|
SCHEME I.
|
|
SCHEME II.
|
|
Figure 1. . Concentration dependence of Ba2+ wash-in and washout kinetics. The kinetic experiments were performed with various extracellular Ba2+ concentrations at −20 mV in low external K+ solutions (2 mM). (A) Representative normalized traces are shown. From a holding potential of −80 mV, the KCNQ1 channels were opened by a −20-mV depolarizing step. After 4 s of channel opening, 0.5 mM or 10 mM Ba2+ was applied for 20 s and thereafter washed out for 16 s at the same depolarizing potential (−20 mV). (B) Ba2+ wash-in kinetics were fitted by a double exponential function with a fast (solid triangles) and slow (solid squares) time constants plotted as a function of Ba2+ concentrations (n = 8). (C) Ba2+ washout kinetics were fitted by a double exponential function with a fast (empty triangles) and slow (empty squares) time constants plotted as a function of Ba2+ concentrations (n = 8).
|
|
Figure 2. . Voltage dependence of Ba2+ wash-in and washout kinetics. The kinetic experiments were performed with 10 mM Ba2+ at various depolarizing voltages in low external K+ solutions (2 mM). (A) Representative normalized traces are shown. From a holding potential of −80 mV, the KCNQ1 channels were opened at −30 or +20 mV. After 4 s of channel opening, 10 mM Ba2+ was applied for 20 s and thereafter washed out for 16 s at the same depolarizing potential. (B) Ba2+ wash-in kinetics were fitted by a double exponential function with a fast (solid triangles) and slow (solid squares) time constants plotted as a function of depolarizing voltages (n = 5). (C) Ba2+ washout kinetics were fitted by a double exponential function with a fast (empty triangles) and slow (empty squares) time constants plotted as a function of depolarizing voltages (n = 5).
|
|
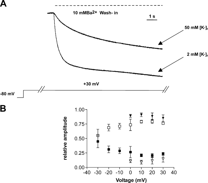
Figure 3. . Comparison of Ba2+ wash-in kinetics in low and high external K+ solutions. (A) Representative normalized traces of Ba2+ wash-in kinetics performed on the same oocyte in 2 mM [K+]0 and in 50 mM [K+]0. From a holding potential of −80 mV, the KCNQ1 channels were opened by a +30-mV depolarizing step. After 4 s of channel opening, 10 mM Ba2+ was applied for 20 s and thereafter washed out for 16 s at the same depolarizing potential (+30 mV). (B) Relative amplitudes of Ba2+ wash-in fast (empty symbols) and slow (solid symbols) kinetic components in 2 mM [K+]0 (squares) and in 50 mM [K+]0 (triangles) plotted as a function of membrane voltage.
|
|
Figure 4. . Effect of barium exposure to closed KCNQ1 channels. (A) Representative traces where from a −100 mV holding potential, KCNQ1 channels were opened for 2 s at +30 mV and repolarized for 0.5 s to a −60-mV tail potential (left trace, before Ba2+); then, 10 mM Ba2+ was bound for 2 min to closed channels at −100 mV and subsequently washed out for 2 min at −100 mV, before channels were opened for 2 s at +30 mV as above (right trace, after 10 mM Ba2+). (B) Superimposed traces showing KCNQ1 current before Ba2+ exposure (black trace), after 10 mM Ba2+ (red trace), and the subtracted trace (green) corresponding to the Ba2+-inhibited current. (C) Fractional inactivation measured from the tail currents at −60 mV, before (empty bars) and after 10-mM Ba2+ application (solid bars) as described in A (n = 8). (D) Fast and slow deactivation time constants measured from the tail currents at −60 mV, before (empty bars) and after 10-mM Ba2+ application (solid bars) as described in A (n = 8).
