Click here to close
Hello! We notice that you are using Internet Explorer, which is not supported by Xenbase and may cause the site to display incorrectly.
We suggest using a current version of Chrome,
FireFox, or Safari.
???displayArticle.abstract???
Eukaryotic cells seem unable to monitor replication completion during normal S phase, yet must ensure a reliable replication completion time. This is an acute problem in early Xenopus embryos since DNA replication origins are located and activated stochastically, leading to the random completion problem. DNA combing, kinetic modelling and other studies using Xenopus egg extracts have suggested that potential origins are much more abundant than actual initiation events and that the time-dependent rate of initiation, I(t), markedly increases through S phase to ensure the rapid completion of unreplicated gaps and a narrow distribution of completion times. However, the molecular mechanism that underlies this increase has remained obscure. Using both previous and novel DNA combing data we have confirmed that I(t) increases through S phase but have also established that it progressively decreases before the end of S phase. To explore plausible biochemical scenarios that might explain these features, we have performed comparisons between numerical simulations and DNA combing data. Several simple models were tested: i) recycling of a limiting replication fork component from completed replicons; ii) time-dependent increase in origin efficiency; iii) time-dependent increase in availability of an initially limiting factor, e.g. by nuclear import. None of these potential mechanisms could on its own account for the data. We propose a model that combines time-dependent changes in availability of a replication factor and a fork-density dependent affinity of this factor for potential origins. This novel model quantitatively and robustly accounted for the observed changes in initiation rate and fork density. This work provides a refined temporal profile of replication initiation rates and a robust, dynamic model that quantitatively explains replication origin usage during early embryonic S phase. These results have significant implications for the organisation of replication origins in higher eukaryotes.
???displayArticle.pubmedLink???
18682801
???displayArticle.pmcLink???PMC2488399 ???displayArticle.link???PLoS One ???displayArticle.grants???[+]
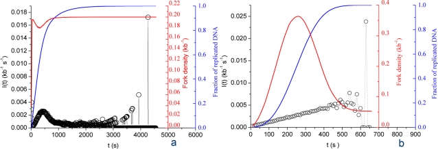
Figure 1. Replication initiation rate, I(t), as a function of time.The open circles are the data points and the two dashed lines are linear fits presented in Figure 10 b in [31].
Figure 2. Computed I(t) for stationary scenarios.Open circles are numerical simulation data points. (A) Particle recycling scenario: NT = 104;. P = 10−3 kb−1 s−1. (B) Particle abundance scenario: NT = 105; P = 10−4 kb−1 s−1. Blue and red curves represent the simulated replicated fraction and the fork density, respectively.
Figure 3. Fitting of the experimental I(t) (open circles) using an increased particle availability scenario.The solid black line is the best fit to the increasing part of the data using a Levenberg-Marquardt algorithm coupled with a dynamic Monte Carlo method (N0 = 3100, J = 1 s−1 and P = 0.9×10−4 kb−1 s−1; χ2 = 2.6×10−8). Blue and red curves represent the simulated replicated fraction and the fork density, respectively.
Figure 4. Computed I(t) for increased affinity scenarios.Open circles are numerical simulation data points. (A) Limiting particles scenario: P(t) = 10−3+10−4t; NT = 104. (B) Abundant particles scenario: P(t) = 10−4+10−5t; NT = 105. Blue and red curves represent the simulated replicated fraction and the fork density, respectively.
Figure 5. Computed I(t) for fork-density dependent affinity scenarios: P(NB(t)) = P0+P1[1−exp(−NB(t)/Nc)].Open circles are numerical simulation data points. (A) Limiting particles scenario: P0 = 10−3 kb−1 s−1, P1 = 10−3 kb−1 s−1, NT = 104 and NC = 7×103. (B) Abundant particles scenario: P0 = 10−4 kb−1 s−1, P1 = 10−3 kb−1 s−1, NT = 105 and NC = 7×103. Blue and red curves represent the simulated replicated fraction and the fork density, respectively.
