|
Figure 1. Behavior of locked channels portrays protein flexibility. Single rod CNG channels were activated by locking one, two, three, and four ligands into the cytoplasmic binding sites. Long sweeps of 2-s each illustrate the variety of behaviors the channel undergoes in the absence of binding and unbinding events. Most obvious are bursting behavior (two and three ligands), transient and sustained openings (three ligands), and very long-lived openings (four ligands). Openings to three conductance states are also apparent even on this long time scale (e.g., two ligands). Single channels were recorded at +50 mV. Data were from four different patches.
|
|
Figure 2. Subconductance states are most prominent in triply liganded channels. (A) The behavior of a single channel with three ligands covalently attached is shown (consecutive traces, 512-ms each). Horizontal lines at the right of each trace indicate the mean amplitudes of each conductance state (from bottom to top): 0 (closed), 0.6 (O1 state), 0.9 (O2 state), and 1.45 (O3 state) pA. Note that this channel opened mostly to the O2 conductance state, but O1 and O3 states are also easily distinguished. Record was filtered at 1 kHz. (B) The same data (section of A between the asterisks) filtered at 5 kHz is shown for better resolution of fast events. Horizontal lines indicating approximate mean current amplitudes for the three conducting levels were drawn by eye. Clearly, sustained openings to subconducting states (O1 and O2, as indicated) were more common than fast events that were cut off by filtering at 1 kHz.
|
|
Figure 3. A single channel activated by free cGMP exhibits features similar to those observed in locked channels. Recording conditions were the same as above, except no ligands were locked on this channel. Instead, cGMP was added to the control solution. Bursting is apparent at low cGMP concentrations. Both transient and long-lived openings occurred. Very long openings (*) occurred in saturating cGMP concentrations. The channel opened to three conductance states: the inset shows 200 ms at 100 μM cGMP; horizontal ticks at right indicate closed and three open states: 0 (closed), 0.7 (O1 state), 1.0 (O2 state), 1.3 (O3 state) pA.
|
|
Figure 4. Amplitude histograms show locked channels open to multiple conductance states. (A) Amplitudes are from lists of events compiled with multiple thresholds (see materials and methods). Probability density is plotted on the ordinate such that the total area of each histogram is equal to 1. The total time (after removing long closed times, see materials and methods) of channel activity is noted above each plot. At each level of liganding shown, four Gaussians were required to fit amplitude distributions. Partially liganded channels (top and middle) favored opening to subconductance states over opening to the fully open state. The fully liganded channel (bottom) opened mostly to the fully open state. Areas under the peaks (closed, O1, O2, O3) are: two ligands, 0.988, 0.007, 0.003, 0.002; three ligands, 0.492, 0.285, 0.140, 0.083; four ligands, 0.035, 0.029, 0.024, 0.908. The total number of events were: two ligands, 15,057 events; three ligands, 39,427 events; four ligands, 13,270 events. I/Imax values are calculated as the mean current from a locked channel divided by the maximum current measured in the same channel at a saturating concentration of cGMP. Variations in I/Imax ranged up to sixfold between partially liganded channels: doubly liganded (n = 3), 0.0097, 0.0032, 0.0018; triply liganded (n = 4), 0.33, 0.25, 0.058, 0.052. The two lower values for triply liganded channels were from patches that had persisted for several hours and were exhibiting numerous long closed periods; therefore, we considered the two higher values to be more reliable. (B) Amplitude histograms from simulated traces. Areas under the peaks (closed, O1, O2, O3) are: two ligands, 0.983, 0.009, 0.005, 0.003; three ligands, 0.570, 0.168, 0.171, 0.091; four ligands, 0.021, 0.008, 0.009, 0.961. The total number of events were: two ligands, 16,833 events; three ligands, 47,251 events; four ligands, 10,572 events. (C) All points histogram gives the same result as fitted events histograms. An all points histogram (dark line) was compiled for the same data as shown above (A) for the triply liganded channel (light line). Although the peaks are broader in the all points histogram, a similar fit with four Gaussians was required. Mean amplitudes and areas under the peaks (closed, O1, O2, O3) are: 0 pA, 0.752; 0.2 pA, 0.113; 0.7 pA, 0.091; 1.2 pA, 0.043. (D) Average amplitude histogram of five single channel patches activated by low concentrations of cGMP. At low levels of activation (average I/Imax = 0.03 [range 0.01 to 0.05], n = 5), subconductance states contribute significantly to the total current. Areas under the curves are: 0.008 (O1), 0.006 (O2), and 0.013 (O3). The total number of events was 8,104.
