Click here to close
Hello! We notice that you are using Internet Explorer, which is not supported by Xenbase and may cause the site to display incorrectly.
We suggest using a current version of Chrome,
FireFox, or Safari.
J Cell Biol
2003 Dec 08;1635:1099-109. doi: 10.1083/jcb.200309017.
Show Gene links
Show Anatomy links
Reversed polarized delivery of an aquaporin-2 mutant causes dominant nephrogenic diabetes insipidus.
Kamsteeg EJ
,
Bichet DG
,
Konings IB
,
Nivet H
,
Lonergan M
,
Arthus MF
,
van Os CH
,
Deen PM
.
???displayArticle.abstract??? Vasopressin regulates body water conservation by redistributing aquaporin-2 (AQP2) water channels from intracellular vesicles to the apical surface of renal collecting ducts, resulting in water reabsorption from urine. Mutations in AQP2 cause autosomal nephrogenic diabetes insipidus (NDI), a disease characterized by the inability to concentrate urine. Here, we report a frame-shift mutation in AQP2 causing dominant NDI. This AQP2 mutant is a functional water channel when expressed in Xenopus oocytes. However, expressed in polarized renal cells, it is misrouted to the basolateral instead of apical plasma membrane. Additionally, this mutant forms heterotetramers with wild-type AQP2 and redirects this complex to the basolateral surface. The frame shift induces a change in the COOH terminus of AQP2, creating both a leucine- and a tyrosine-based motif, which cause the reversed sorting of AQP2. Our data reveal a novel cellular phenotype in dominant NDI and show that dominance of basolateral sorting motifs in a mutant subunit can be the molecular basis for disease.
Figure 1. Segregation of autosomal dominant NDI within the studied family. Healthy (open symbols) and affected (filled symbols) individuals, and male (squares) and females (circles) are indicated. The 12q13 haplotype is represented using the marker order: centromere-AFM259vf9-AQP2-D12S131-AFMb007yg5-telomere. The lengths of simple sequence tags in nucleotides (AFM259vf9 [1:313; 2:315], D12S131 [3:156; 4:158], AFMb007yg5 [b:226; d:230; j:242]), the C or T polymorphism in exon 2, 779-780insA nucleotide insertion (i) or normal sequence (n), and the A or C polymorphism in the 3′ UTR of AQP2 are indicated.
Figure 2. COOH termini of wt-AQP2 and AQP2-insA. The COOH-terminal amino acids (one-letter symbols) and corresponding nucleotide sequences of wild-type aquaporin-2 (wt-AQP2) and AQP2-insA are shown, starting at aa 253. The c779-780insA and c836A>C mutations, identified in the mutant AQP2 allele of the patient, are underlined and bold. An asterisk indicates a stop codon.
Figure 3. Expression of AQP2-insA in oocytes. (A) Water permeabilities. Oocytes were not injected (control), or injected with the indicated amounts of cRNA encoding wild-type AQP2 (wt-AQP2), AQP2-insA, AQP2-insA-R273* (insA-R273*), or AQP2-insA-G268* (insA-G268*). 2 d after injection, the mean water permeability (Pf ± SEM [in μm/s]; n >12) was determined in a standard swelling assay. (B) AQP2 protein expression levels. Total membranes (TM) and plasma membranes (PM) of oocytes that were used for the Pf measurements were isolated, and equivalents of four oocytes were immunoblotted. To allow comparison of AQP2 protein amounts, the membranes were incubated with AQP2 antibodies that were completely preabsorbed with a synthetic peptide raised against the last 15 amino acids of wt-AQP2 (not depicted). Complex glycosylated and nonglycosylated AQP2 proteins are indicated by c-AQP2 and AQP2, respectively. (C) Subcellular localization of AQP2-insA proteins. 2 d after injection, noninjected oocytes (control) and oocytes injected with 0.3 ng cRNA encoding the indicated AQP2 proteins were fixed and embedded in paraffin. On 5-μm sections, AQP2 was visualized using rabbit AQP2 antibodies, followed by Alexa® 594–conjugated anti–rabbit IgGs. Arrows indicate the plasma membrane.
