|
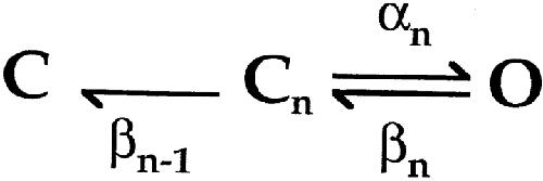
Scheme S1.
|
|
Scheme S2.
|
|
Scheme S3.
|
|
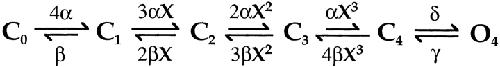
Scheme S4.
|
|
Scheme S5.
|
|
Scheme S6.
|
|
Scheme S7.
|
|
Scheme S8.
|
|
Scheme S9.
|
|
Figure 1. Delay in IK activation. (A1) IK evoked by a voltage pulse to +160 mV from a holding potential of −80 mV at 20°C, representing the average response to 110 pulses. The time course of activation and deactivation are fit by exponential functions (dashed lines). (A2) The record from A1 is plotted on an expanded time scale, showing a delay before IK achieves an exponential time course (dashed line). The delay duration (Δt) is defined as the time where the exponential fit intersects the time axis, and was determined after shifting the IK trace along the time axis by −25 μs to correct for instrumentation delay (see methods). (B1) A family of IK evoked at 5°C in response to 70-ms voltage pulses (+80 to +200 mV in 20-mV steps). Exponential fits (solid lines) are superimposed on the current traces. (B2) The initial activation of IK from B1 exhibits a clear delay. An arrow indicates the start of the voltage pulse. A capacitive transient (control) evoked in response to a pulse to −180 mV was recorded using fast capacity compensation, but no leak subtraction, demonstrating that membrane voltage settles rapidly.
|
|
Figure 2. Kinetics of IK delay. (A1) IK evoked at +180 mV (7°C) is compared with the prediction of a Hodgkin-Huxley model (Scheme III: α = 375 s−1, β = 660 s−1) that approximates the delay in IK (A2), but does not reproduce the subsequent time course of activation. Fig. 5 fits both the delay and activation time course (α = 2,018 s−1, β = 1,172 s−1, δ = 341 s−1, γ = 136 s−1). Both models were constrained to reproduce the steady state open probability measured at the end of the pulse (Po ≅ GK/GKmax = 0.29) and assume channels occupy the first closed state (C0) at the start of the pulse. The derivative of the trace in A [d(IK)/dt] is plotted on linear (B1) and log–log (B2) scales and is fit by a function (1 − e−t/τ)n, where n = 4 and τ = 270 μs (B1 and B2, solid line). A better fit is obtained with n = 2.9 and τ = 316 μs (B2, solid line). The predictions of sequential gating Fig. 5 and Fig. 6 are indicated by dashed lines. (Scheme VI: X = 3, α = 600 s−1, β = 349 s−1,δ = 341 s−1, γ = 136 s−1). Current traces were shifted along the time axis by −25 μs to correct for the instrumentation delay (see methods).
|
|
Figure 3. Voltage dependence of IK delay. (A) The initial time course of IK activation measured at +180 mV from the same patch as Fig. 2 shows a decreased delay following a 1-ms prepulse to various voltages (−80, 0, 40, 80, 100, and 120 mV). To accurately represent the time course of channel opening, currents during the prepulse were scaled by a factor IK(+180)/IK(Vpre) representing the ratio of single channel current amplitudes measured at the test and prepulse voltages. (B) A family of IK evoked at different voltages (+120 to +240 in 20-mV steps, holding potential = −80) are fit with exponential functions (dashed lines), demonstrating a voltage-dependent change in delay. (C) Delay duration (Δt) is plotted versus pulse voltage for two experiments. The plots are fit by functions of the form Δt = 1/(a + b) with a=ao*ezaekt,b=bo*ezbekt(za = +0.28 e, zb = −0.28 e ; (▴) ao = 124 s−1, bo = 4,767 s−1; (•) ao = 98 s−1, bo = 3,902 s−1). The delay was not well determined at the lowest voltages; therefore, fits were constrained with the simplifying assumption za = zb. (D) The average Δt–V relationship (mean ± SEM, n = 6), was obtained after first normalizing individual plots (see text) to mean Δt measured from +180 to +195 mV. The data are fit by the above function (solid line, za = +0.28 e; zb = −0.28 e ; ao = 119 s−1, bo = 4,240 s−1) and reproduced by Fig. 5 [dashed line: zα = +0.28 e, α(0) = 244 s−1, zβ = −0.28 e, β(0) = 8,670 s−1, zδ = 0.155 e, δ(0) = 49.4 s−1, zγ = −0.155 e, γ(0) = 134 s−1]. The rate constants in Fig. 5 that describe voltage sensor movement (α, β) are 2.05-fold greater than (a, b) at all voltages. Thus Δt = 1/(a + b) is proportional the voltage-sensor time constant τ = 1/(α + β). The parameters that describe the C–O transition in Fig. 5 (δ, zδ, γ, zγ), were adjusted to fit the Po–V relationship (see Fig. 6 B) and to reproduce the time course of IK activation at the peak of the Δt–V relationship (+153 mV).
|
|
Figure 4. The voltage-dependence of IK relaxation. (A) Activation and (B–D) deactivation kinetics measured at 5°C are fit by exponential functions (solid lines). IK was activated in response to voltages from +100 to +240 mV. Deactivation was measured at the indicated voltages after a 50-ms depolarization to +120 mV.
