Click here to close
Hello! We notice that you are using Internet Explorer, which is not supported by Xenbase and may cause the site to display incorrectly.
We suggest using a current version of Chrome,
FireFox, or Safari.
J Gen Physiol
2008 Oct 01;1324:421-8. doi: 10.1085/jgp.200810023.
Show Gene links
Show Anatomy links
ATP inhibition of CLC-1 is controlled by oxidation and reduction.
Zhang XD
,
Tseng PY
,
Chen TY
.
???displayArticle.abstract???
The effect of intracellular adenosine triphosphate (ATP) on the "common gating" of the CLC-1 chloride channel has been studied by several laboratories with controversial results. Our previous study on the channel expressed in Xenopus oocytes using excised inside-out patch-clamp methods showed a robust effect of ATP in shifting the open probability curve of the common gate toward more depolarizing voltages (Tseng, P.Y., B. Bennetts, and T.Y. Chen. 2007. J. Gen. Physiol. 130:217-221). The results were consistent with those from studying the channel expressed in mammalian cells using whole cell recording methods (Bennetts, B., M.W. Parker, and B.A. Cromer. 2007. J. Biol. Chem. 282:32780-32791). However, a recent study using excised-patch recording methods for channels expressed in Xenopus oocytes reported that ATP had no direct effect on CLC-1 (Zifarelli, G., and M. Pusch. 2008. J. Gen. Physiol. 131:109-116). Here, we report that oxidation of CLC-1 may be the culprit underlying the controversy. When patches were excised from mammalian cells, the sensitivity to ATP was lost quickly--within 2-3 min. This loss of ATP sensitivity could be prevented or reversed by reducing agents. On the other hand, CLC-1 expressed in Xenopus oocytes lost the ATP sensitivity when patches were treated with oxidizing reagents. These results suggest a novel view in muscle physiology that the mechanisms controlling muscle fatigability may include the oxidation of CLC-1.
???displayArticle.pubmedLink???
18824589
???displayArticle.pmcLink???PMC2553389 ???displayArticle.link???J Gen Physiol ???displayArticle.grants???[+]
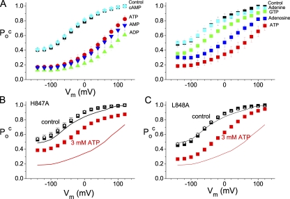
Figure 1. Effects of intracellular nucleotides on the common gate Poc-V curve of wild-type CLC-1 and two single-point mutants. All experiments were performed with 3 mM nucleotides/nucleosides at a pHi of 6.2. Poc was determined using protocol A. (A) Comparison of the effects of various nucleotides/nucleosides on the Poc-V curve of CLC-1 channels expressed in Xenopus oocytes. Results on the left (n = 3) and right (n = 4) were obtained from different sets of membrane patches. (B) Effects of 3 mM ATP on the Poc-V curve of the H847A mutant (expressed in oocytes). Black squares, before ATP application; red squares, 3 mM ATP; small open triangles, after ATP washout (n = 4). For comparison, the Poc-V curves of the wild-type CLC-1 shown in the right panel of A are plotted as black (control) and red curves (3 mM ATP). (C) Effects of 3 mM ATP on the steady-state Poc-V curve of the L848A mutant (expressed in oocytes). The Poc-V curves of the wild-type CLC-1 in the absence (control) and in the presence of 3 mM ATP are the same as in B. A smaller ATP effect in the mutant compared with that of the wild-type CLC-1 was also observed in experiments using tsA201 cells.
Figure 2. ATP does not inhibit steady-state CLC-1 current in patches excised from tsA201 cells. The pHi was 6.8. (A) Steady-state CLC-1 current in the absence (control) and in the presence of 3 mM ATP. (B) Effects of 3 mM ATP on the Poc-V curve of CLC-1 expressed in tsA201 cells. Data points were obtained from the experiments as those shown in A.
Figure 3. Oxidation renders CLC-1 channels insensitive to ATP. All experiments were performed at a pHi of 6.8 in inside-out patches acutely excised from tsA201 cells under various conditions. The CLC-1 current was continuously monitored using protocol B. Each circle represents the initial tail current. The application of 3 mM ATP for 10 s, as indicated by the short horizontal lines, is repeated at a frequency of ∼1/min. (A) Continuous monitoring of the ATP sensitivity in the normal intracellular solution for mammalian cells. The original recording traces before (black trace) and after (red trace) ATP applications were obtained from the indicated ATP trials. Notice that the initial ATP inhibition of the current is significant, but the inhibition quickly reduces or even disappears within 2–3 min. Insets show the averaged decay of the normalized ATP sensitivity for patches without a delay (left, τ = 1.9 min) or with a delay of 2 min (right, τ = 2.8 min). (B) Continuous monitoring of the ATP inhibition of CLC-1 in the presence of reducing agents. The experiment was the same as that in A except that the patch was excised into the intracellular solution containing 100 μM β-ME. (Inset) Time course of the normalized ATP sensitivity in β-ME. (C) ATP inhibition of CLC-1 channels after the membrane patch was exposed to 300 μM MTSES for 30 s right after the first ATP application. MTSES was then washed out, and the intracellular solution contained no reducing agent. (Insets) Current traces taken from the indicated ATP trials. (D) Effects of ATP on the steady-state Poc-V curve of CLC-1 channels in the presence of 100 μM β-ME.
