Click here to close
Hello! We notice that you are using Internet Explorer, which is not supported by Xenbase and may cause the site to display incorrectly.
We suggest using a current version of Chrome,
FireFox, or Safari.
Dev Biol
1994 Jul 01;1641:147-59. doi: 10.1006/dbio.1994.1187.
Show Gene links
Show Anatomy links
The kinesin-related protein Eg5 associates with both interphase and spindle microtubules during Xenopus early development.
Houliston E
,
Le Guellec R
,
Kress M
,
Philippe M
,
Le Guellec K
.
???displayArticle.abstract???
We have examined the changing abundance and distribution of the kinesin-related protein Eg5 during oogenesis and early development in Xenopus laevis. Antibodies raised against proteins synthesized from parts of a novel Eg5 gene expressed in eggs were used for Western blotting and immunofluorescence. Eg5 protein was highly enriched in oocytes and eggs compared with other adult tissues. It accumulated during the latter stages of oogenesis and increased a further threefold during oocyte maturation. Its level then gradually declined during early development. In oocytes, eggs, and early embryos, Eg5 protein could be detected throughout the cytoplasm and in subcortical aggregates. Eg5 staining was found concentrated in meiotic and mitotic spindles, mainly toward the poles. Some Eg5 staining colocalized with microtubules in interphase cells, including the aligned subcortical microtubules in fertilized eggs implicated in the cortical rotation that specifies the dorsoventral axis. Interphase association of Eg5 with microtubules during early development was confirmed by copelleting the protein with microtubules from egg homogenates. In tadpoles and tissue culture cells, Eg5 colocalized with spindle microtubules throughout mitosis but not with interphase microtubules. These results suggest that the Eg5microtubule motor may function in meiosis, mitosis, and interphase during early development.
FIG. 1. (A) Nucleotide and predicted amino acid sequence of the second Eg5 eDNA (XLEg5K2), aligned with that of XLEg5Kl. Conserved
amino acids are not indicated. (B) Diagram showing the homologies (similar/identical amino acids) in different domains of XLEg5Kl and
XLEg5K2 and the organization of partial sequences expressed in bacteria. BESTFIT was used to find the best segments of similarities between
the two sequences (Devereux et aL, 1984). Domain structure from Le Guellec et aL, 1991; Sawin et aL, 1992a.
FIG. 2. Eg5 protein in Xenupu.~ oocytes, eggs, embryos, and adult
tissues detected by Western blotting. In parts a-e the 135-kDa Eg5
band obtained with the anti-tail serum is shown. (a) Comparison of
Eg5 levels in unfertilized eggs (UFE) and various adult tissues. (b)
Eg5 levels in oocytes at successive stages of oogenesis (I-VI) with
equivalent amounts of total protein loaded. (c) Same stages but with
one oocyte equivalent loaded per lane. (d) Accumulation ofEg5 during
maturation (hr after progesterone treatment-one oocyte equivalent
per lane). In this experiment 90% of oocytes showed white maturation
spots 8 hr after progesterone treatment. (e) Decline in Eg5levels during
embryogenesis. One embryo equivalent from each stage indicated
was loaded. (f) Full lanes containing samples from unfertilized eggs,
showing the specificity of the affinity-purified anti-tail antibody and
the C9 serum. The position of migration of molecular weight standards
(kDa) is marked.
FIG. 3. Meiotic spindles double stained by immunofluorescence (whole mount) with anti-tubulin (a-g) and various anti-Eg5 (a'-g') antibodies:
(a') C9 serum; (b') C9 serum preabsorbed with C9 fusion protein; (c') anti-tail serum; (d') anti-tail serum preabsorbed with tail protein; (e'-g')
affinity-purified anti-tail antibody. (a-e) Metaphase II spindles from unfertilized eggs; (f) a monaster found during spindle formation; and (g) a
metaphase I spindle. Bar. 20 .urn for a-d, 10 .urn fore-g.