Figure 6. Fitting of the experimental I(t) (open circles) using a scenario that combines increased particle availability (J>0) and fork-density dependent affinity: P(NB(t)) = P0+P1[1−exp(−NB(t)/Nc)] and NC = 7×103.The solid black line is the best fit to the increasing part of the data using a Levenberg-Marquardt algorithm coupled with a dynamic Monte Carlo method (P0 = 10−4 kb−1 s−1, P1 = 2×10−3 kb−1 s−1, J = 5 s−1and N0 = 1000; χ2 = 10−9). Blue and red curves represent the simulated replicated fraction and the fork density, respectively.
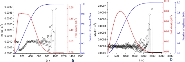
Figure 7. Analysis of a novel set of experimental data using the model shown on Figure 6.(A) Comparison of the novel data points (open circles, see text) with a rescaled fit to the previous data set (Figure 6). (B) Normalised distributions of fibre length in increasing (circles) and decreasing (triangles) parts of the data. The solid black and grey lines represent the smoothed distributions (using a 5 points Fourier filter) of the increasing and decreasing parts of the data, respectively.
Figure 8. Temporal variation of fork density.(A) Comparison of the simulated fork density profile (solid red curve) and simulated I(t) (circles). Blue curve, simulated replicated fraction. (B) Comparison of the rescaled simulated fork density profile (solid black curve) and the experimentally determined fork density (circles).
Figure 9. Model for regulation of replication initiation in Xenopus egg extracts.The bimolecular interaction of a trans-acting factor (particle) with an origin gives rise to initiation with a probability P(t) that depends on the density of already existing forks. The number (NT) of particles increases during S phase at a rate J from an initial N0 value, due to recruitment by nuclear import or any analogous process. Initiation events result in a number of forks (Nf) that merge at a frequency 2v/<g> (where v is the fork velocity and <g> the mean size of gaps at a given replication extent) and release particles that can be reused for initiation.
Alexandrow,
Chromatin decondensation in S-phase involves recruitment of Cdk2 by Cdc45 and histone H1 phosphorylation.
2005, Pubmed
Alexandrow,
Chromatin decondensation in S-phase involves recruitment of Cdk2 by Cdc45 and histone H1 phosphorylation.
2005,
Pubmed
Bechhoefer,
How Xenopus laevis replicates DNA reliably even though its origins of replication are located and initiated stochastically.
2007,
Pubmed
,
Xenbase
Berezney,
Heterogeneity of eukaryotic replicons, replicon clusters, and replication foci.
2000,
Pubmed
Blow,
Preventing re-replication of chromosomal DNA.
2005,
Pubmed
Blow,
Replication origins in Xenopus egg extract Are 5-15 kilobases apart and are activated in clusters that fire at different times.
2001,
Pubmed
,
Xenbase
Callan,
Replication of DNA in the chromosomes of eukaryotes.
1972,
Pubmed
Czajkowsky,
DNA combing reveals intrinsic temporal disorder in the replication of yeast chromosome VI.
2008,
Pubmed
Edwards,
MCM2-7 complexes bind chromatin in a distributed pattern surrounding the origin recognition complex in Xenopus egg extracts.
2002,
Pubmed
,
Xenbase
Harvey,
CpG methylation of DNA restricts prereplication complex assembly in Xenopus egg extracts.
2003,
Pubmed
,
Xenbase
Heessen,
The inner nuclear envelope as a transcription factor resting place.
2007,
Pubmed
Herrick,
Kinetic model of DNA replication in eukaryotic organisms.
2002,
Pubmed
,
Xenbase
Herrick,
Replication fork density increases during DNA synthesis in X. laevis egg extracts.
2000,
Pubmed
,
Xenbase
Hyrien,
Chromosomal replication initiates and terminates at random sequences but at regular intervals in the ribosomal DNA of Xenopus early embryos.
1993,
Pubmed
,
Xenbase
Hyrien,
Paradoxes of eukaryotic DNA replication: MCM proteins and the random completion problem.
