Click here to close
Hello! We notice that you are using Internet Explorer, which is not supported by Xenbase and may cause the site to display incorrectly.
We suggest using a current version of Chrome,
FireFox, or Safari.
J Gen Physiol
2005 Sep 01;1263:193-204. doi: 10.1085/jgp.200509292.
Show Gene links
Show Anatomy links
Functional architecture of the inner pore of a voltage-gated Ca2+ channel.
Zhen XG
,
Xie C
,
Fitzmaurice A
,
Schoonover CE
,
Orenstein ET
,
Yang J
.
???displayArticle.abstract???
The inner pore of voltage-gated Ca2+ channels (VGCCs) is functionally important, but little is known about the architecture of this region. In K+ channels, this part of the pore is formed by the S6/M2 transmembrane segments from four symmetrically arranged subunits. The Ca2+ channel pore, however, is formed by four asymmetric domains of the same (alpha1) subunit. Here we investigated the architecture of the inner pore of P/Q-type Ca2+ channels using the substituted-cysteine accessibility method. Many positions in the S6 segments of all four repeats of the alpha1 subunit (Ca(v)2.1) were modified by internal methanethiosulfonate ethyltrimethylammonium (MTSET). However, the pattern of modification does not fit any known sequence alignment with K+ channels. In IIS6, five consecutive positions showed clear modification, suggesting a likely aqueous crevice and a loose packing between S6 and S5 segments, a notion further supported by the observation that some S5 positions were also accessible to internal MTSET. These results indicate that the inner pore of VGCCs is indeed formed by the S6 segments but is different from that of K+ channels. Interestingly some residues in IIIS6 and IVS6 whose mutations in L-type Ca2+ channels affect the binding of dihydropyridines and phenylalkylamines and are thought to face the pore appeared not to react with internal MTSET. Probing with qBBr, a rigid thiol-reactive agent with a dimension of 12 angstroms x 10 angstroms x 6 angstroms suggests that the inner pore can open to >10 angstroms. This work provides an impetus for future studies on ion permeation, gating, and drug binding of VGCCs.
???displayArticle.pubmedLink???
16129770
???displayArticle.pmcLink???PMC2266581 ???displayArticle.link???J Gen Physiol ???displayArticle.grants???[+]
Figure 1. Construction of a control channel nonreactive to internal MTSET. (A) Putative transmembrane topology of the α1 subunit of a voltage-gated Ca2+ channel. Black dots show the location of the endogenous cysteines that were substituted with alanines. (B and D) Time course of inhibition of the wild-type channel (B) and control channel (D) by 4 mM internal MTSET. Current was evoked from a holding potential of −80 mV every 6 s by a 500-ms depolarization to +30 mV. (C and E) Exemplar current traces of the wild-type channel (C) and control channel (E) taken immediately before (a) and after (b) MTSET application and immediately before (c) and after (d) washout of MTSET, as indicated in B and D.
Figure 2. Amino acid sequences and schematic topology. (A) Amino acid sequence of S6 and S5 segments in the four repeats of the Cav2.1 subunit. Amino acid numbers are given on both sides. The numeration of residues in each repeat defined in this study is shown on the top and bottom. Position 0 presumably represents the membrane/cytoplasm interface. (B). Schematic topology of the S5 and S6 segments and the P-loop of two repeats.
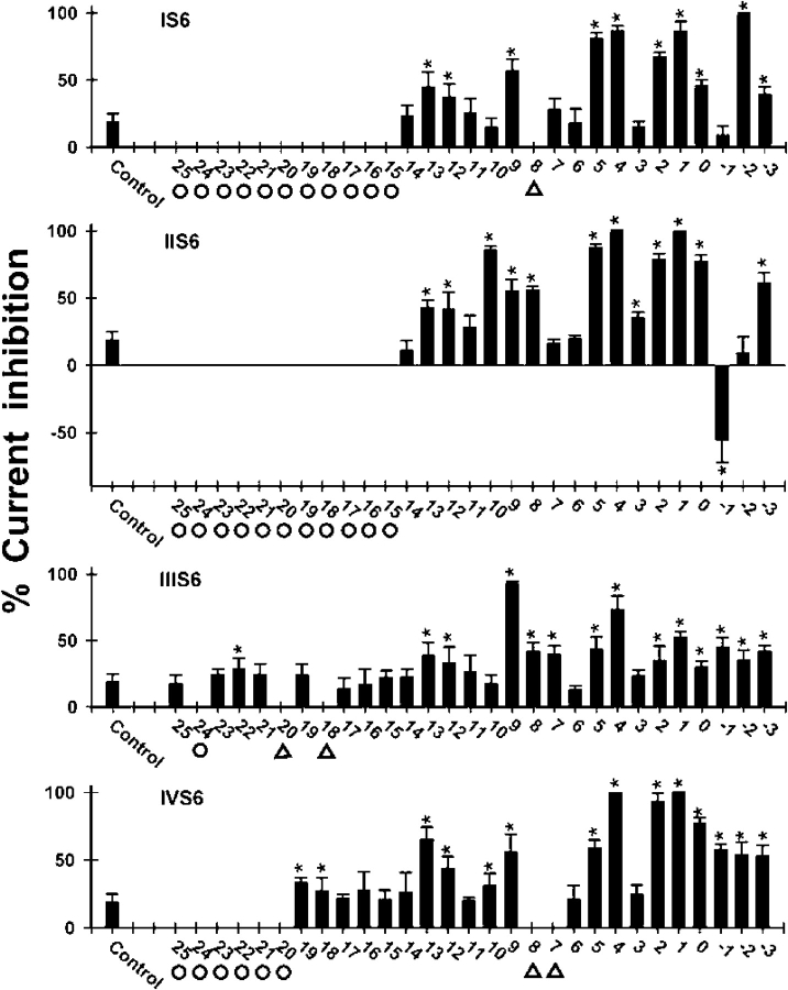
Figure 3. Summary of the effect of MTSET on S6 mutant channels. Bars represent current inhibition by 4 mM internal MTSET on the control channel (n = 20) and S6 cysteine mutant channels (n = 3–15). Stars indicate mutant channels that were significantly inhibited compared with the control channel (P < 0.05). Circles and triangles indicate, respectively, positions that were either not mutated or mutated but failed to produce functional channels. Original data are summarized in Tables I−IV. Experiment conditions were the same as in Fig. 4 A.
