Click here to close
Hello! We notice that you are using Internet Explorer, which is not supported by Xenbase and may cause the site to display incorrectly.
We suggest using a current version of Chrome,
FireFox, or Safari.
Int J Biochem Cell Biol
2009 Nov 01;4111:2204-13. doi: 10.1016/j.biocel.2009.04.014.
Show Gene links
Show Anatomy links
The transmembrane tyrosines Y56, Y91 and Y167 play important roles in determining the affinity and transport rate of the rabbit proton-coupled peptide transporter PepT1.
Pieri M
,
Gan C
,
Bailey P
,
Meredith D
.
???displayArticle.abstract???
The mammalian proton-coupled peptide transporter PepT1 is widely accepted as the major route of uptake for dietary nitrogen, as well as being responsible for the oral absorption of a number of classes of drugs, including beta-lactam antibiotics and angiotensin-converting enzyme (ACE) inhibitors. Using site-directed mutagenesis and zero-trans transport assays, we investigated the role of conserved tyrosines in the transmembrane domains (TMDs) of rabbit PepT1 as predicted by hydropathy plots. All the individual TMD tyrosines were substituted with phenylalanine and shown to retain the ability to traffic to the plasma membrane of Xenopus laevis oocytes. These single substitutions of TMD tyrosines by phenylalanine residues did not affect the proton dependence of peptide uptake, with all retaining wild-type PepT1-like pH dependence. Individual mutations of four of the nine TMD residue tyrosines (Y64, Y287, Y345 and Y587) were without measurable effect on PepT1 function, whereas the other five (Y12, Y56, Y91, Y167 and Y345) were shown to result in altered transport function compared to the wild-type PepT1. Intriguingly, the affinity of Y56F-PepT1 was found to be dramatically increased (approximately 100-fold) in comparison to that of the wild-type rabbit PepT1. Y91 mutations also affected the substrate affinity of the transporter, which increased in line with the hydrophilicity of the substituted amino acid (F>Y>Q>R). Y167 was demonstrated to play a pivotal role in rabbit PepT1 function since Y167F, Y167R and Y167Q demonstrated very little transport function. These results are discussed with regard to a proposed mechanism for PepT1 substrate binding.
Fig. 1. (A) Surface expression quantification of all TMD tyrosine to phenylalanine mutants using luminometry against the FLAG epitope incorporated in each mutant. Wild type rPepT1-FLAG (wt-PepT1) surface expression was used as a positive control, and non-injected oocyte values were subtracted from all data as a negative control. Results are normalised to wild-type and expressed as mean ± SEM, n = 3 separate experiments, >20 oocytes per experiment. (B) Uptake of 0.4 μM [3H]-d-Phe-l-Gln into Xenopus oocytes expressing wild-type rPepT1 (wt-Pept1) or the individual tyrosine mutants. Non-injected control oocyte values have been subtracted from the data. Each data point is expressed as the mean ± SEM, *p < 0.05, n ≥ 3 separate experiments. The wild-type rPepT1 uptake corresponds to 342 ± 37 fmol peptide/(oocyte h). (C) Uptake of 0.4 μM [3H]-d-Phe-l-Gln into Xenopus oocytes expressing wild-type rPepT1 (wt-PepT1) or individual tyrosine mutants corrected for surface expression. Non-injected control oocyte values have been subtracted from the data. Note that adjustment has been made to normalize uptake to the level of protein expression for each mutant in order to express the functional effect of each mutation. Each data point is the mean ± SEM, *p < 0.05, n ≥ 3 separate experiments.
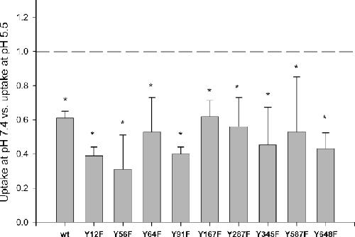
Fig. 2. Comparison of pH dependence of [3H]-d-Phe-l-Gln uptake by the wild-type rPepT1 (wt) and individual tyrosine mutants. Uptake of [3H]-d-Phe-l-Gln by oocytes was measured at extracellular pH 5.5 and pH 7.4 after one hour incubation. Values represent mean ± SEM for three separate oocyte preparations and are normalized to the uptake at pHout 5.5 for each construct, *p < 0.01, n = 3, Student's t-test compared to pHout 7.4.
Fig. 3. Graphs show the affinity constants (Ki, mM) for the Y12F-, Y56F-, Y92F- and Y345F-rPepT1 mutants for both pHout 5.5 (A) and 7.4 (B). The uptake of 0.4 μM [3H]-d-Phe-l-Gln into oocytes was measured in the presence of increasing concentrations of the non-radioactive (cold) Gly-l-Gln dipeptide. Each Ki was calculated from the best fit of the data to Michaelis–Menten kinetics for binding to a single site (Deves and Boyd, 1989), *p < 0.05, n = 3, Student's t-test compared to wild-type.
