Click here to close
Hello! We notice that you are using Internet Explorer, which is not supported by Xenbase and may cause the site to display incorrectly.
We suggest using a current version of Chrome,
FireFox, or Safari.
PLoS One
2010 Oct 26;510:e13611. doi: 10.1371/journal.pone.0013611.
Show Gene links
Show Anatomy links
Human α3β4 neuronal nicotinic receptors show different stoichiometry if they are expressed in Xenopus oocytes or mammalian HEK293 cells.
Krashia P
,
Moroni M
,
Broadbent S
,
Hofmann G
,
Kracun S
,
Beato M
,
Groot-Kormelink PJ
,
Sivilotti LG
.
???displayArticle.abstract???
BACKGROUND: The neuronal nicotinic receptors that mediate excitatory transmission in autonomic ganglia are thought to be formed mainly by the α3 and β4 subunits. Expressing this composition in oocytes fails to reproduce the properties of ganglionic receptors, which may also incorporate the α5 and/or β2 subunits. We compared the properties of human α3β4 neuronal nicotinic receptors expressed in Human embryonic kidney cells (HEK293) and in Xenopus oocytes, to examine the effect of the expression system and α:β subunit ratio.
METHODOLOGY/PRINCIPAL FINDINGS: Two distinct channel forms were observed: these are likely to correspond to different stoichiometries of the receptor, with two or three copies of the α subunit, as reported for α4β2 channels. This interpretation is supported by the pattern of change in acetylcholine (ACh) sensitivity observed when a hydrophilic Leu to Thr mutation was inserted in position 9' of the second transmembrane domain, as the effect of mutating the more abundant subunit is greater. Unlike α4β2 channels, for α3β4 receptors the putative two-α form is the predominant one in oocytes (at 1:1 α:β cRNA ratio). This two-α form has a slightly higher ACh sensitivity (about 3-fold in oocytes), and displays potentiation by zinc. The putative three-α form is the predominant one in HEK cells transfected with a 1:1 α:β DNA ratio or in oocytes at 9:1 α:β RNA ratio, and is more sensitive to dimethylphenylpiperazinium (DMPP) than to ACh. In outside-out single-channel recordings, the putative two-α form opened to distinctive long bursts (100 ms or more) with low conductance (26 pS), whereas the three-α form gave rise to short bursts (14 ms) of high conductance (39 pS).
CONCLUSIONS/SIGNIFICANCE: Like other neuronal nicotinic receptors, the α3β4 receptor can exist in two different stoichiometries, depending on whether it is expressed in oocytes or in mammalian cell lines and on the ratio of subunits transfected.
???displayArticle.pubmedLink???
21049012
???displayArticle.pmcLink???PMC2964301 ???displayArticle.link???PLoS One ???displayArticle.grants???[+]
Figure 1. In HEK-expressed α3β4 receptors, the 9′LT mutation has a greater effect if inserted in α3.Traces in (A) are whole cell inward currents elicited by different ACh concentrations applied to cells expressing wild type (top), α3β4LT (middle) or α3LTβ4 (bottom) channels. The bars above the traces show the duration of the agonist applications and the agonist concentration (in µM). Cells were transfected with an α3 to β4 ratio of 1∶1 and held at −30 mV. Dose-response curves are shown in (B) for each receptor combination. The data were averaged after normalisation to the fitted maximum for each experiment. The lines show Hill equation fits (see Methods) to the pooled normalised data (n = 6–8).
Figure 2. The effect of the 9′ LT mutation in oocytes depends on the α3∶β4 subunit ratio.Traces in (A) represent inward currents elicited by different concentrations of ACh (in µM) bath applied (duration shown as a solid bar). Cells were held at −70 mV. Pooled normalised dose-response curves, fitted with the Hill equation with free parameters are shown in (B) for oocytes injected with 1∶9 (left) or 9∶1 (right) α3 to β4 cRNA ratio. The 1∶9 subunit ratio produces wild-type receptors that are more sensitive to ACh. The effect of the mutation is greater when it is carried by the β4 subunit if β4 is overexpressed (1∶9) and when the α3 subunit is mutated if the α3 subunit is overexpressed (9∶1).