Figure 4. Examples of different effects of MTSET on cysteine mutant channels. (A) Time course of little inhibition of IS6-V3C by internal MTSET. 4 mM MTSET was applied continuously for 2 min. Current was evoked from a holding potential of −80 mV every 6 s by a 500-ms depolarization to a voltage that gives >70% channel open probability. (B and C) Time course of partial inhibition of IIIS6-P13C (B) and complete inhibition of IIS6-V1C (C) by internal MTSET. Experiment conditions were the same as in A.
Figure 5. Helical wheel representation of MTSET modification of S6 positions. The effect of internal MTSET on the cysteine mutant channels (position 1–14) for each S6 segment is shown in an α-helix wheel. Filled circles indicate positions that were modified by MTSET and open circles indicate those that were not modified. Cysteine mutant channels that had no function are shown in little black dots.
Figure 6. Gating is not changed after modification by MTSET. (A) Time course of inhibition of a representative mutant channel, IS6-L2C, by 4 mM internal MTSET. (B) Voltage dependence of activation of IS6-L2C before (filled circle) and after (open circle) MTSET application (n = 6).
Figure 7. Summary of the effect of MTSET on S5 mutant channels. Bars represent current inhibition by 4 mM internal MTSET on S5 cysteine mutant channels (n = 3–8). Stars indicate the mutant channels that were significantly inhibited compared with the control channel (P < 0.05). Mutants bearing the cysteine mutation in positions 5 and 13 in IIIS5 failed to produce functional channels.
Figure 8. Effect of qBBr on the control channel and two S6 mutant channels. (A) Time course of inhibition of IIIS6-V9C by 4 mM internal qBBr. (B) Bars represent current inhibition of the control and mutant channels by 4 mM qBBr applied to the intracellular side for 8 min. Steady-state inhibition was not reached due to the slow modification.
Figure 9. Inhibition of divalent and monovalent current by MTSET. (A and B) Time course of inhibition of monovalent (K+) current (A) and divalent (Ba2+) current (B) of IIS6-A4C by internal MTSET. (C) Bar graph summarizing the degree of inhibition of monovalent and divalent current. (D and E) Exemplar monovalent (D) and divalent current traces (E) during MTSET inhibition. Monovalent current was evoked from a holding potential of −100 mV every 6 s by a 500-ms depolarization to −30 mV. Divalent current was evoked by the same voltage protocol as in Fig. 1 B. (F) Absence of endogenous monovalent current from uninjected oocytes at −30 mV (top traces) and all voltages from −80 to +60 mV (bottom traces, currents were evoked from a holding potential of −100 mV every 3 s by 10-ms depolarizations from −80 to +60 mV in 10-mV increments, followed by a 50-ms repolarization to −80 mV).
Figure 10. Amino acid sequence alignment of IIIS6 and IVS6 of Cav2.1 with those of Cav1.2. The bold and underlined residues in IIIS6 and IVS6 of Cav1.2 represent residues whose mutations affect the binding of DHPs and PAAs, respectively. Stars indicate MTSET-reactive residues in Cav2.1.
Akabas,
Identification of acetylcholine receptor channel-lining residues in the entire M2 segment of the alpha subunit.
1994, Pubmed,
Xenbase
Akabas,
Identification of acetylcholine receptor channel-lining residues in the entire M2 segment of the alpha subunit.
1994,
Pubmed
,
Xenbase
Akabas,
Acetylcholine receptor channel structure probed in cysteine-substitution mutants.
1992,
Pubmed
,
Xenbase
Catterall,
Structure and regulation of voltage-gated Ca2+ channels.
