipitations (ChIPs) from 12.5 µg or 25 µg of sheared chromatin immunoprecipitated a band at the expected size for the putative novel TEAD1-binding site region with the hYAP antibody but not with a control IgG antibody. (D) Sequencing of this band from three different clones verified that the genomic region pulled down by the hYAP anitbody contained the novel TEAD-binding site (yellow) when compared to the Xenopus tropicalis genomic sequence.
|
|
Figure 1. YAP morphant embryos exhibit defects in A-P axis elongation.(A) Frog and zebrafish YAP possess the ascribed functional and protein-protein interaction domains, including the TEAD-binding site (purple), the LATS phosphorylation site (orange), the two WW domains (red) that allow for PPxY binding, the Src Homology 3 (SH3)-binding domain (green), the coiled-coil region (blue), the transactivation domain (underline), and the PDZ-binding motif (pink). hnRNP U (yellow) binding has only been experimentally tested with human YAP, but related sites are in the fish and frog proteins. This diagram also illustrates the relative location of Xenopus laevis (x) and Danio rerio (z) MO-binding sites. (B) Injection of an equimolar cocktail of all three xYAP MOs at two concentrations (40 ng and 80 ng) resulted in efficient knockdown of endogenous, zygotic xYAP protein in stage 15 embryos as measured by western blot analysis. EF-2 expression from the same blot served as the loading control. (C) Three different xYAP MOs (80 ng; see A for binding sites) resulted in failed closure of the blastopore (arrows). (D) Reducing the concentration of the xYAP MO cocktail (left side) allowed blastopore closure, but resulted in dose-dependent A-P axis shortening. (E) Time-lapse video microscopy showed that zYAP MO (16 ng) injected embryos also exhibit perturbation in the completion of gastrulation. Asterisks mark the tissue front of epiboly movements. In uninjected and cMO-injected embryos, this front completely envelops the yolk by 10 hours post-fertilization (hpf). These fronts are still in the equatorial region in the 7.7–10 hpf YAP MO-injected embryos.
|
|
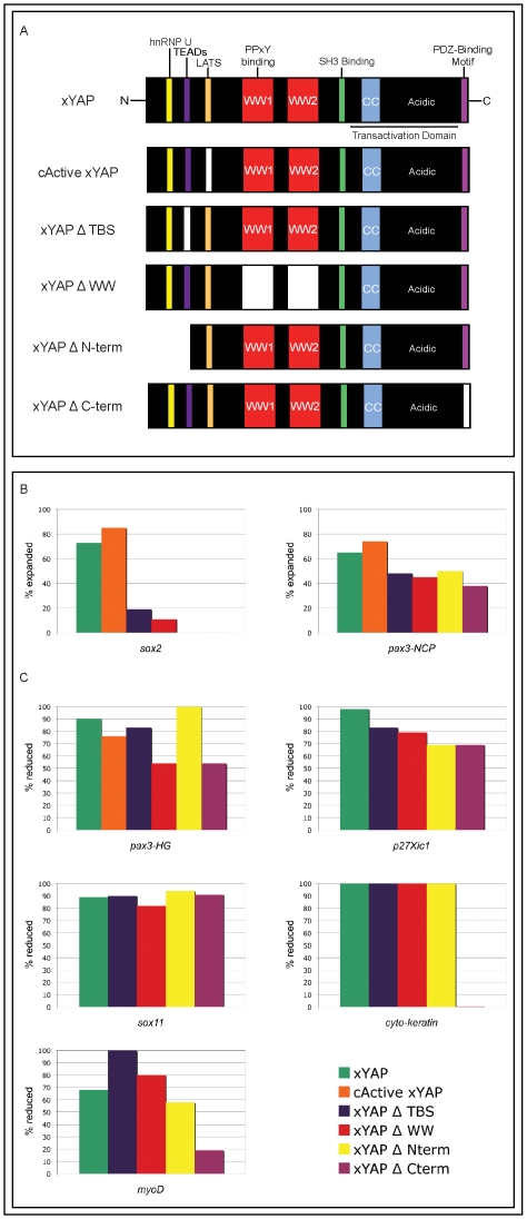
Figure 8. xYAP deletion mutants exhibit differential activities.(A) Cartoons of the xYAP mutants created to determine which protein-protein interaction domain(s) is important for the in vivo gain-of-function phenotypes described in Figures 4–6. Deletions or mutations are indicated by color loss: the TEAD-binding site (xYAPΔTBS, purple), the LATS phosphorylation site (cActive xYAP, orange), the two WW domains (xYAPΔWW, red), the N-terminus (xYAP, ΔN-term) containing both the hnRNP U and TEAD-binding sites, and the PDZ-binding motif (xYAPΔC-term, fuchsia) at the C-terminus. (B) The percentage of embryos showing expansion of sox2-expressing neural plate cells or expansion of pax3-expressing neural crest progenitor (NCP) cells after injection of each of the mutant forms of xYAP. Note that cActive xYAP, which prevents YAP from leaving the nucleus, is as effective as wild type YAP. However, all other mutant forms reduce this phenotype. Sample sizes are presented in Table 1. (C) The percentage of embryos showing reduced gene expression after injection of each mutant form of xYAP. Deletion of the WW domains or of the PDZ-binding motif interfered the most with repression of pax3+ hatching gland (HG) progenitors. Loss of neural plate differentiation (p27xic1) and a PPE marker (sox11) were maintained at high frequencies with each xYAP mutant, indicating that interactions at one or more of the remaining domains are sufficient to downregulate these genes. However, xYAP-mediated loss of somitic muscle (myoD) and epidermal (cyto-keratin) differentiation was specifically reduced by deletion of its PDZ-binding motif.
|