Fig. 4. (A) Chemical structures of Phe-Tyr-NH2 and its parent compound Phe-Tyr. (B and C) Ki determination of carboxyl-terminal amidated Phe-Tyr-NH2 and the parent compound Phe-Tyr by wild-type-PepT1 (B) and Y56F-rPepT1 mutant (C) at pHout 5.5. Uptake of 0.4 μM [3H]-d-Phe-l-Gln into oocytes was measured in the presence of increasing concentrations of Phe-Tyr or Phe-Tyr-NH2 at pHout 5.5. Lines represent best fit of the data to Michaelis–Menten kinetics for binding to a single site (Deves and Boyd, 1989). Each data point is the mean ± SEM of 5 oocytes, and the graphs are representative of n = 4 oocyte preparations.
Fig. 5. (A) Uptake of [3H]-d-Phe-l-Gln in Xenopus oocytes expressing wild-type rPepT1 (wt-PepT1), the single T58F or the double Y56F/T58Y-rPepT1 mutants. *p < 0.01 versus wild-type uptake at pHout 5.5 (black bars) and #p < 0.01 versus wild-type uptake at pHout 7.4 (grey bars), Student's t-test, n = 3. (B) pH dependence of [3H]-d-Phe-l-Gln uptake normalised to the uptake of pHout 5.5 for each construct. pH dependence of uptake is seen only in the wild-type rPepT1 (*p < 0.01, Student's t-test, n = 3).
Fig. 6. (A) Uptake of [3H]-d-Phe-l-Gln in Xenopus oocytes expressing wild-type rPepT1 (wt-PepT1), Y91F-, Y91Q- or Y91R-PepT1. *p < 0.05 versus wild-type uptake at pHout 5.5 (black bars) and #p < 0.05 versus wild-type uptake at pHout 7.4 (grey bars), Student's t-test, n = 3). (B) pH dependence of [3H]-d-Phe-l-Gln uptake normalised to the uptake of pHout 5.5 for each construct. pH dependence of uptake is maintained only in the Y91F-rPepT1 mutant (*p < 0.01, Student's t-test, n = 3). (C and D) Ki determination of Gly-l-Gln against 0.4 μM [3H]-d-Phe-l-Gln uptake by wild-type rPepT1 (wt-PepT1) and the Y91F-, Y91Q- and Y91R-rPepT1 mutants at pHout 5.5 (C) and 7.4 (D). Lines represent best fit of the data to Michaelis–Menten kinetics for binding to a single site (Deves and Boyd, 1989). Each data point is the mean ± SEM of 5 oocytes, and the graphs are representative of n ≥ 2 oocyte preparations.
Fig. 7. (A) Uptake of [3H]-d-Phe-l-Gln in Xenopus oocytes expressing wild-type rPepT1 (wt-PepT1), Y167F-, Y167Q- or Y167R-rPepT1 mutants at pHout 5.5 and 7.4. Uptake is reduced by >90% as compared to the wild-type at both pHout 5.5 (black bars, *p < 0.001, Student's t-test, n > 3) and pHout 7.4 (grey bars, #p < 0.001, Student's t-test, n > 3). (B) pH dependence of [3H]-d-Phe-l-Gln uptake normalised to the uptake of pHout 5.5 for each construct. pH dependence of uptake is maintained in all Y167 mutants (*p < 0.05, Student's t-test, n > 3).
Fig. 8. Cartoon representation of rPepT1 to show the putative position of the transmembrane tyrosines (adapted from Fei et al., 1994).
Abramson,
Structure and mechanism of the lactose permease of Escherichia coli.
2003, Pubmed
Abramson,
Structure and mechanism of the lactose permease of Escherichia coli.
2003,
Pubmed
Ahern,
A cation-pi interaction between extracellular TEA and an aromatic residue in potassium channels.
2006,
Pubmed
Bailey,
Affinity prediction for substrates of the peptide transporter PepT1.
2006,
Pubmed
Bailey,
How to Make Drugs Orally Active: A Substrate Template for Peptide Transporter PepT1.
2000,
Pubmed
Banerjee,
Electrostatic and potential cation-pi forces may guide the interaction of extracellular loop III with Na+ and bile acids for human apical Na+-dependent bile acid transporter.
2008,
Pubmed
Biegel,
Three-dimensional quantitative structure-activity relationship analyses of beta-lactam antibiotics and tripeptides as substrates of the mammalian H+/peptide cotransporter PEPT1.
