XB-ART-27206
Gen Comp Endocrinol
1988 Nov 01;722:303-11. doi: 10.1016/0016-6480(88)90213-4.
Show Gene links
Show Anatomy links
Temporal pattern of appearance and distribution of cholecystokinin-like peptides during development in Xenopus laevis.
???displayArticle.abstract???
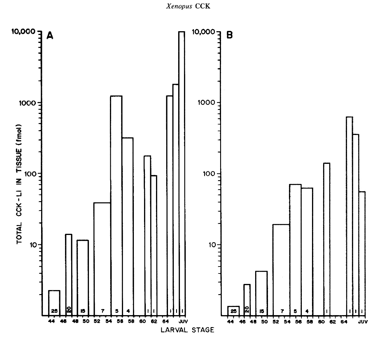
Cholecystokinin (CCK) radioimmunoassay and immunocytochemistry were used to localize the expression of CCK-like peptides in the gut, brain, and skin of Xenopus laevis during development from fertilization through metamorphosis to the adult form. CCK-like peptides were first detected in the gut shortly before food was first observed in the lumen of the intestine. This CCK-like immunoreactivity (CCK-li) was localized in endocrine cells in the duodenal mucosa. Gut CCK-li decreased during metamorphosis coincident with gut histolysis. After metamorphosis, gut CCK-li appeared in the newly organized gastric antrum at Nieuwkoop-Faber stage 62-63 and reappeared in the reconstituted duodenum at stage 63-64. In both cases, CCK-li was localized in endocrine cells. In both the gastric antrum and the duodenum, the first appearance of CCK-li preceded the functional activity of its target tissues. CCK-li increased in the brain during brain primary differentiation and again during metamorphic climax coincidentally with the differentiation of the hypothalamo-hypophysial system. Brain CCK-li then declined during the transition from larva to adult. We conclude that the first presence of food in the lumen of the larval gut does not induce the appearance of CCK-li and that CCK may play a role in regulating the development of the gastrointestinal tract and brain in X. laevis.
???displayArticle.pubmedLink??? 3197950
???displayArticle.link??? Gen Comp Endocrinol
Species referenced: Xenopus laevis
Genes referenced: cck gast
???attribute.lit??? ???displayArticles.show???
