XB-ART-3414
J Gen Physiol
2004 Jul 01;1241:43-57. doi: 10.1085/jgp.200409067.
Show Gene links
Show Anatomy links
Unique inner pore properties of BK channels revealed by quaternary ammonium block.
Li W
,
Aldrich RW
.
???displayArticle.abstract???
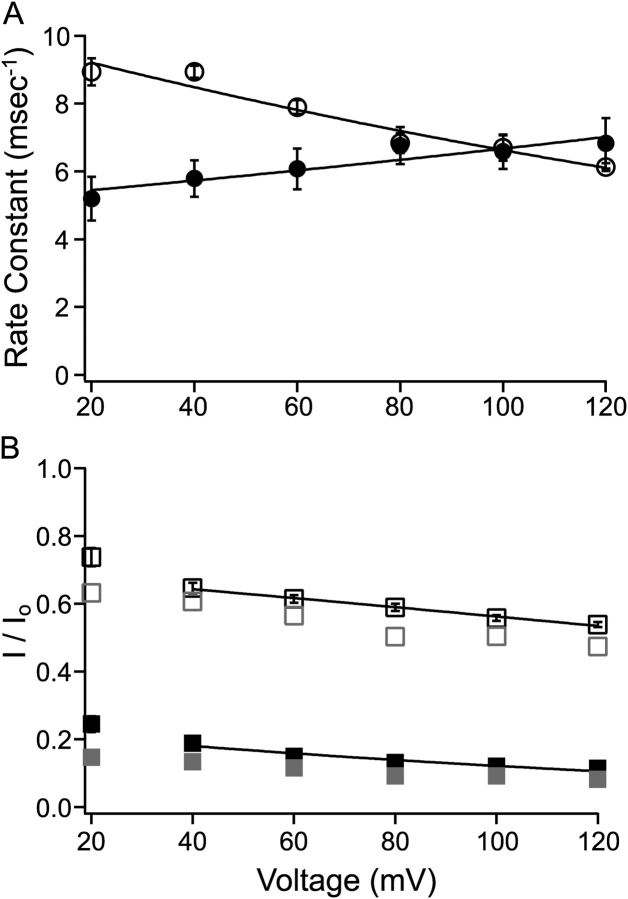
Potassium channels have a very wide distribution of single-channel conductance, with BK type Ca(2+)-activated K(+) channels having by far the largest. Even though crystallographic views of K(+) channel pores have become available, the structural basis underlying BK channels' large conductance has not been completely understood. In this study we use intracellularly applied quaternary ammonium compounds to probe the pore of BK channels. We show that molecules as large as decyltriethylammonium (C(10)) and tetrabutylammonium (TBA) have much faster block and unblock rates in BK channels when compared with any other tested K(+) channel types. Additionally, our results suggest that at repolarization large QA molecules may be trapped inside blocked BK channels without slowing the overall process of deactivation. Based on these findings we propose that BK channels may differ from other K(+) channels in its geometrical design at the inner mouth, with an enlarged cavity and inner pore providing less spatially restricted access to the cytoplasmic solution. These features could potentially contribute to the large conductance of BK channels.
???displayArticle.pubmedLink??? 15197222
???displayArticle.pmcLink??? PMC2229608
???displayArticle.link??? J Gen Physiol
Species referenced: Xenopus laevis
Genes referenced: tbx2
???attribute.lit??? ???displayArticles.show???
References [+] :
Armstrong,
The inner quaternary ammonium ion receptor in potassium channels of the node of Ranvier.