2005,
Pubmed
Bolger,
Structure, function, and molecular modeling approaches to the study of the intestinal dipeptide transporter PepT1.
1998,
Pubmed
Camougis,
Potency difference between the zwitterion form and the cation forms of tetrodotoxin.
1967,
Pubmed
Chen,
Functional roles of histidine and tyrosine residues in the H(+)-peptide transporter PepT1.
2000,
Pubmed
,
Xenbase
Covitz,
Membrane topology of the human dipeptide transporter, hPEPT1, determined by epitope insertions.
1998,
Pubmed
Daniel,
The proton oligopeptide cotransporter family SLC15 in physiology and pharmacology.
2004,
Pubmed
Daniel,
From bacteria to man: archaic proton-dependent peptide transporters at work.
2006,
Pubmed
Deves,
The determination of kinetic parameters for carrier-mediated transport of non-labelled substrate analogues: a general method applied to the study of divalent anion transport in placental membrane vesicles.
1989,
Pubmed
Dougherty,
Cation-pi interactions in chemistry and biology: a new view of benzene, Phe, Tyr, and Trp.
1996,
Pubmed
Fei,
Expression cloning of a mammalian proton-coupled oligopeptide transporter.
1994,
Pubmed
,
Xenbase
Fei,
Identification of a potential substrate binding domain in the mammalian peptide transporters PEPT1 and PEPT2 using PEPT1-PEPT2 and PEPT2-PEPT1 chimeras.
1998,
Pubmed
,
Xenbase
Kniazeff,
An intracellular interaction network regulates conformational transitions in the dopamine transporter.
2008,
Pubmed
Kramer,
Influence of amino acid side-chain modification on the uptake system for beta-lactam antibiotics and dipeptides from rabbit small intestine.
1990,
Pubmed
Kulkarni,
Transmembrane segment 5 of the dipeptide transporter hPepT1 forms a part of the substrate translocation pathway.
2003,
Pubmed
,
Xenbase
Kulkarni,
Analysis of transmembrane segment 7 of the dipeptide transporter hPepT1 by cysteine-scanning mutagenesis.
2003,
Pubmed
Kumpf,
A mechanism for ion selectivity in potassium channels: computational studies of cation-pi interactions.
1993,
Pubmed
Kyte,
A simple method for displaying the hydropathic character of a protein.
1982,
Pubmed
Lee,
Biopharmaceutics of transmucosal peptide and protein drug administration: role of transport mechanisms with a focus on the involvement of PepT1.
1999,
Pubmed
Links,
Cysteine scanning of transmembrane domain three of the human dipeptide transporter: implications for substrate transport.
2007,
Pubmed
Mayer,
Proton-coupled electron transfer: a reaction chemist's view.
2004,
Pubmed
Meredith,
Structure and function of eukaryotic peptide transporters.
2000,
Pubmed
Meredith,
Molecular modeling of PepT1--towards a structure.
2006,
Pubmed
Meredith,
Site-directed mutation of arginine 282 to glutamate uncouples the movement of peptides and protons by the rabbit proton-peptide cotransporter PepT1.
2004,
Pubmed
,
Xenbase
Ojeda,
Acetylcholine binding site in the vesicular acetylcholine transporter.
2004,
Pubmed
Panitsas,
Evidence that the rabbit proton-peptide co-transporter PepT1 is a multimer when expressed in Xenopus laevis oocytes.
2006,
Pubmed
,
Xenbase
Pedretti,
Modeling of the intestinal peptide transporter hPepT1 and analysis of its transport capacities by docking and pharmacophore mapping.
2008,
Pubmed
Pieri,
Site-directed mutagenesis of Arginine282 suggests how protons and peptides are co-transported by rabbit PepT1.
2008,
Pubmed
,
Xenbase
Santarelli,
A cation-pi interaction discriminates among sodium channels that are either sensitive or resistant to tetrodotoxin block.
2007,
Pubmed
,
Xenbase
Santarelli,
Calcium block of single sodium channels: role of a pore-lining aromatic residue.
2007,
Pubmed
Seth,
Mutations in novel organic cation transporter (OCTN2), an organic cation/carnitine transporter, with differential effects on the organic cation transport function and the carnitine transport function.
1999,
Pubmed
Terada,
Peptide transporters: structure, function, regulation and application for drug delivery.
2004,
Pubmed
Tommos,
Electron, proton and hydrogen-atom transfers in photosynthetic water oxidation.
2002,
Pubmed
Yeung,
Molecular identification of a role for tyrosine 167 in the function of the human intestinal proton- coupled dipeptide transporter (hPepT1).
1998,
Pubmed