Click here to close
Hello! We notice that you are using Internet Explorer, which is not supported by Xenbase and may cause the site to display incorrectly.
We suggest using a current version of Chrome,
FireFox, or Safari.
Diversity of channels generated by different combinations of epithelial sodium channel subunits.
McNicholas CM
,
Canessa CM
.
???displayArticle.abstract???
The epithelial sodium channel is a multimeric protein formed by three homologous subunits: alpha, beta, and gamma; each subunit contains only two transmembrane domains. The level of expression of each of the subunits is markedly different in various Na+ absorbing epithelia raising the possibility that channels with different subunit composition can function in vivo. We have examined the functional properties of channels formed by the association of alpha with beta and of alpha with gamma in the Xenopus oocyte expression system using two-microelectrode voltage clamp and patch-clamp techniques. We found that alpha beta channels differ from alpha gamma channels in the following functional properties: (a) alpha beta channels expressed larger Na+ than Li+ currents (INa+/ILi+ 1.2) whereas alpha gamma channels expressed smaller Na+ than Li+ currents (INa+/ILi+ 0.55); (b) the Michaelis Menten constants (Km of activation of current by increasing concentrations of external Na+ and Li+ of alpha beta channels were larger (Km > 180 mM) than those of alpha gamma channels (Km of 35 and 50 mM, respectively); (c) single channel conductances of alpha beta channels (5.1 pS for Na+ and 4.2 pS for Li+) were smaller than those of alpha gamma channels (6.5 pS for Na+ and 10.8 pS for Li+); (d) the half-inhibition constant (Ki) of amiloride was 20-fold larger for alpha beta channels than for alpha gamma channels whereas the Ki of guanidinium was equal for both alpha beta and alpha gamma. To identify the domains in the channel subunits involved in amiloride binding, we constructed several chimeras that contained the amino terminus of the gamma subunit and the carboxy terminus of the beta subunit. A stretch of 15 amino acids, immediately before the second transmembrane domain of the beta subunit, was identified as the domain conferring lower amiloride affinity to the alpha beta channels. We provide evidence for the existence of two distinct binding sites for the amiloride molecule: one for the guanidium moiety and another for the pyrazine ring. At least two subunits alpha with beta or gamma contribute to these binding sites. Finally, we show that the most likely stoichiometry of alpha beta and alpha gamma channels is 1 alpha: 1 beta and 1 alpha: 1 gamma, respectively.
Figure 2. Records of unitary currents from cell-attached patches of oocytes co-injected with α and γ (A) or with α and β (B) subunits. −Vp refers to the negative value of the pipette holding potential. The short solid line to the right of each trace represents the minimal current level observed (closed level). Downward deflections represent inward currents (channel opening). There are at least four channels present in the patch shown in A and two channels in the patch shown in B.
Figure 3. Current-voltage (I-V) relationships for inward αγ (A) and αβ (B) unitary currents recorded from cell attached patches with either 150 mM NaCl in the pipette and the bath or 150 mM LiCl in the pipette and the bath. Data points are from a total of 5–9 separate experiments. The solid line represents the prediction from the constant field equation (Hille, 1992).
Figure 5. Dose-response curves of inhibition of Na+ currents by amiloride (A), benzamil (B), and guanidinium (C) of oocytes co-injected with α and γ cRNAs (□), α and β cRNAs (•), and CH3 and α cRNAs (♦). Similar response to CH3 was obtained with chimera CH4. Measurements were obtained with the two-electrode voltage clamp technique in the presence of 150 mM Na+ gluconate in the bath and at −100 mV membrane potential. Data points represent the mean of 10 different oocytes. Vertical bars represent the SEM.
Figure 4. Linear representation of γ-β chimeras and dimer constructs. Numbers in the chimeras indicate the amino acid positions of the corresponding γ and β polypeptides from rat, and the arrows indicate the junction between γ and β subunits.
Figure 6. Effect of membrane potential on amiloride Ki for αγ (□), and αβ (•) channels. Membrane potential was held between −180 and +50 mV. These measurements were obtained with 30 mM Na-gluconate in the bath solution. The Ki were normalized to the values obtained at −100 mV. Data points represent the mean of 8 different oocytes. Vertical bars represent the SEM.
Figure 7. Effect of Na+ concentration on amiloride Ki for αγ (□) and αβ (•) channels. Measurements of Ki were made at a holding potential of −100 mV in 4 different oocytes.
Figure 8. Amiloride-sensitive current of oocytes injected with equal amounts of cRNAs from α and γ subunits (□), α and β subunits (•), and α subunit and CH4 (♦) in the presence of increasing concentrations of Na+ (A) and Li+ (B) in the bath solution. Values were normalized to the maximal current. Data points were fitted with the Michaelis-Menten equation. Each curve represents the mean of 9 oocytes.