2000,
Pubmed
del Camino,
Tight steric closure at the intracellular activation gate of a voltage-gated K(+) channel.
2001,
Pubmed
Doyle,
The structure of the potassium channel: molecular basis of K+ conduction and selectivity.
1998,
Pubmed
Ellinor,
Ca2+ channel selectivity at a single locus for high-affinity Ca2+ interactions.
1995,
Pubmed
,
Xenbase
Flynn,
Conformational changes in S6 coupled to the opening of cyclic nucleotide-gated channels.
2001,
Pubmed
,
Xenbase
Hering,
Molecular determinants of inactivation in voltage-gated Ca2+ channels.
2000,
Pubmed
Hockerman,
Molecular determinants of high affinity phenylalkylamine block of L-type calcium channels in transmembrane segment IIIS6 and the pore region of the alpha1 subunit.
1997,
Pubmed
Hockerman,
Molecular determinants of drug binding and action on L-type calcium channels.
1997,
Pubmed
Hockerman,
Molecular determinants of high affinity phenylalkylamine block of L-type calcium channels.
1995,
Pubmed
Huber,
Conserved Ca2+-antagonist-binding properties and putative folding structure of a recombinant high-affinity dihydropyridine-binding domain.
2000,
Pubmed
Jiang,
The principle of gating charge movement in a voltage-dependent K+ channel.
2003,
Pubmed
Jiang,
Crystal structure and mechanism of a calcium-gated potassium channel.
2002,
Pubmed
Jiang,
The open pore conformation of potassium channels.
2002,
Pubmed
Jiang,
X-ray structure of a voltage-dependent K+ channel.
2003,
Pubmed
Kalasz,
Identification of 1,4-dihydropyridine binding domains within the primary structure of the alpha 1 subunit of the skeletal muscle L-type calcium channel.
1993,
Pubmed
Karlin,
Substituted-cysteine accessibility method.
1998,
Pubmed
Kim,
Structural determinants of ion selectivity in brain calcium channel.
1993,
Pubmed
,
Xenbase
Kuo,
Crystal structure of the potassium channel KirBac1.1 in the closed state.
2003,
Pubmed
Lipkind,
Molecular modeling of interactions of dihydropyridines and phenylalkylamines with the inner pore of the L-type Ca2+ channel.
2003,
Pubmed
Liu,
Change of pore helix conformational state upon opening of cyclic nucleotide-gated channels.
2000,
Pubmed
,
Xenbase
Liu,
Gated access to the pore of a voltage-dependent K+ channel.
1997,
Pubmed
Loussouarn,
Flexibility of the Kir6.2 inward rectifier K(+) channel pore.
2001,
Pubmed
Lu,
Architecture of a K+ channel inner pore revealed by stoichiometric covalent modification.
1999,
Pubmed
,
Xenbase
Lu,
Cytoplasmic amino and carboxyl domains form a wide intracellular vestibule in an inwardly rectifying potassium channel.
1999,
Pubmed
,
Xenbase
McCleskey,
The Ca channel in skeletal muscle is a large pore.
1985,
Pubmed
Mikami,
Primary structure and functional expression of the cardiac dihydropyridine-sensitive calcium channel.
1989,
Pubmed
,
Xenbase
Nakayama,
Identification of 1,4-dihydropyridine binding regions within the alpha 1 subunit of skeletal muscle Ca2+ channels by photoaffinity labeling with diazipine.
1991,
Pubmed
Peterson,
Molecular determinants of high affinity dihydropyridine binding in L-type calcium channels.
1996,
Pubmed
Peterson,
Analysis of the dihydropyridine receptor site of L-type calcium channels by alanine-scanning mutagenesis.
1997,
Pubmed
Stotz,
Structural determinants of fast inactivation of high voltage-activated Ca(2+) channels.
2001,
Pubmed
Striessnig,
Dihydropyridine receptor of L-type Ca2+ channels: identification of binding domains for [3H](+)-PN200-110 and [3H]azidopine within the alpha 1 subunit.
1991,
Pubmed
Tang,
Molecular localization of ion selectivity sites within the pore of a human L-type cardiac calcium channel.
1993,
Pubmed
Wu,
Dual regulation of voltage-gated calcium channels by PtdIns(4,5)P2.
2002,
Pubmed
,
Xenbase
Wu,
Side chain orientation in the selectivity filter of a voltage-gated Ca2+ channel.
2000,
Pubmed
,
Xenbase
Xiao,
Localization of PIP2 activation gate in inward rectifier K+ channels.
2003,
Pubmed
,
Xenbase
Xie,
Localization of the activation gate of a voltage-gated Ca2+ channel.
2005,
Pubmed
,
Xenbase
Yang,
Evidence for voltage-dependent S4 movement in sodium channels.
1995,
Pubmed
Yang,
Molecular determinants of Ca2+ selectivity and ion permeation in L-type Ca2+ channels.
1993,
Pubmed
,
Xenbase
Zhorov,
Homology model of dihydropyridine receptor: implications for L-type Ca(2+) channel modulation by agonists and antagonists.
2001,
Pubmed