Click here to close
Hello! We notice that you are using Internet Explorer, which is not supported by Xenbase and may cause the site to display incorrectly.
We suggest using a current version of Chrome,
FireFox, or Safari.
???displayArticle.abstract???
The restricted expression of XTcf-4 in the anteriormidbrain is regulated via an active wnt/beta-catenin pathway (Kunz et al.,2004, Dev Biol 273:390-401). The molecular mechanism of this autoregulatory loop, however, remained elusive. Here we show that the activity of a 1,775 bp promoter fragment containing a consensus Lef/Tcf binding site at position -1,437 to -1,428 is upregulated by activating transcription factors of the Lef/Tcf family. Furthermore, chromatin immunoprecipitation revealed that endogenous beta-catenin is bound to the Lef/Tcf site on the promoter. Thus, regulation of XTcf-4 by canonical wnt-signaling is directly controlled by binding to and activating a consensus Lef/Tcf binding site within its own promoter.
FIG. 1. (a) Sequence of the 21,775/1501 XTcf-4 promoter fragment. The positions are given relative to the TSS, which was determined by50 RLM-RACE. The putative promoter region (gray shaded) was predicted by PROMH (Solovyev and Shahmuradov, 2003). Potential tran-scription factor binding sites were predicted by TESS (Transcription Element Search Software: (http://www. cbil.upenn.edu/cgi-bin/tess/tess). The consensus Lef/Tcf site, the TATA box binding protein (TBP) binding site and the accumulation of Sp1 sites in close proximity to theTSS are indicated. The first codon of the XTcf-4 protein is indicated in bold letters. (b) Shows that following 50 RLM-RACE one single PCRproduct appears. Sequencing and alignment of the product locates the TSS 405 bp upstream of the ATG, as indicated in (a).83AUTOREGULATION OF XTcf-4
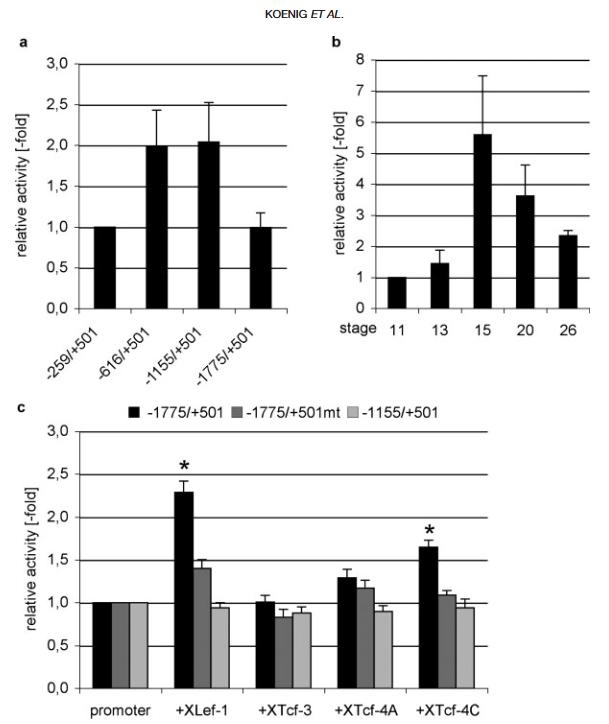
FIG. 2. The XTcf-4 promoter is activated by Lef/Tcf transcription factors. (a) Promoter activity of different XTcf-4 promoter fragments inHEK 293 cells. Promoter activity was normalized to b-galactosidase activity and is given in relation to the shortest (2259/1501) promoterfragment, which itself is 100-fold more active than the empty vector (not shown). (b) Activity of the 21,775/1501 XTcf-4 promoter in earlyXenopus development after injection of 200 pg into each blastomere at the two-cell stage. Embryonic stages are defined according toNieuwkoop and Faber (1967). Promoter activity at gastrula (stage 11) is set as 1. (c) Cotransfection of Lef/Tcf transcription factors revealsthat the XTcf-4 promoter is activated by XLef-1 and XTcf-4C. This activation depends on the integrity of a functional Lef/Tcf site at position21,437 to 21,428, because the promoter construct with mutated Lef/Tcf site (21,775/1501 mt) and a shorter promoter fragment lackingthis Lef/Tcf site (21,155/1501) is not activated. The activity of the different promoter constructs after cotransfection of Lef/Tcfs is given inrelation to the corresponding promoter fragment alone. The asterisks indicate significant activation (P < 0.005 in Student t-test).84 KOENIG ET AL.
FIG. 3. b-Catenin is bound to the XTcf-4 promoter. (a) Chromatin immunoprecipitation with anti-b-catenin (IP-b-cat) and anti fibronectin(IP-Fn) antibodies demonstrates that b-catenin is bound to the Lef/Tcf sites on the XTcf-4 and siamois promoter. Amplification of the IP-Fn,the open reading frame (ORF) and without DNA (-DNA), serves as negative control. The faint band for the siamois promoter in the IP-Fn isdue to unspecific binding of the antibody. The Western blot (b) shows that b-catenin is precipitated in the ChIP.