|
Figure 1. Structure of the Na/K pump α subunit and representation of its transport cycle. (A) Angled extracellular view of Na,K-ATPase α-subunit structure (Morth et al., 2007) indicating locations (Xenopus numbering) of mutations introduced here in Xenopus Na,K-ATPase α1 subunits to confer ouabain resistance, C113Y (red) or Q120R/N131D (green), and C-terminal truncation, ΔYY or ΔKESYY (blue). (B) Cartoon of an alternating-gate representation (Artigas and Gadsby, 2003) of the Post-Albers transport cycle of the Na/K pump, indicating E1 states with the extracellular-side gate (red) closed and cytoplasmic access to ion-binding sites and E2 states with the cytoplasmic-side gate (blue) closed and extracellular access to ion-binding sites. The dashed box encloses the phosphorylated pump conformations linked in a voltage-dependent equilibrium in the presence of saturating Nai and ATP and of Nao but in the absence of Ko.
|
|
Figure 2. Determination of steady-state Na/K pump current of WT and ouabain-resistant RD and C113Y mutant pumps in the presence and absence of external Na (replaced by TMA). (A) Representative record of current changes at the −50-mV holding potential in a Na-loaded oocyte expressing RD Na/K pumps caused by addition of 15 mM Ko and/or 10 mM ouabain in the presence and then in the absence of Nao as indicated; the vertical lines mark application of 100-ms voltage steps to −180 to 60 mV in 20-mV increments. (B) Selected superimposed current traces from the experiment in A obtained at the times identified on the recording by the red numbers. Analogous traces are superimposed for C113Y (D) and WT (F) pumps. The corresponding steady-state (mean of last 10 ms of each step) current–voltage (I-V) relationships for each Na/K pump type, obtained from the records in B, D, and F, are shown in C, E, and G.
|
|
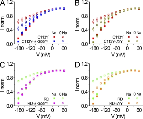
Figure 3. Voltage-dependent inhibition of steady-state outward Na/K pump current by Nao. Inhibition in RD (A), C113Y (B), and WT (C) pumps. Ouabain-sensitive currents in 15 mM Ko, without (open symbols) or with (closed symbols) external Na, were obtained by appropriate subtraction of data shown in Fig. 2 (B–G). (D) To facilitate comparison among the different pumps, each ouabain-sensitive I-V relationship was normalized to its mean amplitude between 0 and 60 mV, and the normalized I-Vs for each pump type, with or without Nao, were then averaged.
|
|
Figure 4. Comparison of the magnitude of ouabain-sensitive inward current in each pump type at −180 mV (−160 mV for WT) in the absence or presence of 125 mM Nao after normalization by the ouabain-sensitive pump current activated by 15 mM [Ko] at the −50-mV holding potential in the same oocyte and [Nao] to allow for differences in expression. Open bars, absence of 125 mM Nao; closed bars, presence of 125 mM Nao. Mean values are −0.04 ± 0.02, n = 4, in 125 mM Nao and −0.17 ± 0.05, n = 4, in 0 mM Nao for WT Na/K pumps (black); −0.20 ± 0.03, n = 8, in 125 mM Nao and −2.0 ± 0.1, n = 8, in 0 mM Nao for C113Y (red); −2.6 ± 0.4, n = 5, in 125 mM Nao and −2.8 ± 0.4, n = 5, in 0 mM Nao for C113Y-ΔKESYY (blue); −1.8 ± 0.2, n = 6, in 125 mM Nao and −3.2 ± 0.6, n = 6, in 0 mM Nao for C113Y-ΔYY (olive); −0.10 ± 0.02, n = 7, in 125 mM Nao and −1.9 ± 0.1, n = 7, in 0 mM Nao for RD (green); −1.6 ± 0.1, n = 8, in 125 mM Nao and −0.43 ± 0.03, n = 8, in 0 mM Nao for RD-ΔKESYY (magenta); and −1.9 ± 0.1, n = 7, in 125 mM Nao and −0.60 ± 0.08, n = 7, in 0 mM Nao for RD-ΔYY (orange). Error bars represent SEM.
