|
Figure 3. The βG529S mutant is partially permeable to K+. (A and B) Current traces of ENaC wt (A) and the βG529S mutant (B) in 40 mM Na+ or 120 mM K+ solution from two-electrode voltage-clamp recordings in Xenopus oocytes. Currents were measured during 500-ms voltage steps from a holding potential of −20 mV to test potentials of −140 to +40 mV in 20-mV increments. Currents measured in the presence of amiloride were subtracted from currents measured in the absence of 300 μM amiloride, and these subtracted currents are shown. The dotted line indicates zero level of the amiloride-sensitive current. (C) The current–voltage relationship of amiloride-sensitive Na+ and K+ currents obtained as described above are shown for wt and βG529S. For each oocyte, the amiloride-sensitive current was normalized to the INa at −100 mV. INa at −100 mV was 7.8 ± 2.4 μA for wt .
|
|
Figure 1. Sequence alignment and structural model of the pore region of ENaC. (A) Linear model of an ENaC subunit showing two transmembrane domains, M1 and M2, with a pre-M2 segment. (B) Sequence alignment of the pre-M2 segments of α, β, γ, δ ENaC, the ASIC family, and FANaC (FMRFamide peptide–gated Na+ channel; Waldmann et al. 1995a) (Waldmann and Lazdunski 1998; Tavernarakis and Driscoll 1997). The number of the first residue shown of rat α, β, γ ENaC, human δ ENaC, rat ASIC1, and FANaC is indicated. The putative start of M2, as predicted by the PHDhtm (transmembrane helix location) program at EMBL-Heidelberg, is indicated. The amino acid residues shown are identical within subunits across the species. Amino acid residues shown in open boxes are conserved across all known genes of the ENaC family. Amino acids analyzed in this study are shown in white on a dark background. Amino acids whose function has been analyzed in previous studies are shown in bold on gray background. αS583 and the homologous amino acid residues βG525 and γG537 change channel affinity for amiloride block (Schild et al. 1997). αS589 is a determinant of the geometry of the narrowest part of the pore (Kellenberger et al. 1999). (C) The cross-section shows the pre-M2 segments and the second putative transmembrane α-helices (M2) of an α subunit (black, center), a β subunit (gray, on the left) and a γ subunit (dark gray, on the right). The second α subunit located on the side of the viewer (Firsov et al. 1998) is not shown. The outer vestibule is lined by the pre-M2 segment where amiloride binds to αS583 and the corresponding Gly residues in the β and γ subunit (Schild et al. 1997). The vestibule narrows down to the selectivity filter formed by αG587, βG529, and γS541 residues and the ring of Ser residues (αS589 and analogues; Kellenberger et al. 1999).
|
|
Figure 2. The macroscopic Li+/Na+ conductance ratio is decreased by mutations of homologous residues in α, β, and γ subunits. Current–voltage relationship of amiloride-sensitive currents in two-electrode voltage-clamp recordings from Xenopus oocytes. (A and B) Current traces of ENaC wt (A) and the γS541A mutant (B) in 40 mM Na+ or Li+ solution. Currents were measured during 500-ms voltage steps from a holding potential of −20 mV to test potentials of −140 to +40 mV in 20-mV increments. Currents measured in the presence of amiloride were subtracted from currents measured in the absence of 5 μM amiloride, and these subtracted currents are shown. The dotted line indicates zero level of the amiloride-sensitive current. (C) Current–voltage relationship in 40 mM Li+, 40 mM Na+, or 120 mM K+ bath solution from oocytes expressing wt, αG587A, βG529A, and γS541A mutant ENaC are shown. Recordings were obtained as described in A and B, with the exception that 250 μM amiloride was used to block βG529A currents. For each oocyte, the amiloride-sensitive current was normalized to the INa at −100 mV. INa at −100 mV was 13.9 ± 2.3 μA for wt .
