|
Figure 4. Comparison of functional properties of ILT and Shaw S4. (A) Normalized conductance plotted as a function of voltage for ILT and Shaw S4. ILT and Shaw S4 currents were digitized at 5 kHz and filtered at 2 kHz or were digitized at 20 kHz and filtered at 8 kHz. Data from six patches with ILT and six patches with Shaw S4 are compared. (B) Time constants for channel opening and closing were calculated from fits of single exponential functions to currents from ILT and Shaw S4 as outlined in materials and methods. Data from 10 patches with ILT and 14 patches with Shaw S4 are shown. Estimates of equivalent charge for channel opening and closing kinetics were calculated by fitting the time constants with the following: τ(V) = 1/(α + β), α(V) = α0e (zαF V/RT), β(V) = β0e (−zβF V/RT). τ(V) is the time constant from single exponential fits of currents during activation and deactivation at several voltages, V. α(V) and β(V) are the forward and backward rate constants at each voltage, respectively. α0 and β0 are the forward and backward rate constants at 0 mV, respectively. zα and zβ are the values of the equivalent charge for opening and closing the channels, respectively. Equivalent charge estimates for the forward rates for Shaw S4 and ILT are 0.78 and 0.84 electronic charges, respectively. Equivalent charge estimates for the backward rates for Shaw S4 and ILT are 0.86 and 0.90 electronic charges, respectively. ILT currents were digitized at 20 kHz and filtered at 8 kHz. Shaw S4 currents were digitized at 5 kHz and filtered at 2 kHz or were digitized at 20 kHz and filtered at 8 kHz. (C, top). Currents for ILT and Shaw S4 scaled for comparison of sigmoidicity. Currents were scaled as outlined in materials and methods to compare the relative delay in the activation time course. All values along the time axis are normalized so that when there is no delay, the relative time to half maximum current, thmx, is equal to one. Values greater than one indicate an increase in sigmoidicity. Scaled currents for Shaw S4 superimpose over a wide range of voltages, with a relative thmx of ∼1, indicating little tendency toward sigmoidicity. Scaled currents for ILT are separated into two groups to show that at voltages below +140 mV, the scaled currents superimpose with a relative thmx of ∼1. However, above +140 mV, there is an incremental increase in the delay with more positive voltage steps. (bottom) The relative thmx is plotted as a function of voltage, summarizing analysis of sigmoidicity from six patches with ILT channels and six patches with Shaw S4 channels. Currents from ILT and Shaw S4 were digitized at 20 kHz and filtered at 8 kHz. Little distortion in the waveform is expected or observed from delays introduced by the filter at these frequencies, due to the relatively slow rate of channel kinetics.
|
|
Figure 7. Gating currents from conducting ILT channels. Currents were recorded at the voltages indicated (millivolts) from a holding potential of −40 mV after a 2-s prepulse to −140 mV. At voltages more positive than +30 mV, ionic currents begin to activate. Leak subtraction was done with a P/5 protocol from a leak holding potential of 0 mV. ILT gating currents were digitized at 40 kHz and filtered at 10 kHz. Currents were recorded with the cut-open oocyte voltage clamp.
|
|
Figure 2. Macroscopic currents and conductance–voltage curves for channels with single and multiple point mutations in the S4 of Shaker. On the left are examples of currents from each channel construct recorded from inside-out patches in the voltage ranges indicated. All traces are incremented by 10 mV. On the right are conductance–voltage curves normalized to the maximum conductance at more positive voltages. Each symbol represents a separate experiment. The lines are fourth power Boltzmann functions, as outlined in materials and methods, generated from the mean values in Table I for Shaker and Shaw S4 and are included to ease comparison between the mutants, Shaker, and Shaw S4 (see Smith-Maxwell et al., 1998). Currents from ILT and Shaw S4 were digitized at 5 kHz and filtered at 2 kHz. All other currents were digitized at 20 kHz and filtered at 2 kHz. The number of patches represented in each graph is as follows: eight for Shaker, eight for F370M, four for ESS, nine for EFFSII, eight for FIIT, six for ILT, and six for Shaw S4.
|
|
Figure 3. Macroscopic currents and conductance–voltage curves for single and double point mutants of ILT. On the left are representative current traces at a series of voltages, incremented by 10 mV in the voltage ranges indicated. On the right are normalized conductance–voltage curves summarizing data from several experiments, each symbol representing data from a separate patch. The solid line is a fourth power Boltzmann function representing a fit to the data for ILT, created from the mean values in Table I to ease comparison between the mutants and ILT. ILT currents were digitized at 5 kHz and filtered at 2 kHz. All other currents were digitized at 20 kHz and filtered at 8 kHz. The number of patches used for each mutant is as follows: nine for V369I, four for I372L, five for S376T, four for IT, three for IL, four for LT, and six for ILT.