|
|
Figure 5. Ko sensitivity of Na/K pump–mediated currents in Nai-loaded oocytes expressing WT or mutant Na/K pumps. (A) Changes in holding current at −50 mV in response to stepwise increments of [Ko] in C113Y Na/K pumps in 0 mM Nao; the vertical lines mark application of 100-ms voltage steps to −140 to 40 mV in 10-mV increments. (B) Steady-state I-V plots at the indicated [Ko] from A. (C and D) Corresponding Ko-modulated I-V plots (C) and ouabain-sensitive I-V plots (D) from data in A and B obtained by appropriate subtraction. (E–G) Analogous I-V plots to those in B–D, but for C113Y-ΔKESYY Na/K pumps in 125 mM Nao. (H–J) Hill fits to the Ko-modulated steady currents at the various [Ko] at each voltage yielded the mean K0.5(Ko) values for each pump type in the absence (open circles) or presence (closed circles) of Nao (WT, black; C113Y, red; RD, green; C113Y-ΔKESYY, blue; C113Y-ΔYY, olive; RD-ΔKESYY, magenta; RD-ΔYY, orange). Error bars represent SEM.
|
|
Figure 6. Diminished difference between 125 mM and 0 mM Nao at large negative potentials in ΔYY and ΔKESYY truncated Na/K pumps. (A–D) Mean ouabain-sensitive outward Na/K pump currents (normalized as in Fig. 3 D; mean ± SEM of 6–12 oocytes from at least two frogs) at 15 mM [Ko] and 0 mM Nao (open squares) or 125 mM Nao (closed squares) for ΔKESYY (A and C) and ΔYY (B and D) truncated pumps are shown superimposed on the corresponding I-V plots for the parent C113Y (A and B) and RD (C and D) pumps: (A) C113Y (red) and C113Y-ΔKESYY (blue); (B) C113Y (red) and C113Y-ΔYY (olive); (C) RD (green) and RD-ΔKESYY (magenta); (D) RD (green) and RD-ΔYY (orange). Error bars represent SEM.
|
|
Figure 7. Summary of maximal Na/K pump turnover rates at 22–24°C estimated by normalizing ouabain-sensitive Na/K pump currents at 20 mV and 15 mM [Ko] obtained with or without Nao to the total ouabain-sensitive charge moved between voltage extremes in the same oocyte in a Ko-free 125-mM Nao solution (e.g., Fig. 8, D and H) taken as a measure of the number of Na/K pumps in the membrane. With Nao, closed bars; without Nao, open bars. The estimates assume 3Na:2K stoichiometry during pumping and the pre–steady-state movement at 0 mM [Ko] of zq net charges (for WT, zq = 0.93 ± 0.03; for RD and C113Y pumps with or without C-terminal truncations, mean zq = 0.65 ± 0.01; values taken from Fig. 9, A and B) across the electric field of the membrane between extreme positive and negative potentials; unless these parameters differ between pump types, the estimates are expected to be proportional to true turnover rates. Estimated rates for WT pumps (black) are at least twice those for all other pumps, regardless of the presence or absence of Nao or of C-terminal truncations. Rate estimates in the presence and absence of Nao, respectively, averaged as follows: WT, 43 ± 2 s−1 and 47 ± 3 s−1, n = 5; C113Y (red), 17 ± 1 s−1 and 18 ± 1 s−1, n = 7; C113Y-ΔKESYY (blue), 18 ± 4 s−1 and 19 ± 3 s−1, n = 8; C113Y-ΔYY (olive), 21 ± 2 s−1 and 24 ± 4 s−1, n = 5; RD (green), 18 ± 1 s−1 and 19 ± 2 s−1, n = 5; RD-ΔKESYY (magenta), 16 ± 1 s−1 and 19 ± 2 s−1, n = 8; RD-ΔYY (orange), 18 ± 1 s−1 and 18 ± 1 s−1, n = 3. Error bars represent SEM.
|
|
Figure 8. Representative ouabain-sensitive pre–steady-state currents under Na/Na exchange conditions for C113Y and C113Y-ΔYY pumps. (A–D) C113Y pumps; (E–H) C113Y-ΔYY pumps. Superimposed current records obtained in 125 mM Nao before (A, C113Y; E, C113Y-ΔYY) and after (B, C113Y; F, C113Y-ΔYY) adding 10 mM ouabain. Ouabain-sensitive transient currents determined by direct subtraction of the records in A and B and in E and F, respectively, are shown in C for C113Y and in G for C113Y-ΔYY Na/K pumps (red lines in C show single exponential fits to ON and OFF transient currents elicited by steps to 60 mV and −180 mV for relaxation rate estimates of Fig. 9 [C and D]). Pre–steady-state charge was obtained directly as the time integral of the transient currents (C and G) at the ON and OFF voltage steps after baseline subtraction of any steady current. (D and H) The charge–voltage distributions were fit with the Boltzmann relationQ(V)=Qmax+(Qmin−Qmax)1+e[zqF(V−V0.5)/RT],where V is the test voltage, Qmin and Qmax are the charge moved for extreme negative and positive voltage steps, zq is the effective charge, V0.5 is the midpoint voltage, and F, R, and T have their usual meaning. ON and OFF values are, respectively, for D as follows: Qmin, −4.0 nC and −3.9 nC; Qmax, 7.5 nC and 8.2 nC; zq, 0.74 and 0.71; V0.5, −29 mV and −25 mV. ON and OFF values are, respectively, for H as follows: Qmin, −3.8 nC and −3.7 nC; Qmax, 1.9 nC and 1.7 nC; zq, 0.66 and 0.69; V0.5, −74 mV and −77 mV.