FIG. 4. Fertilized eggs double stained with anti-tubulin (a-f) and anti-Eg5 tail (a'-f') antibodies (affinity purified in all but d'). Sections of
eggs fixed during the first half of the cell cycle (0.30-0.35 NT) show sperm aster microtubules extending from the animal to the vegetal
hemisphere (a) but not near the vegetal cortex (b). A portion of the heavy cytoplasmic Eg5 staining in the animal cytoplasm appears to become
associated with the microtubules. The aggregates of Eg5 staining (arrow) beneath the vegetal cortex can be seen from the vegetal surface of
whole eggs (c). In eggs fixed during the second half of the cell cycle (0.65-0.70 NT) a dense microtubule array with associated Eg5 staining can be
seen beneath the vegetal cortex in sections (d) and from the surface of whole eggs (e. f). Y, autofluorescence from large vegetal yolk platelets.
VC, vegetal cortex. Bar, 10 ,u.m.
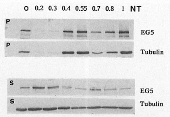
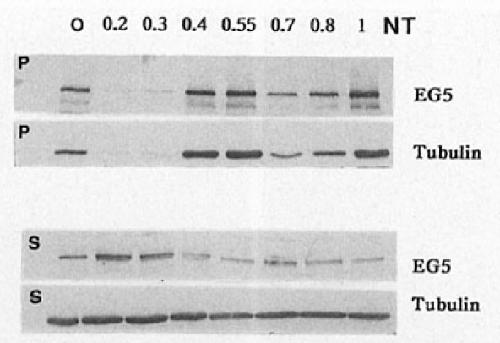
FIG. 5. Association of Eg5 with micro tubules in fertilized eggs during
the first cell cycle. Homogenized eggs were fractionated into polymeric
tubulin pellets (P, 3.5 egg equivalents per lane) and cytoplasmic
supernatants (S, 1 egg equivalent per lane) at successive times during
the first cell cycle. Times are expressed on a normalized time scale
where 1 NT is first cleavage (I 10 min after fertilization in this experiment).
Western blots using anti-Eg5 tail (135-kDa band) and anti-tubulin
(55-kDa band).
FIG. 6. Immunofluorescence with Eg5 ant ibodies in embryonic and adult cells. (a) Section of a mitotic cell from an early blastula. (b) Mitotic
and interphase cells in early neurula epithelial cells (whole mount). (c) Metaphase (m), telophase (t), and interphase (i) cells in tadpoleepidermis. (d) Eg5 staining enriched in a mitotic cell but not axons (n) in t he trunk of a older tadpole. (e-h) Eg5 staining in Xenopu.~ A6 cells at
different mitotic stages (p, prophase; m, metaphase; a, anaphase; t, telophase; i, interphase). Embryos were double stained with anti·tubulin
(a-d) and affinity-purified anti-Eg5 tail (a'-d') antibodies and A6 cells with anti-tubulin (c, g) and C9 (e', g') antibodies or Hoechs t dye (f, h) and
C9 (f', h' ). Bar, 10 I'm, except for f and h (12 I'm).
FIG. 7. Relationship of Eg5 with the ER. Double immunofluorescence with anti-BiP (a-f) and affinity-purified anti-tail (a'-f') antibodies. (a)
Vegetal cortical region of a section of a fertilized egg fixed at 0.35 NT. (b) similar region at 0.65 NT. (c) Vegetal surface of whole fertilized egg
fixed at 0.70 NT. (d) View from the animal pole of an unfertilized egg showing the top of the vertical meiotic spindle. (e) Section of a mitotic
blastula cell. (f) Section of an interphase blastula cell. There is partial colocalization of Eg5 and ER around the microtubules of the vegetal
array in fertilized eggs; however, BiP is excluded from the meiotic spindle, whereas Eg5 is concen\.rated inside it. Y, weak autofluorescence {rom
large vegetal yolk platelets. VC, vegetal cortex. Bar, 10 I'm.