Click here to close
Hello! We notice that you are using Internet Explorer, which is not supported by Xenbase and may cause the site to display incorrectly.
We suggest using a current version of Chrome,
FireFox, or Safari.
???displayArticle.abstract???
Exposure to exogenous androgen regulates cell number in the developing larynx of Xenopus laevis and hormone-regulated laryngeal development requires secretion of thyroid hormone (TH). We sought to determine whether exposure to TH is both sufficient and necessary for androgen-evoked cell proliferation (androgen competency) in developing larynx. Androgen competency was not observed in the premetamorphic larynx (tadpole stage 53, before TH secretion) but was present just prior to metamorphic climax (stage 58, during TH secretion). However, when TH is administered precociously (between stages 48 and 50), androgen competency can be observed at stage 53. The stage 52larynx expresses high levels of the mRNA for TH receptor alpha. The duration of TH exposure required at tadpole stage 48 is greater than 2 days; studies in juveniles indicate that TH exposure need not be maintained in order for androgen competency to persist. The effects of exposure to TH on androgen competency are long lasting and perhaps permanent. While organotypic cultures obtained from tadpoles during premetamorphosis (stage 52) can proliferate in vitro and proliferation is augmented by TH exposure as it is in vivo, precocious exposure to TH does not induce androgen competency. In contrast, androgen does evoke cell proliferation in cultures obtained from metamorphosing (stage 58) tadpoles; proliferation is confined to the cartilage component. Thus, unlike larynges in vivo, muscle will not proliferate in response to androgen, indicating the necessity for an additional factor not present in vitro. Androgen receptor mRNA expression, believed required for androgen competency, was assessed in vivo and in vitro. The tadpolelarynx strongly expresses AR mRNA, expression does not require exposure to TH nor is expression diminished in culture.
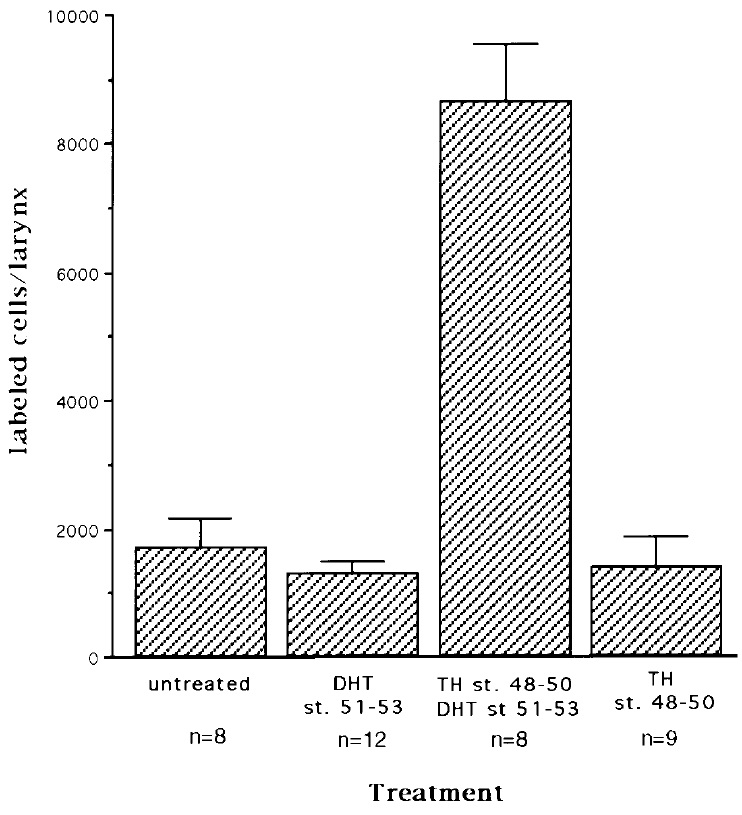
FIG. 1. Diagrammatic representation of the experimental paradigm illustrating the time course of administration of thyroxine (T4) and/
or dihydrotestosterone (DHT). All tadpoles received an injection of [3H]thymidine at stage 53 and were killed 30 min later.
FIG. 2. The effects of hormone treatment on number of labeled
cells per larynx in tadpoles; treatment groups as in Fig. 1. Values
given are means { standard error of the mean (SEM); the number
of animals in each group is indicated. The mean value for the TH/
DHT group differed significantly from the mean value of the untreated group; the mean values for the other groups did not differ significantly from the control value.
FIG. 3. Representative transverse autoradiographic sections
through the larynx of stage 53 tadpoles prepared following [3H]-
thymidine injection. Sectionswere exposed to nuclear emulsion
for 6 weeks, developed, and counterstained with cresyl violet.
(A) Untreated. (B) DHT-treated from stage 51â53. (C) TH-treated
from stage 48â50 and thenDHT-treated from stage 51â 53. Scale
bar, 100 mm. Abbreviations: m, muscle; c, cartilage; th, thyohyrals.
FIG. 4. The effects of hormone treatments on laryngeal cell proliferation in PM2 juveniles. The number of labeled cells/total number
of cells (labeling index) was determined for each larynx; values
given are means { SDs and the number of animals was 3 for each
group. The labeling index was significantly higher in males than
in females but treatment with DHT significantly increased the
labeling index in both sexes. Blockade of TH synthesis with PTU
did not affect DHT-induced cell proliferation.
FIG. 5. Cell proliferation demonstrated in laryngeal explants from stage 52 tadpoles examined following administration of BrdU in whole
mounts (AâC) or following administration of [3H]thymidine in 10-mm sections (Dâ F). Explants were untreated (A, D), DHT-treated (B, E),
or TH/DHT-treated (C, F). Bar, 100 mm. Abbreviations: m, muscle; c, cartilage; l, lumen.
FIG. 6. The effect of hormone treatment on number of labeled
cells per larynx in explants; treatment groups as in Fig. 1. Values
given are means { SEM; the number of explants in each group is
indicated. There was no significant difference in the total number
of [3H]thymidine-labeled cells between untreated controls and any
hormone treatment group.
FIG. 7. Hormone receptor gene expression in tadpole (AâC) and explant (Dâ F) larynges. Sections were hybridized in situ to S35 riboprobes
from the androgen receptor (A, B, D, E) or a sense control (F) or to the a isoform of the TR (C). AR mRNA is expressed in larynx, but not
pharynx, as early as tadpole stage 48 (A) and expression is also present at stage 54, even in the presence of PTU (B). In laryngeal explants,
AR mRNA expression is sustained after 16 days, with no apparent difference between untreated control explants (D) and TH/DHT-treated
explants (E). At stage 52, TRa mRNA is expressed in both larynx and pharynx (C).
FIG. 8. The effect of DHT treatment on cell proliferation of stage
58 larynges. Values given are means { standard error of the mean
(SEM); the number of animals in each group is indicated. In cartilage
(A), DHT induced a significant increase in the number of labeled
cells both in vivo and in vitro. In muscle (B), DHT only induced a
significant increase in labeled cells in vivo.