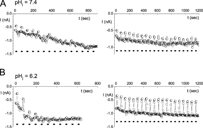
Figure 4. Redox control of the ATP sensitivity at various pHi conditions. All experiments were similar to those shown in Fig. 3 (A and B) except that the pHi's were at 7.4 (A) and 6.2 (B). In both A and B, the recording on the left was performed in the bath solution without reducing reagents, whereas that on the right was performed in the presence of 100 μM β-ME. Short line segments at the bottom of each figure indicate the time when 3 mM ATP was applied.
Figure 5. Oxidation suppresses the ATP inhibition of the common gating of CLC-1 channels expressed in Xenopus oocytes. All experiments were performed at a pHi of 6.8. (A) Inhibition of CLC-1 by 3 mM cytoplasmic ATP was consistent throughout a time course of 5 min for a large membrane patch. Voltage protocol B was used, and each circle represents the initial tail current. The recording traces in inset panels are an average of consecutive three traces before (black) and at the end of the 1-min ATP application (red). (B) CuPhe suppresses the ATP effect on CLC-1. Continuous recordings using the same voltage protocol and the large-tip electrode as shown in A. The patch was exposed to CuPhe for 2 min before the second ATP application. (C) Effects of ATP on the steady-state Poc-V curve of CLC-1 before (squares) and after (circles) the CuPhe treatment. Black, control; red, 3 mM ATP (n = 4). (D) Monitoring the ATP sensitivity of CLC-1 in channels from Xenopus oocytes using small-tip electrodes. The voltages of the test pulse and the tail pulse were −40 and −100 mV, respectively. Notice that the spontaneous deterioration of the ATP sensitivity is much faster in the top panel (no reducing reagents in the bath solution) than that in the bottom panel (100 μM DTT in the bath solution).
Figure 6. The loss of ATP response of CLC-1 can be reversed by reducing reagents. (A) Continuous monitoring of the ATP sensitivity of CLC-1 using small patches excised from tsA201 cells. (B) Testing the reversibility of the ATP response of CLC-1 in the large membrane patch excised from Xenopus oocytes. Insets in A and B are data averaged from five and three patches, respectively.
Accardi,
To ATP or not to ATP: this is the question.
2008, Pubmed
Accardi,
To ATP or not to ATP: this is the question.
2008,
Pubmed
Accardi,
Fast and slow gating relaxations in the muscle chloride channel CLC-1.
2000,
Pubmed
,
Xenbase
Allen,
Skeletal muscle fatigue: cellular mechanisms.
2008,
Pubmed
Bennetts,
Inhibition of skeletal muscle ClC-1 chloride channels by low intracellular pH and ATP.
2007,
Pubmed
Bennetts,
Cytoplasmic ATP-sensing domains regulate gating of skeletal muscle ClC-1 chloride channels.
2005,
Pubmed
Chen,
Extracellular zinc ion inhibits ClC-0 chloride channels by facilitating slow gating.
1998,
Pubmed
,
Xenbase
Cooke,
Modulation of the actomyosin interaction during fatigue of skeletal muscle.
2007,
Pubmed
Duffield,
Involvement of helices at the dimer interface in ClC-1 common gating.
2003,
Pubmed
Ferreira,
Muscle-derived ROS and thiol regulation in muscle fatigue.
2008,
Pubmed
Hill,
Isolation and characterization of the Xenopus oocyte plasma membrane: a new method for studying activity of water and solute transporters.
2005,
Pubmed
,
Xenbase
Kramer,
Intracellular Ca2+ regulates the sensitivity of cyclic nucleotide-gated channels in olfactory receptor neurons.
1992,
Pubmed
,
Xenbase
Lamb,
Effects of oxidation and reduction on contractile function in skeletal muscle fibres of the rat.
2003,
Pubmed
Li,
Oxidation and reduction control of the inactivation gating of Torpedo ClC-0 chloride channels.
2005,
Pubmed
,
Xenbase
Markovic,
The structure of the cytoplasmic domain of the chloride channel ClC-Ka reveals a conserved interaction interface.
2007,
Pubmed
Meyer,
Nucleotide recognition by the cytoplasmic domain of the human chloride transporter ClC-5.
2007,
Pubmed
,
Xenbase
Meyer,
Crystal structure of the cytoplasmic domain of the chloride channel ClC-0.
2006,
Pubmed
Peake,
The influence of antioxidant supplementation on markers of inflammation and the relationship to oxidative stress after exercise.
2007,
Pubmed
Pedersen,
Increased excitability of acidified skeletal muscle: role of chloride conductance.
2005,
Pubmed
Pedersen,
Intracellular acidosis enhances the excitability of working muscle.
2004,
Pubmed
Phimister,
Conformation-dependent stability of junctophilin 1 (JP1) and ryanodine receptor type 1 (RyR1) channel complex is mediated by their hyper-reactive thiols.
2007,
Pubmed
Smith,
Redox modulation of contractile function in respiratory and limb skeletal muscle.
2006,
Pubmed
Steinmeyer,
Primary structure and functional expression of a developmentally regulated skeletal muscle chloride channel.
1991,
Pubmed
,
Xenbase
Thompson,
Myosin and actin expression and oxidation in aging muscle.
2006,
Pubmed
Tseng,
Cytoplasmic ATP inhibition of CLC-1 is enhanced by low pH.
2007,
Pubmed
,
Xenbase
Zhang,
On the discrepancy between whole-cell and membrane patch mechanosensitivity in Xenopus oocytes.
2000,
Pubmed
,
Xenbase
Zhang,
Roles of K149, G352, and H401 in the channel functions of ClC-0: testing the predictions from theoretical calculations.
2006,
Pubmed
,
Xenbase
Zifarelli,
The muscle chloride channel ClC-1 is not directly regulated by intracellular ATP.
2008,
Pubmed
,
Xenbase