|
|
Figure 9. ΔYY and ΔKESYY truncations shift ouabain-sensitive transient charge movements to more negative potentials and accelerate charge relaxation at positive potentials. (A and B) Charge–voltage distributions determined from OFF voltage steps (as for closed symbols in Fig. 8 [D and H]) were normalized by their estimated amplitude from fits (Qmax–Qmin, 12.1 nC and 5.4 nC, respectively, for Fig. 8 [D and H]) and were averaged. V0.5 and zq values for each pump type averaged as follows: WT (black), −16 ± 1 mV and 0.93 ± 0.03, n = 3; C113Y (red), −26 ± 1 mV and 0.70 ± 0.01, n = 13; RD (green), −44 ± 1 mV and 0.74 ± 0.02, n = 12; C113Y-ΔKESYY (blue), −96 ± 2 mV and 0.62 ± 0.05, n = 7; C113Y-ΔYY (olive), −75 ± 1 mV and 0.67 ± 0.01, n = 5; RD-ΔKESYY (magenta), −114 ± 2 mV and 0.59 ± 0.02, n = 11; RD-ΔYY (orange), −95 ± 2 mV and 0.60 ± 0.02, n = 5. (C and D) Single exponential fits to the decay time courses of the transient current elicited by the ON voltage steps (e.g., Fig. 8 C, red lines) gave relaxation rates of the slow components of charge movement; their mean values are plotted against voltage in C and D. Error bars represent SEM.
|
|
Figure 10. Similar Nao dependence and voltage dependence of transient charge movements in parent C113Y pumps and in C113Y pumps with C-terminal truncations. (A–C) Superimposed ouabain-sensitive current records (obtained by subtraction as in Fig. 8 [C and G]) determined in the same oocyte for C113Y pumps exposed to 125 mM (A), 62.5 mM (B), and 15.6 mM (C) [Nao]; Na was replaced by equimolar TMA. (E–G) Similar ouabain-sensitive transient currents in an oocyte expressing C113Y-ΔYY pumps exposed to 125 mM (E), 62.5 mM (F), and 15.6 mM (G) [Nao]; note that the steady inward currents at negative test voltages became larger as [Nao] was lowered (E–G). (D and H) Pre–steady-state charge determined as integrals of OFF transients was plotted against test voltage and fitted with Boltzmann relations and then normalized and averaged for four C113Y oocytes (D) and three C113Y-ΔYY oocytes (H). ΔV0.5 for the twofold and eightfold reductions of [Nao], respectively, averaged as follows: C113Y (red), −22 ± 1 mV and −80 ± 3 mV, n = 4; C113Y-ΔYY (olive), −25 ± 2 mV and −90 ± 10 mV, n = 3; C113Y-ΔKESYY, −33 mV and −102 mV, n = 1. Fractional electrical distance, λ, estimated from these data via ΔV0.5 = (RT/λF)ln([Nao]1/[Nao]2) is ∼0.7 (0.73 for C113Y and 0.65 for C113Y-ΔKESYY), as for WT.
|
|
Figure 11. ΔYY and ΔKESYY C-terminal truncations impair Ko-induced closure of palytoxin-bound Na/K pump channels. (A and B) Representative recordings of activation and deactivation of palytoxin-bound Na/K pump channels in outside-out membrane patches (with 125 mM Na but no ATP in the pipette–cytoplasmic side) excised from oocytes expressing C113Y (A) or C113Y-ΔYY truncated (B) pumps; the labeled bars indicate bath (extracellular side) solution changes. A high concentration, 100 nM, of palytoxin (PTX) rapidly opened pump channels in both cases with similar time courses (activation time constant, τact = 21 s for C113Y and 26 s for C113Y-ΔYY). Replacement of all Nao with Ko caused, after a small instantaneous current increase (asterisks), biexponential complete decay of palytoxin-activated current (dotted lines mark current levels in Ko before PTX). (C) Superimposed normalized traces show reduced fractional amplitude of the faster component of Ko-induced decay for the truncated pumps (C113Y-ΔYY, olive; C113Y-ΔKESYY, blue) than for the parent pump (C113Y, red); dotted line as in A and B; breaks in the traces are to show that the decay is complete.
|