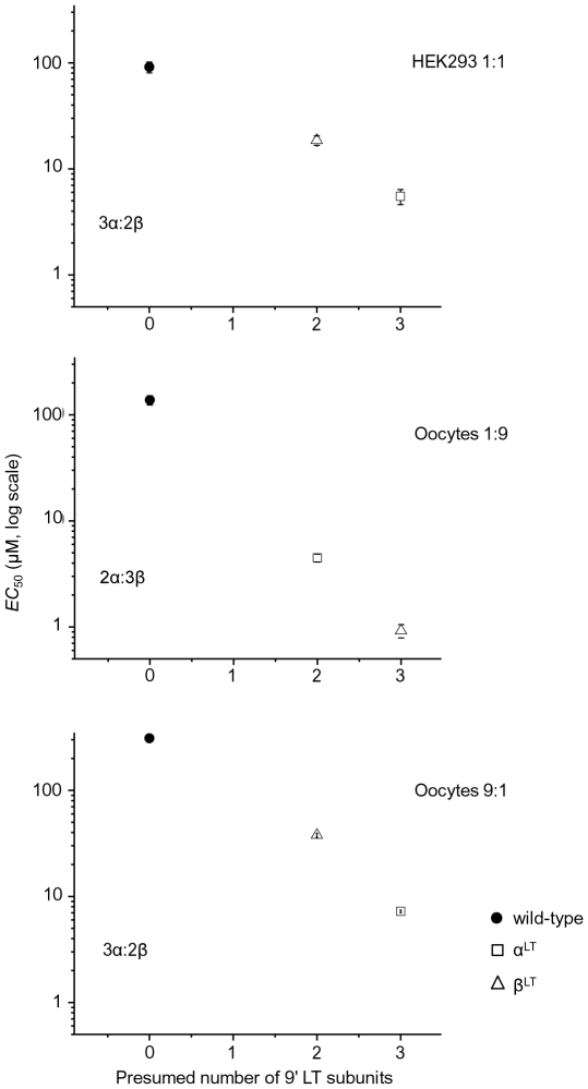
Figure 3. Relationship between the average EC50 values and the presumed number of 9′ LT mutations.Each point is plotted according to the stoichiometry we suggest for each cell type and subunit ratio. The assumed stoichiometry is stated on the plot. The linear relationship between the EC50 values and the number of mutated subunits confirms that the stoichiometry we assume is plausible.
Figure 4. The two different receptor stoichiometries expressed in oocytes differ in their DMPP sensitivity.The traces in (A) are examples of inward currents elicited by low agonist concentrations (in µM) and recorded from oocytes injected with a subunit ratio of 1∶9 (top traces) and 9∶1 (bottom). The duration of each agonist application is shown above each trace (solid bar). All agonists (CCh, carbachol; EPB epibatidine; Nic, nicotine; DMPP, dimethylphenylpiperazinium; Cyt, cytisine; LOB, lobeline) were tested on the same oocyte (held at −70 mV), with the exception of lobeline (shown on the right, recorded from a different cell but with similar initial ACh current as the cell on the left, for both subunit ratios). The log-log plots in (B) are partial dose-response curves for the experiments shown in A (left). Note the increase in the potency of DMPP (10-fold leftward shift of the dose-response curve) in the 9∶1 ratio.
Figure 5. The two-α and three-α form of the α3β4 receptor differ in their response to Zn2+ modulation.Traces in (A) are typical currents activated by an EC20 concentration of ACh on the two-α receptor (left, 1∶9 α∶β ratio) and the three-α receptor (right, 9∶1 ratio) in the presence of increasing concentrations of Zn2+. Zn2+ was pre-applied to oocytes for 30 s before it was applied together with ACh. (B) Zn2+ concentration-response curves for the three-α receptor (filled squares) and the two-α receptor (filled circles). Curves from different cells were pooled and fitted to the Hill equation and to the sum of two Hill equations, respectively. Note that Zn2+ potentiated only the ACh responses of oocytes expressing the two-α stoichiometry.
Figure 6. Single-channel properties of α3β4 receptors expressed from extreme ratios in HEK293 cells.(A) Examples of outside-out currents elicited by 5 µM ACh, from cells transfected with an α3 to β4 cDNA ratio of 1∶9 (left) and 9∶1 (right). Patches were held at −100 mV. The histograms of fitted amplitudes corresponding to these recordings are shown in (B). These are fitted with Gaussian curves to give the peak current amplitudes and the areas under each curve (for these two patches the values are 2.7±0.3 pA, area 100% for 1∶9; 2.6±0.5 pA, area 27% and 3.9±0.4 pA, area 73% for 9∶1). The histogram on the left (C) shows the proportion of bursts (as % of the total number of bursts from all experiments, pooled) at each chord conductance for the two subunit ratios. The histogram on the right (D) shows the difference in the duration of the bursts to different conductances for the two ratios.
Boorman,
Stoichiometry of human recombinant neuronal nicotinic receptors containing the b3 subunit expressed in Xenopus oocytes.
2000, Pubmed,
Xenbase
Boorman,
Stoichiometry of human recombinant neuronal nicotinic receptors containing the b3 subunit expressed in Xenopus oocytes.
2000,
Pubmed
,
Xenbase
Britt,
Rapid drug application resolves two types of nicotinic receptors on rat sympathetic ganglion cells.
1997,
Pubmed
Broadbent,
Incorporation of the beta3 subunit has a dominant-negative effect on the function of recombinant central-type neuronal nicotinic receptors.
2006,
Pubmed
,
Xenbase
Buisson,
Chronic exposure to nicotine upregulates the human (alpha)4((beta)2 nicotinic acetylcholine receptor function.
2001,
Pubmed
Colquhoun,
Binding, gating, affinity and efficacy: the interpretation of structure-activity relationships for agonists and of the effects of mutating receptors.
1998,
Pubmed
Conroy,
Neurons can maintain multiple classes of nicotinic acetylcholine receptors distinguished by different subunit compositions.
1995,
Pubmed
Covernton,
Comparison of neuronal nicotinic receptors in rat sympathetic neurones with subunit pairs expressed in Xenopus oocytes.