2003,
Pubmed
Hyrien,
Plasmid replication in Xenopus eggs and egg extracts: a 2D gel electrophoretic analysis.
1992,
Pubmed
,
Xenbase
Jun,
Nucleation and growth in one dimension. II. Application to DNA replication kinetics.
2005,
Pubmed
Jun,
Persistence length of chromatin determines origin spacing in Xenopus early-embryo DNA replication: quantitative comparisons between theory and experiment.
2004,
Pubmed
,
Xenbase
Krasinska,
Cdk1 and Cdk2 activity levels determine the efficiency of replication origin firing in Xenopus.
2008,
Pubmed
,
Xenbase
Lau,
The functional role of Cdc6 in S-G2/M in mammalian cells.
2006,
Pubmed
Lebofsky,
DNA replication origin interference increases the spacing between initiation events in human cells.
2006,
Pubmed
Legouras,
DNA replication in the fission yeast: robustness in the face of uncertainty.
2006,
Pubmed
Lengronne,
The yeast CDK inhibitor Sic1 prevents genomic instability by promoting replication origin licensing in late G(1).
2002,
Pubmed
Lu,
Histone H1 reduces the frequency of initiation in Xenopus egg extract by limiting the assembly of prereplication complexes on sperm chromatin.
1998,
Pubmed
,
Xenbase
Lucas,
Mechanisms ensuring rapid and complete DNA replication despite random initiation in Xenopus early embryos.
2000,
Pubmed
,
Xenbase
Machida,
Right place, right time, and only once: replication initiation in metazoans.
2005,
Pubmed
Mahbubani,
Cell cycle regulation of the replication licensing system: involvement of a Cdk-dependent inhibitor.
1997,
Pubmed
,
Xenbase
Mahbubani,
DNA replication initiates at multiple sites on plasmid DNA in Xenopus egg extracts.
1992,
Pubmed
,
Xenbase
Marheineke,
Aphidicolin triggers a block to replication origin firing in Xenopus egg extracts.
2001,
Pubmed
,
Xenbase
Marheineke,
Control of replication origin density and firing time in Xenopus egg extracts: role of a caffeine-sensitive, ATR-dependent checkpoint.
2004,
Pubmed
,
Xenbase
Patel,
DNA replication origins fire stochastically in fission yeast.
2006,
Pubmed
Rhind,
DNA replication timing: random thoughts about origin firing.
2006,
Pubmed
Sclafani,
Cell cycle regulation of DNA replication.
2007,
Pubmed
Shechter,
ATR and ATM regulate the timing of DNA replication origin firing.
2004,
Pubmed
,
Xenbase
Sheu,
Cdc7-Dbf4 phosphorylates MCM proteins via a docking site-mediated mechanism to promote S phase progression.
2006,
Pubmed
Tanaka,
CDK-dependent phosphorylation of Sld2 and Sld3 initiates DNA replication in budding yeast.
2007,
Pubmed
Torres-Rosell,
Anaphase onset before complete DNA replication with intact checkpoint responses.
2007,
Pubmed
Torres-Rosell,
Can eukaryotic cells monitor the presence of unreplicated DNA?
2007,
Pubmed
Walter,
Regulation of replicon size in Xenopus egg extracts.
1997,
Pubmed
,
Xenbase
Walter,
Regulated chromosomal DNA replication in the absence of a nucleus.
1998,
Pubmed
,
Xenbase
Wohlschlegel,
Xenopus Mcm10 binds to origins of DNA replication after Mcm2-7 and stimulates origin binding of Cdc45.
2002,
Pubmed
,
Xenbase
Yao,
Subcellular localization of yeast ribonucleotide reductase regulated by the DNA replication and damage checkpoint pathways.
2003,
Pubmed
Zegerman,
Phosphorylation of Sld2 and Sld3 by cyclin-dependent kinases promotes DNA replication in budding yeast.
2007,
Pubmed
Zhang,
Reconstructing DNA replication kinetics from small DNA fragments.
2006,
Pubmed