|
|
Figure 5. Occupancies of subconductance states exhibit a different ligand dependence than that of the fully open state. (A) Probabilities of opening to individual conducting states O1 (▾), O2 (▵), and O3 (•) are shown for each liganded state. The probabilities of occupying both subconducting states (O1 and O2) peaked with three ligands bound. In contrast, the occupancy of the fully open state (O3) peaked with all four ligands bound. (B) The probability of opening to all three conductance states in a single channel activated by free cGMP shows the same trend. Again, the occupancies of both subconducting states peaked at the same subsaturating concentration of cGMP (dotted line indicates the K1/2 value for this channel). The different proportions of openings to the O1 state observed in channels with four tethered ligands (A) and channels saturated with free cGMP (B) reflect variations among patches and are not correlated to covalent attachment of ligand. Similar results were obtained with three other channels.
|
|
Figure 6. Data from locked channels are consistent with the single channel cGMP dose–response relation. (A) Minimum model used to simulate a dose–response relation from locked channel data. Cyclic GMP (represented as G) binds to each of four sites on the closed channel (C) with microscopic dissociation constant Kd. In each liganded state, the overall opening of the channel (to state O) is described by a single equilibrium constant: Kunlig when no ligands are bound, and K1, K2, K3, and K4 with the indicated number of ligands bound. First the I/Imax values describing the opening of channels locked in each liganded state (see text and Ruiz and Karpen, 1997) were converted into apparent open probabilities by multiplying by 0.95, the probability that a fully liganded channel is open. Then, the channel opening equilibrium constants were calculated as Po/(1 − Po): Kunlig = 6.5 × 10−6, K1 = 9.1 × 10−6, K2 = 9.3 × 10−3, K3 = 0.46, and K4 = 19. The open probabilities of Liu et al. (1998) at each level of liganding, given in the text, were similarly converted to the following channel opening equilibrium constants: Kunlig = 1.2 × 10−4, K1 = 0.017, K2 = 0.19, K3 = 0.47, and K4 = 19. The only adjustable parameter, Kd, was assumed to be 100 μM. The open probability in the presence of different concentrations of free cGMP is predicted to be: Po = ([G]4K4 + 4[G]3 KdK3 + 6[G]2Kd2K2 + 4[G]Kd3K1 + Kd4Kunlig)/{[G]4(1 + K4) + 4[G]3Kd(1 + K3) + 6[G]2Kd2(1 + K2) + 4[G]Kd3(1 + K1) + Kd4 (1 + Kunlig)}. The fraction of maximal current through a single channel at different concentrations of cGMP is given by I/Imax = Po(1 + K4)/K4. This equation was used to simulate single channel dose–response relations. (B) Comparison of experimental and simulated single channel dose–response relations. • shows data from 16 single channel patches. cGMP concentrations are expressed relative to each channel's K1/2, the concentration that gave a half-maximal current (83–248 μM). This aligns the dose– response relations and allows the slopes to be compared. Simulated single channel relations were generated as described in A over a wide range of cGMP concentrations. To compare with experimental data, the cGMP concentrations in the simulated relations were also expressed relative to the K1/2 value for that simulation. The Hill equation: I/Imax = [G]n/([G]n + K1/2n), where n is the Hill coefficient, was fit to the experimental data and to simulated relations that did not exhibit pronounced curvature. The solid curve shows a simulation based on our locked channel data, the dashed curve is a simulation based on the data of Liu et al. (1998), and the dotted curve is a simulation based on the coupled dimer model of channel activation proposed by Liu et al. (1998). For the latter simulation, we used the values of the parameters given in that study, with the exception of KR, which was not given and is assumed here to be 4 μM. This yielded a K1/2 value very similar to that obtained in the other simulations.