1994,
Pubmed
,
Xenbase
Derkach,
Single channels activated by acetylcholine in rat superior cervical ganglion.
1987,
Pubmed
Drenan,
Subcellular trafficking, pentameric assembly, and subunit stoichiometry of neuronal nicotinic acetylcholine receptors containing fluorescently labeled alpha6 and beta3 subunits.
2008,
Pubmed
Exley,
Chaperone protein 14-3-3 and protein kinase A increase the relative abundance of low agonist sensitivity human alpha 4 beta 2 nicotinic acetylcholine receptors in Xenopus oocytes.
2006,
Pubmed
,
Xenbase
Figl,
The subunit dominates the relaxation kinetics of heteromeric neuronal nicotinic receptors.
2000,
Pubmed
,
Xenbase
Fischer,
Selective deletion of the alpha5 subunit differentially affects somatic-dendritic versus axonally targeted nicotinic ACh receptors in mouse.
2005,
Pubmed
Groot-Kormelink,
Achieving optimal expression for single channel recording: a plasmid ratio approach to the expression of alpha 1 glycine receptors in HEK293 cells.
2002,
Pubmed
Hales,
Common determinants of single channel conductance within the large cytoplasmic loop of 5-hydroxytryptamine type 3 and alpha4beta2 nicotinic acetylcholine receptors.
2006,
Pubmed
Hsiao,
Subunit-dependent modulation of neuronal nicotinic receptors by zinc.
2001,
Pubmed
,
Xenbase
Imoto,
Rings of negatively charged amino acids determine the acetylcholine receptor channel conductance.
1988,
Pubmed
,
Xenbase
Kristufek,
Somatic and prejunctional nicotinic receptors in cultured rat sympathetic neurones show different agonist profiles.
1999,
Pubmed
Kuryatov,
Nicotine acts as a pharmacological chaperone to up-regulate human alpha4beta2 acetylcholine receptors.
2005,
Pubmed
Labarca,
Channel gating governed symmetrically by conserved leucine residues in the M2 domain of nicotinic receptors.
1995,
Pubmed
,
Xenbase
Lewis,
The ion channel properties of a rat recombinant neuronal nicotinic receptor are dependent on the host cell type.
1997,
Pubmed
,
Xenbase
Mathie,
Conductance and kinetic properties of single nicotinic acetylcholine receptor channels in rat sympathetic neurones.
1991,
Pubmed
Moroni,
alpha4beta2 nicotinic receptors with high and low acetylcholine sensitivity: pharmacology, stoichiometry, and sensitivity to long-term exposure to nicotine.
2006,
Pubmed
,
Xenbase
Moroni,
Non-agonist-binding subunit interfaces confer distinct functional signatures to the alternate stoichiometries of the alpha4beta2 nicotinic receptor: an alpha4-alpha4 interface is required for Zn2+ potentiation.
2008,
Pubmed
,
Xenbase
Nelson,
Alternate stoichiometries of alpha4beta2 nicotinic acetylcholine receptors.
2003,
Pubmed
,
Xenbase
Nelson,
Single channel properties of human alpha3 AChRs: impact of beta2, beta4 and alpha5 subunits.
1999,
Pubmed
,
Xenbase
Papke,
Single-channel currents of rat neuronal nicotinic acetylcholine receptors expressed in Xenopus oocytes.
1989,
Pubmed
,
Xenbase
Papke,
The role of the beta 4-subunit in determining the kinetic properties of rat neuronal nicotinic acetylcholine alpha 3-receptors.
1991,
Pubmed
,
Xenbase
Peters,
Molecular determinants of single-channel conductance and ion selectivity in the Cys-loop family: insights from the 5-HT3 receptor.
2005,
Pubmed
Rust,
Expression of neuronal nicotinic acetylcholine receptor subunit genes in the rat autonomic nervous system.
1994,
Pubmed
Sigel,
The benzodiazepine binding site of GABAA receptors.
1997,
Pubmed
Sivilotti,
Recombinant nicotinic receptors, expressed in Xenopus oocytes, do not resemble native rat sympathetic ganglion receptors in single-channel behaviour.
1997,
Pubmed
,
Xenbase
Tapia,
Ca2+ permeability of the (alpha4)3(beta2)2 stoichiometry greatly exceeds that of (alpha4)2(beta2)3 human acetylcholine receptors.
2007,
Pubmed
,
Xenbase
Xu,
Megacystis, mydriasis, and ion channel defect in mice lacking the alpha3 neuronal nicotinic acetylcholine receptor.
1999,
Pubmed
Xu,
Multiorgan autonomic dysfunction in mice lacking the beta2 and the beta4 subunits of neuronal nicotinic acetylcholine receptors.
1999,
Pubmed
Zhao,
Functional properties of homomeric, human alpha 7-nicotinic acetylcholine receptors heterologously expressed in the SH-EP1 human epithelial cell line.
2003,
Pubmed
Zwart,
Four pharmacologically distinct subtypes of alpha4beta2 nicotinic acetylcholine receptor expressed in Xenopus laevis oocytes.
1998,
Pubmed
,
Xenbase