|
|
Figure 5. . Barium produces a concentration- and voltage-dependent channel block. (A) Representative KCNQ1 current traces recorded in the absence (control) or presence of 10 mM Ba2+. From a holding potential of −80 mV, oocytes were stepped for 3 s from −70 to +30 mV in 10-mV increments and then repolarized for 1.5 s at −60-mV tail potential. (B) Current-voltage relations (n = 7) of control (solid squares), 0.5 mM Ba2+ (solid triangles), 2 mM Ba2+ (solid circles), and 10 mM Ba2+ (empty triangles). (C) Ba2+ inhibitory curves expressed as fractional channel unblock versus log10 of Ba2+ concentrations and measured at −70 mV (closed squares), −60 mV (upward closed triangles), −50 mV (downward closed triangles), −40 mV (closed diamonds), and −30 mV (closed circles). The KD values were obtained from the fit of a sigmoidal dose–response function (n = 7). (D) Ba2+ inhibitory curves expressed as in C and measured at −20 mV (open squares), −10 mV (upward open triangles), 0 mV (downward open triangles), +10 mV (open diamonds), +20 mV (open circles), and +30 mV (X labels). The KD values were obtained from the fit of a two site competition function. (E) Semilogarithmic plot of the KD values obtained from one site fit of the Ba2+ inhibitory curves versus membrane voltage (n = 7).
|
|
Figure 6. . Effect of Ba2+ on activation gating. (A) Activation kinetics at +30 mV were fitted by a double exponential function, with a fast (left) and slow time constant (right), plotted as a function of external Ba2+ concentrations (n = 10). A sigmoidal dose–response function yielded an EC50 = 0.44 mM for the fast time constant. (B) The fast (left) and slow (right) activation time constant (n = 11) were plotted against voltage steps and were measured in the absence (empty symbols) or the presence of 10mM Ba2+ (solid squares). (C) Representative normalized traces of current recorded at +30 mV before (control) and after application of 10 mM Ba2+. (D) The normalized conductance, deduced from the tail currents was plotted as a function of step voltage for control (closed squares), 0.5 mM Ba2+ (solid triangles), 2 mM Ba2+ (closed circles), and 10 mM Ba2+ (empty triangles). The normalized conductance curves were fitted using a Boltzmann function.
|
|
Figure 7. . Concentration-dependence of Ba2+ action on deactivation and inactivation gating. (A) Representative normalized traces of tail current recorded at −60 mV (left) or at −140 mV (right) after a +30-mV prepulse, before (control) and after application of 10 mM Ba2+. (B) The deactivation kinetics were recorded at −60 mV after a +30-mV prepulse. Tail currents were fitted by a double exponential function, with a fast (left) and slow time constant (right), plotted as a function of external Ba2+ concentrations (n = 7). A sigmoidal dose–response function yielded an EC50 = 1.4 ± 0.2 mM for the fast time constant (n = 7). (C) Dose-dependent inhibition of KCNQ1 inactivation by increasing concentrations of Ba2+ as measured by the hook of the tail currents at −60 mV (n = 7). A sigmoidal dose-response function yielded an EC50 = 0.94 ± 0.07 mM (n = 7).
|
|
Figure 8. . Effect of barium on time-dependent inactivation and voltage-dependent deactivation kinetics. (A) Representative tail currents obtained after a 1.5-s prepulse at +30 mV from −140 to −30 mV in 10-mV increments before (left) and after (right) application of 10 mM Ba2+. (B) The deactivation kinetics were determined in the absence (control) or presence of 10 mM Ba2+ at various tail potentials following a 1.5-s prepulse at +30 mV and were fitted by a double exponential function, with a fast (left) and slow (right) time constant (n = 5). (C) Representative current traces (n = 7) where the membrane potential was stepped to +30 mV for increasing durations by increments of 200 ms to progressively activate and inactivate the channel; then, a brief (15 ms) hyperpolarizing interpulse to −130 mV was used to allow channel recovery from inactivation before a +30-mV test pulse was applied to reopen and reinactivate KCNQ1 channels. The decaying current of the third test pulse (reinduction of inactivation) could be fitted by a single exponential function.
|
|
Figure 9. . Barium effects in high external K+ solutions. (A) Representative KCNQ1 current traces recorded in high external K+ (50 mM) solution, in the absence (left) or presence (right) of 10 mM Ba2+. From a holding potential of −80 mV, oocytes were stepped for 3 s from −70 to +30 mV in 10-mV increments and then repolarized for 1.5 s at −120-mV tail potential. (B) Current-voltage relations (n = 8) before (control, empty squares) and after application of 10 mM Ba2+ (solid squares) measured at steady-state in high external K+ (50 mM). (C) Current-voltage relations of the same experiments as in B (n = 8), before (control, empty squares) and after application of 10 mM Ba2+ (solid squares) measured at −120 mV tail potential in high external K+ (50 mM). (D) Current-voltage relations (n = 7), before (control, empty squares) and after application of 10 mM Ba2+ (solid squares) measured at −120-mV tail potential in low external K+ (2 mM). (E) The normalized conductance, deduced from the tail currents at −120 mV, was measured before (control, open squares) and after application of 10mM Ba2+ (solid squares) in 1 μM (left), 2 mM (middle), and 50 mM (right) external K+. The normalized conductance curves were fitted using a Boltzmann function.