Figure 4. Localization of AQP2-insA in MDCK cells. MDCK cells expressing AQP2-insA (A) or wt-AQP2 (B) were grown to confluence, incubated without (control) or with forskolin, fixed, and immunostained using guinea pig AQP2-insA antibodies followed by an incubation with Alexa® 594–conjugated anti–guinea pig IgGs (red) or rabbit AQP2 antibodies, followed by Alexa® 488–conjugated anti–rabbit IgGs (green). The basolateral marker protein E-cadherin was visualized using specific rat antibodies followed by Cy5-conjugated anti–rat IgGs. Horizontal (XY) and vertical (XZ) images for AQP2-insA, wt-AQP2, and E-cadherin were obtained with a confocal laser-scanning microscope and merged (merge).
Figure 5. Oligomerization state of AQP2-insA. (A) Homotetramerization. Membranes of MDCK cells expressing the indicated AQP2 proteins were dissolved in deoxycholate and subjected to differential velocity centrifugation. Fractions were collected from the top, of which fractions B–P were immunoblotted for AQP2. The fractions with peak intensities of the marker proteins ovalbumin (3.6 s), BSA (4.3 s), phosphorylase B (5.2 s), yeast alcohol dehydrogenase (7.4 s), and catalase (11.2 s) are indicated by arrows and by their sedimentation values. The molecular masses (in kD) of the respective AQP2 proteins are indicated on the left. (B) Heteroligomerization of AQP2-insA with wt-AQP2. Membranes of MDCK cells expressing wt-AQP2 (wt), AQP2-insA (insA), or VSV-G-tagged AQP2-insA together with wt-AQP2 (V-insA + wt) were solubilized in deoxycholate and centrifuged to remove nonsolubilized material. The supernatants were directly subjected to immunoblotting (TM, total membranes) or subjected to immunoprecipitation with affinity-purified AQP2-insA antibodies (insA IPs), followed by immunoblotting. Transferred AQP2 proteins were detected with rabbit AQP2 antibodies that recognize wt-AQP2 and AQP2-insA, or with affinity-purified rabbit AQP2 COOH-terminal antibodies (AQP2 C-term antibodies) that do not recognize AQP2-insA. Specific bands for VSV-G–tagged AQP2-insA (V-insA) and untagged AQP2 proteins (AQP2) are indicated on the right.
Figure 6. Colocalization and regulation of AQP2-insA and wt-AQP2 in MDCK cells. (A) MDCK cells coexpressing wt-AQP2 and VSV-G–tagged AQP2-insA were incubated without (control) or with forskolin, fixed, and incubated with rabbit AQP2 COOH-terminal antibodies and guinea pig AQP2-insA antibodies, followed by Alexa® 488–conjugated anti–rabbit IgGs (green) and Alexa® 594–conjugated anti–guinea pig IgGs (red). Horizontal (XY) and vertical (XZ) images for wt-AQP2 and VSV-G–tagged AQP2-insA (V-AQP2-insA) were obtained with a confocal laser-scanning microscope and merged (merge). (B) MDCK cells heterologously expressing wt-AQP2 were supertransfected with a plasmid encoding GFP-tagged AQP2-R187C, and GFP-positive cells were selected using FACS® analysis. These pooled cells were grown to confluence on filter supports, treated as under A, and incubated with rabbit AQP2 COOH-terminal antibodies that recognize both wt-AQP2 and AQP2-R187C (wt-AQP2 + G-AQP2-R187C), followed by Alexa® 594–conjugated anti–rabbit IgGs (shown in green pseudocolor). The GFP signal of AQP2-R187C (G-AQP2-R187C) is given the red pseudocolor. Horizontal (XY) and vertical (XZ) images for were obtained with a confocal laser-scanning microscope and merged (merge).