|
|
Figure 7. The general allosteric model in which each subunit can undergo a single conformational change. A complete description is given in the text. The sequential (KNF) model is outlined in a diagonal box, and the concerted (MWC) model is enclosed in two vertical boxes. The total number of distinct states for each row are listed at the right.
|
|
Figure 8. Multiple exponentials were required to fit dwell-time distributions for every conductance state. The square root of the number of observations was plotted against the log10 of dwell intervals so that widely disparate times could be displayed. Only dwell times ≥2 Tr were included in the fits (see materials and methods). Maximum likelihood fits yielded exponentials that peak at the value of their time constants. Values for time constants, their fractional contributions, and the total number of events included in the fits for each distribution are given in Table II.
|
|
Figure 9. A similar connected state diagram can explain channel behavior in each liganded state. First, three conductance levels were always observed. Second, the shortest closed state always opened to all three conductance states. Third, the number of total states was similar at each liganding step. (A) Empirical connected state diagrams are superimposed for the three liganded states analyzed. The three short-lived open states (O1S, O2S, and O3S) are connected to long-lived open states differently for the doubly liganded channel (u, v, y, z) than for the triply and fully liganded channels (u′, v′, y′, z′). Dashed lines indicate transitions that are not observed at every level of liganding. For instance, the longest closed state (CLL) and the longest open state (O3LL) are observed only in the doubly and fully liganded states, respectively. Individual rate constants (a–zz) are given in Table III. (B) A plausible extension to the general allosteric model can account for the number of closed and open states in the empirical connected state diagram. Here, the last row (fully liganded channel) of the general allosteric model has been extended with four extra conformational states. These extra states arise from a putative change in the association of adjacent subunits that have bound cGMP and are in circle conformations. When two or three subunits are in circle conformations, one adjacent pair can alter their association, thereby giving rise to a long-lived subconductance state (O1L or O2L, respectively). When all four subunits are in circle conformations, one or both pairs can change their association, giving rise to O3L or O3LL. However, entrance into these long-lived states is dependent on the favorability of occupying the short open states.
|
|
Figure 10. Simulated traces (right) reproduce most aspects of channel behavior observed in traces from locked channels (left). Bursting behavior is evident with two ligands bound, openings to subconductance states are predominant with three ligands bound, and long, stable openings prevail when four ligands are bound. In addition, both transient and sustained events are evident at all levels of liganding.
|
|
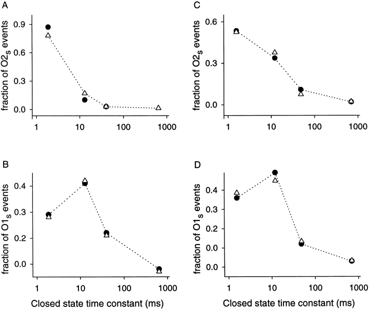
Figure 11. Adjacent state analysis indicates the most probable connections between states. (A) All closed events (≥2 Tr) adjacent to O2S were grouped as short and long events with ranges centered about the closed time constants (CLL, CL, CM, and CS). The proportions of O2S events that went to each closed state are plotted (•). The same analysis was done with all closed events that opened to the O2S states, and the proportions are plotted (▵), for comparison. (B) Adjacent state analysis is shown for all O1S events that go to the closed states (•). For comparison, the proportions of each closed state that opened to O1S are also plotted (▵). (C and D) Adjacent state analyses for simulated data show similar trends as those observed in real data (A and B).
|
|
Scheme II.
|
|
Scheme I.
|