|
|
Figure 9. Activation kinetics for single and double ILT mutants. Time constants were calculated from fits of single exponential functions to activation and deactivation time courses, as outlined in materials and methods. The number of patches for each mutant are as follows: 10 for ILT, 5 for Shaker, 5 for V369I, 4 for S376T, 4 for IT, 4 for I372L, 7 for IL, and 3 for LT. The solid lines represent fits of the time constant–voltage data for Shaker and ILT with the function τ = 1/(α + β), where α = α0e (zαF V/RT) and β = β0e (−zβF V/RT); τ is the time constant; α and β are the forward and backward rate constants, respectively; α0 and β0 are the 0 mV rate constants for the forward and backward rate constants, respectively; zα and zβ are the charge associated with the forward and backward rate constants, respectively; and V is the voltage. For Shaker, α0 = 2,800 s−1, zα = 0.32, β0 = 9 s−1, and zβ = 1.1. For ILT, α0 = 1 s−1, zα = 1.0, β0 = 70 s−1, and zβ = 0.8. The lines are shown to aid comparison of the mutants with Shaker and ILT. Shaker currents were digitized at 50 kHz and filtered at 10 kHz. All other currents were digitized at 20 kHz and filtered at 8 kHz. Each mutant has the same symbol as in Fig. 8.
|
|
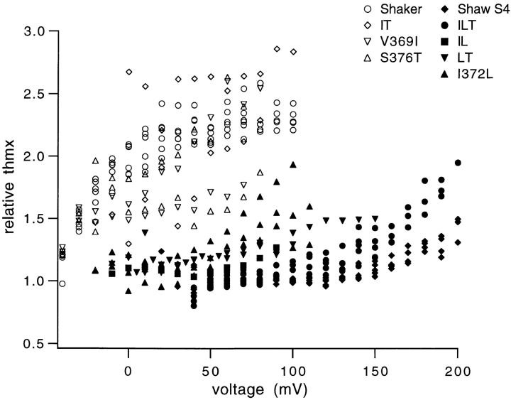
Figure 8. Sigmoidicity of single and double point mutants of ILT. The relative time to half maximum current (thmx) was plotted as a function of voltage. The number of patches for each mutant are as follows: six for Shaker, two for V369I, four for I372L, two for S376T, one for IL, four for LT, two for IT, six for ILT, and six for Shaw S4. All mutants containing the I372L substitution at position 372 are represented by filled symbols. All other channels, including Shaker, are represented by open symbols.
|
|
Figure 5. Kinetic models for ILT. (left) Schematic representations of two kinetic models designed to describe the functional behavior of ILT are shown. The parameters used to generate the 15-state model for ILT are based on a model described for Shaker potassium channels (see Fig. 7 and Table I in Zagotta et al., 1994a). The 0-mV rate constants and the associated equivalent charge for the final step in activation of both Shaker and ILT are given in Table II. For the simplified two-state model, the rates used to describe the opening and closing transitions, ko and kc, are identical to those used for the final step between the last closed state and the open state in the 15-state model for ILT. (right) Current simulations for ILT from the 15- and 2-state models are superimposed for direct comparison. Currents were simulated at the voltages indicated, from a holding potential of −80 mV. The traces on the bottom result from scaling the simulated currents for each of the two models for ILT as described in materials and methods to highlight the difference in sigmoidal behavior predicted by the two models.
|
|
Figure 6. Comparison of 15-state ILT model predictions with ILT mutant data. (A) Voltage protocols similar to those used for the ILT mutant channels were used to simulate currents for analysis. Isochronal values of currents simulated by the model were measured at 0 mV after 300-ms positive voltage steps to activate the channel. The values from the simulated currents are normalized to the maximum value and plotted with data from the ILT mutant, replotted from Fig. 4 A. (B) Time constants were determined from the simulated currents with single exponential fits to activation and deactivation kinetics as outlined in materials and methods. Time constants for the simulations are plotted as a function of voltage along with results from the ILT mutant, which are replotted from Fig. 4 B. (C) Simulated currents were scaled for analysis of sigmoidicity as outlined in materials and methods. The relative time to half maximum current, thmx, is plotted with the results of analysis of the ILT mutant, replotted from Fig. 4 C.
|
|
Figure 10. Models for I372L mutant are compared. Three different models are presented. Like the ILT model, the I372L models modify only the final step in the activation pathway of the 15-state Shaker model (see Fig. 7 and Table I in Zagotta et al., 1994a), with the values for all preceding transitions held identical to those used for Shaker. Values for the forward (ko(0)) and backward (kc(0)) 0-mV rate constants for the final step are given at the top of the figure and in Table II, and are the same for all three models. The models differ only by whether the charge associated with the last set of transitions is like that of Shaker or ILT. Charge associated with the forward (zo) and backward (zc) rate constants for each model is given (right). For Shaker, zo equals 0.32 and zc equals 1.1 while, for ILT, zo equals 1.00 and zc equals 0.80. Whether the equivalent charge used for the simulations is taken from Shaker or ILT is shown at the right. Normalized conductance–voltage curves were constructed from isochronal tail currents from the I372L mutant and from simulated currents, as outlined in materials and methods. Time constants were calculated from I372L mutant currents and from currents simulated by each model, as outlined in materials and methods. Data from four patches with the I372L mutant are shown. Analysis of the simulated currents is superimposed on analysis from the I372L mutant. Currents from the I372L mutant were digitized at 20 kHz and filtered at 8 kHz.
|