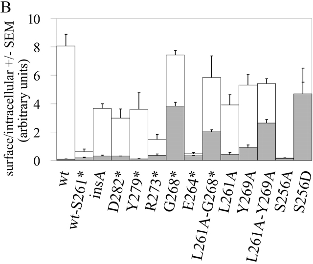
Figure 7. Subcellular localization of AQP2-insA mutants in MDCK cells. (A) MDCK cells stably expressing AQP2-S261* (wt-S261*) or AQP2-insA mutants (indicated by insA or introduced mutations; asterisks indicate stop codons) were incubated without (control) or with forskolin, fixed, and immunostained for AQP2 proteins using rabbit AQP2 and Alexa® 594–conjugated anti–rabbit antibodies. XZ images were made with a confocal laser-scanning microscope. (B) Mean values of integrated OD of surface or intracellular staining of AQP2 proteins were obtained from confocal laser-scanning microscope images. The ratio between surface and intracellular expression (ratio surface/intracellular ± SEM; n > 8) is determined from these values. Gray bars indicate this ratio from untreated cells, total bars indicate this ratio after forskolin stimulation.
Asai,
Pathogenesis of nephrogenic diabetes insipidus by aquaporin-2 C-terminus mutations.
2003, Pubmed,
Xenbase
Asai,
Pathogenesis of nephrogenic diabetes insipidus by aquaporin-2 C-terminus mutations.
2003,
Pubmed
,
Xenbase
Bichet,
X-linked nephrogenic diabetes insipidus mutations in North America and the Hopewell hypothesis.
1993,
Pubmed
Brewer,
A single amino acid change in the cytoplasmic domain alters the polarized delivery of influenza virus hemagglutinin.
1991,
Pubmed
Brewer,
Polarized exocytosis in MDCK cells is regulated by phosphorylation.
1995,
Pubmed
Casanova,
An autonomous signal for basolateral sorting in the cytoplasmic domain of the polymeric immunoglobulin receptor.
1991,
Pubmed
Chou,
Regulation of aquaporin-2 trafficking by vasopressin in the renal collecting duct. Roles of ryanodine-sensitive Ca2+ stores and calmodulin.
2000,
Pubmed
Deen,
Aquaporin-2 transfection of Madin-Darby canine kidney cells reconstitutes vasopressin-regulated transcellular osmotic water transport.
1997,
Pubmed
Deen,
Aquaporin-2: COOH terminus is necessary but not sufficient for routing to the apical membrane.
2002,
Pubmed
Deen,
Requirement of human renal water channel aquaporin-2 for vasopressin-dependent concentration of urine.
1994,
Pubmed
,
Xenbase
Fölsch,
A novel clathrin adaptor complex mediates basolateral targeting in polarized epithelial cells.
1999,
Pubmed
Glowatzki,
Subunit-dependent assembly of inward-rectifier K+ channels.
1995,
Pubmed
,
Xenbase
Heilker,
Recognition of sorting signals by clathrin adaptors.
1999,
Pubmed
Hoffman,
Role of phosphorylation in desensitization of acetylcholine receptors expressed in Xenopus oocytes.
1994,
Pubmed
,
Xenbase
Hunziker,
Basolateral sorting in MDCK cells requires a distinct cytoplasmic domain determinant.
1991,
Pubmed
Ishibashi,
Molecular cloning and expression of a member of the aquaporin family with permeability to glycerol and urea in addition to water expressed at the basolateral membrane of kidney collecting duct cells.
1994,
Pubmed
,
Xenbase
Jung,
Molecular characterization of an aquaporin cDNA from brain: candidate osmoreceptor and regulator of water balance.
1994,
Pubmed
,
Xenbase
Kamsteeg,
Importance of aquaporin-2 expression levels in genotype -phenotype studies in nephrogenic diabetes insipidus.
2000,
Pubmed
,
Xenbase
Kamsteeg,
Detection of aquaporin-2 in the plasma membranes of oocytes: a novel isolation method with improved yield and purity.
2001,
Pubmed
,
Xenbase
Kamsteeg,
The subcellular localization of an aquaporin-2 tetramer depends on the stoichiometry of phosphorylated and nonphosphorylated monomers.
2000,
Pubmed
,
Xenbase
Kamsteeg,
An impaired routing of wild-type aquaporin-2 after tetramerization with an aquaporin-2 mutant explains dominant nephrogenic diabetes insipidus.
1999,
Pubmed
,
Xenbase
Katsura,
Protein kinase A phosphorylation is involved in regulated exocytosis of aquaporin-2 in transfected LLC-PK1 cells.