|
|
Figure 10. . High external K+ relieves the impact of Ba2+ on KCNQ1 activation, inactivation, and deactivation gating. (A) Representative normalized traces of KCNQ1 activation measured at +30 mV before (control) and after application of 10mM Ba2+ in 2 mM [K+]0 (left), or 50 mM [K+]0 (right). (B) Representative normalized traces of KCNQ1 deactivation measured from a +30-mV prepulse at −120-mV tail potential before (control) and after 10 mM Ba2+ in 2 mM [K+]0 (left), or 50 mM [K+]0 (right). (C) Fractional KCNQ1 inactivation measured from the tail currents before (empty bars) and after application of 10 mM Ba2+ (filled bars) in 1 μM, 2 mM, and 50 mM external K+. Tail currents were recorded at −60 mV for 1 μM and 2 mM [K+]0 and at −120 mV for 50 mM [K+]0. The fractional inactivation was corrected for the change in driving force.
|
|
Figure 11. . Effect of membrane voltage on the fractional current inhibition produced by barium. (A) Fractional current inhibition produced by 10 mM Ba2+ in high external K+ (50 mM) and plotted as a function of step voltages. (B) Fractional current inhibition produced by 10 mM Ba2+ in low external K+ (2 mM) and plotted as in A. (C) Extraction of the Ba2+ KD values from the fractional current inhibition (see materials and methods) and plotted a function of step voltages.
|
|
Figure 12. . Effect of Ba2+ on tail current analysis. (A and B) Representative tail envelopes from the same oocyte showing the kinetics of current deactivation, measured at a −60 mV tail potential after the progressive activation of KCNQ1 channels by various prepulse durations to +30 mV from 50 ms to 2.25 s in 200-ms increments, in the absence (A) and presence of 10 mM Ba2+ (B). (C and D) Fast and slow time constant of channel deactivation before (empty symbols) and after 10-mM Ba2+ application (solid triangles) plotted as a function of prepulse duration (n = 12). (E) Fractional inactivation measured from the same tail current analysis before (empty squares) and after 10-mM Ba2+ application (solid squares) plotted as a function of prepulse duration (n = 12).
|
|
Figure 13. . Simulation of KCNQ1 gating. (A) Simulation of the tail envelope protocol as described in Fig. 12. The simulation was done according to Scheme I. All rate constants represent averaged values obtained from the least square fit of currents at +30 mV and −60 mV in the absence of Ba2+ (n = 7). The ordinate represents the calculated open probability (fractional occupancy of the open states). (B) Representative experimental traces of the tail envelope protocol. (C) Simulation (red line) of KCNQ1 activation (+30 mV) and deactivation (−60 mV) according to Scheme I, superimposed on an experimental trace. (D) Scaled simulation (red lines) of KCNQ1 activation in high external K+ (50 mM) according to Scheme II, in the absence and presence of 10mM Ba2+. The simulation was superimposed on experimental average traces obtained from seven oocytes.
|
|
Figure 14. . Schematic calculation of KCNQ1 channel distribution among different populations in the presence of Ba2+. (A) Diagram of the different channel populations in the presence of 10 mM Ba2+, assuming a KD = 3 mM for channel block and a KD = 1 mM for channel gating modification. It is assumed that external Ba2+ interact with the permeation pathway of KCNQ1 channels at two distinct and nonsequential sites. (1) A deep site that accounts for the voltage-dependent block of the pore and leads to blocked nonconducting channels. (2) A superficial site that modifies the gating transitions states of KCNQ1 and leads to modified-conducting channels. (B–E) Illustration of how the relative fractions of nonconducting (blocked), and conducting (modified and nonmodified) channels are predicted to evolve, depending on the KD values for Ba2+ block.
|