|
|
Figure 4. Single-channel Li+ and Na+ currents of wt ENaC and the mutants αG587A, βG529A, and γS541A. Traces are from outside-out patches from Xenopus oocytes at a holding potential of −100 (wt, γS541A) or −120 (αG587A, βG529A) mV at 100 mM external Na+ or 140 mM external Li+. The outside-out configuration was chosen to verify amiloride sensitivity of channel activity.
|
|
Figure 5. Amiloride-sensitive currents in macropatches from oocytes expressing the βG529S mutant. Subsequent application of extracellular Na+ and Li+ solution with and without 250 μM amiloride to an outside-out patch from an oocyte expressing βG529S ENaC. The holding potential was −80 mV.
|
|
Figure 6. Ion concentration dependence of unitary currents of ENaC wt and βG529A. Single-channel recordings from outside-out patches from Xenopus oocytes at holding potentials of −130 (wt) or −150 (βG529A) mV in either Na+ or Li+ solutions. The numbers on the left side of the traces indicate the extracellular concentration of the permeant ion. Pipette solution was CsF/N-methyl-d-glucamine (see methods).
|
|
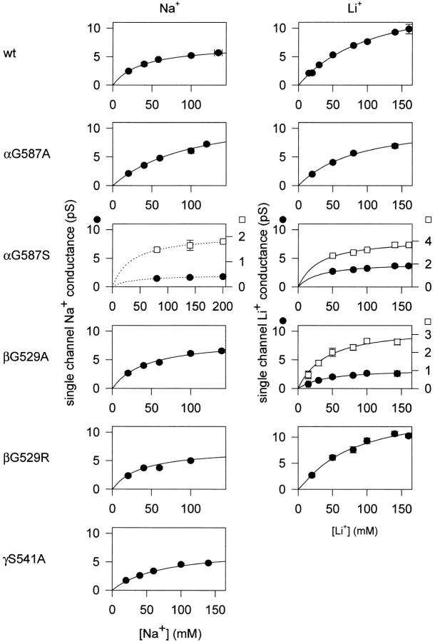
Figure 7. Saturation of single-channel conductance with increasing concentration of the permeant ion. Single-channel conductance from outside-out patches from oocytes is plotted versus the extracellular Na+ or Li+ concentration. Conductance was measured from a linear fit to single-channel currents at −70, −100, and −130 mV (wt, αG587A, βG529R) or −90, −120, and −150 mV (βG529A, γS541A). Each data point is from at least three different patches. In many cases, the error bars (SEM) are not visible because they are smaller than the symbol. Solid lines are the predictions by the energy barrier models (Table and Fig. 9). For Na+ permeation through αG587S, the dotted lines represent a fit to the Michaelis-Menten equation. For some mutants, conductance is also shown (□) on an expanded scale, indicated on the right hand ordinate.
|
|
Figure 8. Block of Na+ current through γS541A ENaC by increasing concentrations of external Li+. Data are from outside-out macropatch recordings at a holding potential of −150 mV from Xenopus oocytes expressing γS541A. The bath solution contained 20 mM Na+ and increasing concentrations of Li+. The amiloride-sensitive currents were normalized to the condition without Li+ yielded an apparent Ki of 28 mM and is shown as a solid line. The prediction by the 3B2S model (see Table and methods) is shown as a dotted line.
|
|
Figure 9. Energy barrier models of Na+ and Li+ permeation through open wt or mutant ENaC. (A) Parameters of the 3B2S model are represented and include: peak energies (G1-G3), well energies (U1, U2), and electrical distances (D1–D6). (B) Energy diagrams are drawn according to best-fit parameter values for the 3B2S model listed in Table . Profiles for wt (solid line), βG529A (dotted line), and γS541A (dashed line) are shown. (C) The ΔG changes relative to wt (Δ[ΔGmutant − ΔGwt]) of G2 and U2, the free parameters in the model fitting, are shown for αG587A, βG529A, and γS541A.
|