1972, Pubmed
Armstrong, The inner quaternary ammonium ion receptor in potassium channels of the node of Ranvier. 1972, Pubmed
Armstrong, Inactivation of the potassium conductance and related phenomena caused by quaternary ammonium ion injection in squid axons. 1969, Pubmed
Armstrong, Interaction of tetraethylammonium ion derivatives with the potassium channels of giant axons. 1971, Pubmed
ARMSTRONG, ANOMALOUS RECTIFICATION IN THE SQUID GIANT AXON INJECTED WITH TETRAETHYLAMMONIUM CHLORIDE. 1965, Pubmed
Baukrowitz, Two functionally distinct subsites for the binding of internal blockers to the pore of voltage-activated K+ channels. 1996, Pubmed
Baukrowitz, Use-dependent blockers and exit rate of the last ion from the multi-ion pore of a K+ channel. 1996, Pubmed
Bers, A simple method for the accurate determination of free [Ca] in Ca-EGTA solutions. 1982, Pubmed
Brelidze, A ring of eight conserved negatively charged amino acids doubles the conductance of BK channels and prevents inward rectification. 2003, Pubmed , Xenbase
Brelidze, Protons block BK channels by competitive inhibition with K+ and contribute to the limits of unitary currents at high voltages. 2004, Pubmed , Xenbase
Butler, mSlo, a complex mouse gene encoding "maxi" calcium-activated potassium channels. 1993, Pubmed , Xenbase
Choi, The internal quaternary ammonium receptor site of Shaker potassium channels. 1993, Pubmed , Xenbase
Clay, Quaternary ammonium ion blockade of IK in nerve axons revisited. Open channel block vs. state independent block. 1995, Pubmed
Colquhoun, The actions of tubocurarine at the frog neuromuscular junction. 1979, Pubmed
Cox, Separation of gating properties from permeation and block in mslo large conductance Ca-activated K+ channels. 1997, Pubmed
Cui, Intrinsic voltage dependence and Ca2+ regulation of mslo large conductance Ca-activated K+ channels. 1997, Pubmed , Xenbase
Diaz, Interaction of internal Ba2+ with a cloned Ca(2+)-dependent K+ (hslo) channel from smooth muscle. 1996, Pubmed , Xenbase
Ding, Tail end of the s6 segment: role in permeation in shaker potassium channels. 2002, Pubmed
Doyle, The structure of the potassium channel: molecular basis of K+ conduction and selectivity. 1998, Pubmed
Foster, A peptide derived from the Shaker B K+ channel produces short and long blocks of reconstituted Ca(2+)-dependent K+ channels. 1992, Pubmed
French, Blockage of squid axon potassium conductance by internal tetra-N-alkylammonium ions of various sizes. 1981, Pubmed
Guo, Kinetics of inward-rectifier K+ channel block by quaternary alkylammonium ions. dimension and properties of the inner pore. 2001, Pubmed , Xenbase
Hamill, Improved patch-clamp techniques for high-resolution current recording from cells and cell-free membrane patches. 1981, Pubmed
Holmgren, Trapping of organic blockers by closing of voltage-dependent K+ channels: evidence for a trap door mechanism of activation gating. 1997, Pubmed
Jiang, Crystal structure and mechanism of a calcium-gated potassium channel. 2002, Pubmed
Jiang, The open pore conformation of potassium channels. 2002, Pubmed
Jiang, X-ray structure of a voltage-dependent K+ channel. 2003, Pubmed
Kobertz, K+ channels lacking the 'tetramerization' domain: implications for pore structure. 1999, Pubmed , Xenbase
Kreusch, Crystal structure of the tetramerization domain of the Shaker potassium channel. 1998, Pubmed
Kuo, Crystal structure of the potassium channel KirBac1.1 in the closed state. 2003, Pubmed
Lopez, Evidence that the S6 segment of the Shaker voltage-gated K+ channel comprises part of the pore. 1994, Pubmed , Xenbase
Lu, Ion conduction pore is conserved among potassium channels. 2001, Pubmed
MacKinnon, Structural conservation in prokaryotic and eukaryotic potassium channels. 1998, Pubmed
MacKinnon, Potassium channels. 2003, Pubmed
Melishchuk, Mechanism underlying slow kinetics of the OFF gating current in Shaker potassium channel. 2001, Pubmed
Miller, Trapping single ions inside single ion channels. 1987, Pubmed
Neyton, A Ba2+ chelator suppresses long shut events in fully activated high-conductance Ca(2+)-dependent K+ channels. 1996, Pubmed
Nimigean, Electrostatic tuning of ion conductance in potassium channels. 2003, Pubmed , Xenbase
Patten, Structural and functional modularity of voltage-gated potassium channels. 1999, Pubmed , Xenbase
Qin, Estimating single-channel kinetic parameters from idealized patch-clamp data containing missed events. 1996, Pubmed , Xenbase
Solaro, Trypsin-sensitive, rapid inactivation of a calcium-activated potassium channel. 1992, Pubmed
Swenson, Inactivation of potassium current in squid axon by a variety of quaternary ammonium ions. 1981, Pubmed
Taglialatela, Patterns of internal and external tetraethylammonium block in four homologous K+ channels. 1991, Pubmed , Xenbase
Toro, Internal blockade of a Ca(2+)-activated K+ channel by Shaker B inactivating "ball" peptide. 1992, Pubmed
Villarroel, Probing a Ca2+-activated K+ channel with quaternary ammonium ions. 1988, Pubmed
Webster, Intracellular gate opening in Shaker K+ channels defined by high-affinity metal bridges. 2004, Pubmed
Woodhull, Ionic blockage of sodium channels in nerve. 1973, Pubmed
Yeh, Immobilisation of gating charge by a substance that simulates inactivation. 1978, Pubmed
Yellen, Ionic permeation and blockade in Ca2+-activated K+ channels of bovine chromaffin cells. 1984, Pubmed
Zei, Effects on ion permeation with hydrophobic substitutions at a residue in Shaker S6 that interacts with a signature sequence amino acid. 1999, Pubmed , Xenbase
Zhou, Potassium channel receptor site for the inactivation gate and quaternary amine inhibitors. 2001, Pubmed , Xenbase