1997,
Pubmed
Klussmann,
Protein kinase A anchoring proteins are required for vasopressin-mediated translocation of aquaporin-2 into cell membranes of renal principal cells.
1999,
Pubmed
Knauf,
Functional characterization and immunolocalization of the transporter encoded by the life-extending gene Indy.
2002,
Pubmed
,
Xenbase
Koivisto,
A novel cellular phenotype for familial hypercholesterolemia due to a defect in polarized targeting of LDL receptor.
2001,
Pubmed
Kuwahara,
Three families with autosomal dominant nephrogenic diabetes insipidus caused by aquaporin-2 mutations in the C-terminus.
2001,
Pubmed
,
Xenbase
LeBlanc-Straceski,
Twenty-one polymorphic markers from human chromosome 12 for integration of genetic and physical maps.
1994,
Pubmed
Madrid,
Polarized trafficking and surface expression of the AQP4 water channel are coordinated by serial and regulated interactions with different clathrin-adaptor complexes.
2001,
Pubmed
Marr,
Heteroligomerization of an Aquaporin-2 mutant with wild-type Aquaporin-2 and their misrouting to late endosomes/lysosomes explains dominant nephrogenic diabetes insipidus.
2002,
Pubmed
Marr,
Cell-biologic and functional analyses of five new Aquaporin-2 missense mutations that cause recessive nephrogenic diabetes insipidus.
2002,
Pubmed
,
Xenbase
McClure,
Dynamin, endocytosis and intracellular signalling (review).
1996,
Pubmed
Moyer,
A PDZ-interacting domain in CFTR is an apical membrane polarization signal.
1999,
Pubmed
Mulders,
An aquaporin-2 water channel mutant which causes autosomal dominant nephrogenic diabetes insipidus is retained in the Golgi complex.
1998,
Pubmed
,
Xenbase
Neely,
Heterotetrameric composition of aquaporin-4 water channels.
1999,
Pubmed
,
Xenbase
Nesterov,
Inhibition of the receptor-binding function of clathrin adaptor protein AP-2 by dominant-negative mutant mu2 subunit and its effects on endocytosis.
1999,
Pubmed
Nielsen,
Cellular and subcellular immunolocalization of vasopressin-regulated water channel in rat kidney.
1993,
Pubmed
Ohno,
Structural determinants of interaction of tyrosine-based sorting signals with the adaptor medium chains.
1996,
Pubmed
Prill,
The cytoplasmic tail of lysosomal acid phosphatase contains overlapping but distinct signals for basolateral sorting and rapid internalization in polarized MDCK cells.
1993,
Pubmed
Robinson,
Adaptor-related proteins.
2001,
Pubmed
Sandoval,
Targeting of membrane proteins to endosomes and lysosomes.
1994,
Pubmed
Scheiffele,
N-glycans as apical sorting signals in epithelial cells.
1995,
Pubmed
Simmen,
AP-4 binds basolateral signals and participates in basolateral sorting in epithelial MDCK cells.
2002,
Pubmed
Simons,
Functional rafts in cell membranes.
1997,
Pubmed
Smith,
Erythrocyte Mr 28,000 transmembrane protein exists as a multisubunit oligomer similar to channel proteins.
1991,
Pubmed
Tinker,
Regions responsible for the assembly of inwardly rectifying potassium channels.
1996,
Pubmed
,
Xenbase
van Balkom,
The role of putative phosphorylation sites in the targeting and shuttling of the aquaporin-2 water channel.
2002,
Pubmed
Verkarre,
Paternal mutation of the sulfonylurea receptor (SUR1) gene and maternal loss of 11p15 imprinted genes lead to persistent hyperinsulinism in focal adenomatous hyperplasia.
1998,
Pubmed
Wehrle-Haller,
Stem cell factor presentation to c-Kit. Identification of a basolateral targeting domain.
2001,
Pubmed
Wild,
Single amino acid residue influences the distribution pattern of an inwardly rectifying potassium channel in polarized cells.
2002,
Pubmed
,
Xenbase
Xu,
Phosphorylation of the ATP-sensitive, inwardly rectifying K+ channel, ROMK, by cyclic AMP-dependent protein kinase.
1996,
Pubmed
,
Xenbase