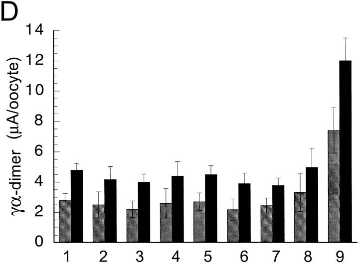
Figure 9. Effect of varying the concentration ratio of cRNAs in the magnitude of amiloride-sensitive whole cell Na+ (gray bars) and Li+ (black bars) currents: (A) α and β; (B) α and γ; (C) βα-dimer and α or β; (D) γα-dimer and α or γ. Oocytes were injected with equal amount of cRNA that was distributed in concentration ratios as follows (numbers in parentheses indicate the column on the appropriate graph). (A) 10α/1β (1), 5α/1β (2), 1α/1β (3), 1α/5β (4), and 1α/10β (5). (B) 10α/1γ (1), 5α/1γ (2), 1α/1γ (3), 1α/5γ (4), and 1α/ 10γ (5). (C) βα-dimer alone (1), 1α/1β (2), 1βα-dimer/1α (3), 1βα-dimer/2α (4), 1βα-dimer/3α (5), 1βα-dimer/1β (6), 1βα-dimer/2β (7), βα-dimer/3β (8), and 1βα-dimer/1γ (9). (D) 1γα-dimer alone (1), 1α/1γ (2), 1γα-dimer/1α (3), 1γα-dimer/2α (4), 1γα-dimer/3α (5), 1γα-dimer/1γ (6), 1γα-dimer/2γ (7), γα-dimer/3α (8), and 1γα-dimer/1β (9). Each bar represents the mean of 6–12 oocytes.
Figure 10. Proposed model for amiloride binding site in the epithelial sodium channel. The three subunits (α, β, and γ) arranged around the channel pore are shown. The positively charged guanidinium group blocks loosely the entrance of the channel while the pyrazine ring binds to a second site in the protein. Two types of pyrazine-binding sites are shown, the one with high affinity is formed by α and γ subunits, whereas the one with low affinity is formed by α and β subunits.
Asher,
Aldosterone-induced increase in the abundance of Na+ channel subunits.
1996, Pubmed,
Xenbase
Asher,
Aldosterone-induced increase in the abundance of Na+ channel subunits.
1996,
Pubmed
,
Xenbase
Bradley,
Heteromeric olfactory cyclic nucleotide-gated channels: a subunit that confers increased sensitivity to cAMP.
1994,
Pubmed
Canessa,
Amiloride-sensitive epithelial Na+ channel is made of three homologous subunits.
1994,
Pubmed
,
Xenbase
Canessa,
Epithelial sodium channel related to proteins involved in neurodegeneration.
1993,
Pubmed
,
Xenbase
Cantiello,
G protein subunit, alpha i-3, activates a pertussis toxin-sensitive Na+ channel from the epithelial cell line, A6.
1989,
Pubmed
Chen,
A new subunit of the cyclic nucleotide-gated cation channel in retinal rods.
1993,
Pubmed
,
Xenbase
Farman,
Noncoordinated expression of alpha-, beta-, and gamma-subunit mRNAs of epithelial Na+ channel along rat respiratory tract.
1997,
Pubmed
Garty,
Characteristics and regulatory mechanisms of the amiloride-blockable Na+ channel.
1988,
Pubmed
Gögelein,
Na+ selective channels in the apical membrane of rabbit late proximal tubules (pars recta).
1986,
Pubmed
Hamilton,
Single-channel recordings from amiloride-sensitive epithelial sodium channel.
1985,
Pubmed
,
Xenbase
Isacoff,
Evidence for the formation of heteromultimeric potassium channels in Xenopus oocytes.
1990,
Pubmed
,
Xenbase
Kleyman,
Amiloride and its analogs as tools in the study of ion transport.
1988,
Pubmed
Krapivinsky,
The G-protein-gated atrial K+ channel IKACh is a heteromultimer of two inwardly rectifying K(+)-channel proteins.
1995,
Pubmed
,
Xenbase
Lingueglia,
Different homologous subunits of the amiloride-sensitive Na+ channel are differently regulated by aldosterone.
1994,
Pubmed
,
Xenbase
MacGregor,
Amiloride-sensitive Na+ channels in fetal type II pneumocytes are regulated by G proteins.
1994,
Pubmed
Matalon,
Fetal lung epithelial cells contain two populations of amiloride-sensitive Na+ channels.
1993,
Pubmed
Methfessel,
Patch clamp measurements on Xenopus laevis oocytes: currents through endogenous channels and implanted acetylcholine receptor and sodium channels.
1986,
Pubmed
,
Xenbase
Nakanishi,
A family of glutamate receptor genes: evidence for the formation of heteromultimeric receptors with distinct channel properties.
1990,
Pubmed
Negulyaev,
Sodium-selective channels in membranes of rat macrophages.
1994,
Pubmed
Olans,
Saturation behavior of single, amiloride-sensitive Na+ channels in planar lipid bilayers.
1984,
Pubmed
,
Xenbase
Palmer,
Interactions of amiloride and other blocking cations with the apical Na channel in the toad urinary bladder.
1985,
Pubmed
Palmer,
Conductance and gating of epithelial Na channels from rat cortical collecting tubule. Effects of luminal Na and Li.
1988,
Pubmed
Palmer,
Epithelial Na channels: the nature of the conducting pore.
1990,
Pubmed
Palmer,
Amiloride-sensitive Na channels from the apical membrane of the rat cortical collecting tubule.
1986,
Pubmed
Palmer,
Voltage-dependent block by amiloride and other monovalent cations of apical Na channels in the toad urinary bladder.
1984,
Pubmed
Puoti,
The highly selective low-conductance epithelial Na channel of Xenopus laevis A6 kidney cells.
1995,
Pubmed
,
Xenbase
Rossier,
Epithelial sodium channels.
1994,
Pubmed
Waldmann,
Molecular cloning and functional expression of a novel amiloride-sensitive Na+ channel.
1995,
Pubmed
,
Xenbase
Waldmann,
Functional degenerin-containing chimeras identify residues essential for amiloride-sensitive Na+ channel function.
1995,
Pubmed
Warncke,
Voltage dependence of the blocking rate constants of amiloride at apical Na channels.
1985,
Pubmed
Yue,
Regulation of low-amiloride-affinity sodium channels in alveolar type II cells.
1994,
Pubmed