Click here to close
Hello! We notice that you are using Internet Explorer, which is not supported by Xenbase and may cause the site to display incorrectly.
We suggest using a current version of Chrome,
FireFox, or Safari.
???displayArticle.abstract???
Microarrays have great potential for the study of developmental biology. As a model system Xenopus is well suited for making the most of this potential. However, Xenopus laevis has undergone a genome wide duplication meaning that most genes are represented by two paralogues. This causes a number of problems. Most importantly the presence of duplicated genes mean that a X. laevis microarray will have less or even half the coverage of a similar sized microarray from the closely related but diploid frog Xenopus tropicalis. However, to date, X. laevis is the most commonly used amphibian system for experimental embryology. Therefore, we have tested if a microarray based on sequences from X. tropicalis will work across species using RNA from X. laevis. We produced a pilot oligonucleotide microarray based on sequences from X. tropicalis. The microarray was used to identify genes whose expression levels changed during early X. tropicalis development. The same assay was then carried out using RNA from X. laevis. The cross species experiments gave similar results to those using X. tropicalis RNA. This was true at the whole microarray level and for individual genes, with most genes giving similar results using RNA from X. laevis and X. tropicalis. Furthermore, the overlap in genes identified between a X. laevis and a X. tropicalis set of experiments was only 12% less than the overlap between two sets of X. tropicalis experiments. Therefore researchers can work with X. laevis and still make use of the advantages offered by X. tropicalis microarrays.
???displayArticle.pubmedLink???
15763212
???displayArticle.link???Mech Dev
Fig. 1. A pilot microarray identifies genes whose expression changes during early X. tropicalis development. The microarrays were probed with labelled (Cy3 or Cy5) cDNA from st3 (4 cell) and stage 19 (neurula) X. tropicalis embryos. The hybridisations were carried out 4 times with one combination of dyes and 4 times with the dyes swapped, giving eight hybridisations in total. Each hybridisation is a biological replicate. The arrays were then scanned and the log2 ratio of fluorescence calculated for each oligonucleotide. (A) Cluster analysis of eight hybridisations using X. tropicalis material. Each column represents the result from 1 hybridisation, each bar the results from one gene. The greater the intensity of colour the greater the difference in ratio of the two wavelengths. Genes that appear black are not expressed or are evenly expressed in the two stages. Clusters of genes with higher expression at st3, st19 or equal expression can be identified. (B) The mean of the log2 ratio of the two wavelengths is plotted for each gene. The genes show a gradual transition from highly expressed at stage 3 to highly expressed in stage 19. The position of 3 well known Xenopus genes is marked.
Fig. 2. The X. tropicalis oligonucleotide microarray also works using RNA from X. laevis. (A) Four X. laevis hybridisations are shown with eight X. tropicalis hybridisations for comparison. As with the X. tropicalis experiments each of the four X. laevis hybridisation is a biological replicate and dye swops were carried out giving 2 hybridisations with each combination of dyes. (B) Cluster analysis of the hybridisations from both species shows that the X. laevis hybridisations (marked in red) are often more similar to a X. tropicalis hybridisation than to another X. laevis hybridisation. For example X. laevis hybridisations 3 and 4 (Xl3-4) are most closely related to each other but are more similar to the X. tropicalis hybridisations (Xt 2–8) than the other two X. laevis hybridisations (Xl1 and 2).
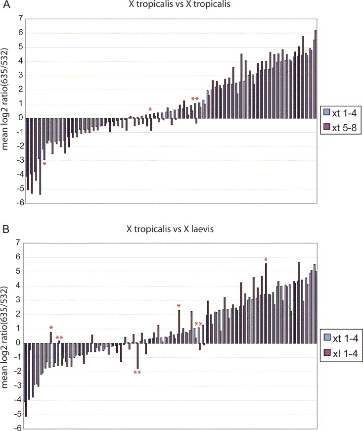
Fig. 3. Comparison of the results for each gene using X. laevis and X. tropicalis RNA. (A) The mean result for each gene is shown for two sets of 4 X. tropicalis experiments. (B) Shows the comparison of 4 X. laevis and 4 X. tropicalis experiments. The genes that are significantly different between the two sets are marked with ** (P<0.05) and * (P<0.1).
Fig. 4. The relationship between sequence mismatches and difference in result between species. (A) The number of mismatches between the 70 mer oligonucleotide designed to X. tropicalis sequence and the equivalent sequence in the X. laevis orthologue. The percent of the oligonucleotides is plotted against the number of mismatches.
Fig. 5. Overlap in the results using X. laevis and X. tropicalis RNA. (A) The overlap between the differentially expressed genes identified using X. tropicalis RNA and those identified using X. laevis RNA. Differentially expressed genes were selected from each set of experiments (Xt1–4, Xt5–8 and Xl1–4) by having at least a 2 fold mean difference in expression between the two stages. The overlap in genes that were selected as differentially expressed in both Xt1–4 and Xt5–8 was calculated. This represents the overlap between the two sets of experiments. The overlap across species, between Xl1–4 and Xt1–4, was then calculated. (B) The percent overlap between the differentially expressed genes identified using X. tropicalis RNA (xt1–4 vs xt5–8) and those identified using X. laevis RNA (average Xl1–4 vs Xt1–4 and Xl1–4 vs Xt5–8). The majority of genes were identified using X. laevis or X. tropicalis RNA but using X. laevis material added an extra 12% difference compared with 2 sets of X. tropicalis experiments.