|
|
Figure 5. The voltage dependence of τ(IK). (A) Time constants [τ(IK)] from the fits in Fig. 4A and Fig. B, are plotted versus voltage and fit (dashed line) by two exponential functions with the indicated equivalent charge (z). The prediction of a two-state model [τ(IK) = 1/(a + b), a=ao*ezaekt,b=bo*ezbekt] is indicated by a solid line (za = 0.37 e, zb = 0.67 e ; ao = 4.86 s−1, bo = 1,323 s−1). (B) τ(IK) is plotted on a log scale versus voltage for all the records in Fig. 4. Data were shifted along the voltage axis by ΔVh = +5.6 mV (see methods). Three regions of exponential voltage dependence are shown by dashed lines with the indicated equivalent charges (z). A solid curve indicates a fit to Fig. 9 (Table , Patch 1). (C) τ(IK)–V plots obtained from multiple experiments at 5° and 20°C (○) were normalized to mean τ(IK) at −80 mV, and then averaged in 15-mV bins (•). Solid curves indicate fits of Fig. 9 to the averaged data (Table : average 5° and 20°C). The dashed curve represents a fit of Fig. 8 to the average 5°C data for V < +100 mV (zβ1 = −0.45 e, β1(0) = 2,400 s−1, zβ2 = −0.14 e, β2(0) = 700 s−1, zα2 = −0.26 e, α2(0) = 300 s−1).
|
|
Figure 6. Steady state activation. (A) A family of IK evoked in response to 20-ms depolarizations (+80 to +280 in 20-mV steps, holding potential = −80, 20°C). GK(V) was determined by measuring the tail current amplitude at −80 mV immediately after each pulse. (B) The GK–V relationships from 23 experiments (○) were normalized by GKmax and shifted along the voltage axis to align half-activation voltages (see methods). The average G–V (•) represents the mean ± SEM of the normalized-shifted data determined over 15-mV intervals. A Boltzmann function raised to a power of 3.2 (z = 0.69 e, solid line) represents the best fit to the individual data, excluding experiments where Vmax < 240 mV. GKmax could not be directly determined for the excluded experiments; therefore, these data were normalized based on the Boltzmann3.2 fit. Dashed lines indicate predictions of Fig. 5 [∈ = δ/γ, ∈(0) = 0.367, z∈ = 0.295 e, zJ = 0.55 e, Vh(J) = 145] and Fig. 9 [L(0) = 2 e−6, zL = 0.4 e, zJ = 0.55 e, Vh(J) = 145, D = 17]. (C) The data are replotted on a semi-log scale together with the Boltzmann3.2 fit (solid line). The maximum voltage dependence of G–V is indicated by a dashed line (z = 2.0 e). (D) Single channel currents were recorded at the indicated voltages and filtered at 20 kHz. The corresponding all-points histograms are plotted on a semi-log scale (points versus picoamperes). (E) Normalized open probability (Po/Pomax, see text) determined from single channel currents is plotted versus voltage for several experiments in 0 Ca2+ (filled symbols) or 4.5 μM Ca2+ (open symbols). The dashed line indicates the maximum voltage dependence of the macroscopic G–V from C. (F) The normalized Po–V relationship from −120 to +300 mV combines the macroscopic and single channel data. Filled symbols indicate averages (mean ± SEM, 15-mV bin width), while open symbols represent data from individual experiments. Predictions of Fig. 5 (dashed line) and IX (solid line) are the same as in B.
|
|
Figure 11. Interaction between voltage sensors and channel gating. Cartoons illustrate two hypothetical mechanisms of coupling between voltage-sensor movement and channel opening. Voltage sensors in each subunit are shown to undergo a transition between resting (−) and activated (+) conformations. For simplicity, only states with all four voltage sensors in the same conformation are shown. The independent transitions of voltage sensors are abbreviated by dashed arrows. (A) A direct coupling mechanism assumes there exists a direct physical link between voltage sensor and a gate that controls the flow of ions through the pore. Such a mechanism does not allow channels to open unless voltage sensors are activated. (B) An allosteric mechanism assumes that channel opening involves a quaternary rearrangement of subunits that alters subunit–subunit interactions (indicated by shaded areas between subunits). Voltage-sensor activation is also assumed to affect subunit–subunit interaction, and is shown here as stabilizing the closed state when voltage sensors are in the (−) conformation.
|
|
Figure 7. Allosteric model: IK kinetics. Fig. 9 was used to fit the time course of mSlo IK (solid lines; Table : Patch 2, ΔVh = −11.3 mV). (A1 and A2) IK evoked at +180 mV at 7°C (from Fig. 2 A). (B) d(IK)/dt is plotted on a log–log scale (from Fig. 2 B2). (C) The Cole-Moore shift (from Fig. 3 A).
|
|
Figure 8. Allosteric model: voltage dependence of IK kinetics. (A) The initial time course of IK activation at different voltages (from Fig. 3 B, 5°C) are fit by Fig. 9 (Table : Patch 1, ΔVh = +5.6 mV). (B) The average Δt–V relationship (from Fig. 3 D) is compared with the prediction of Fig. 9 for Δt (solid line) and the time constant of voltage-sensor movement τJ = 1/(α + β) (dashed line). (Table : average 5°C). (C) Fig. 9 (dashed lines; Table : Patch 1, ΔVh = +5.6 mV) predicts a delay in tail currents measured from 0 to −160 mV (from Fig. 4 C). (D) Tail currents and Fig. 9 predictions (solid line) at −40 and −360 mV show initial deviation from an exponential fit (dashed lines, from Fig. 4C and Fig. D) at −40 mV, but not at −360 mV. Thus, a tail current delay is observed, but not at very negative voltages.
|
|
Figure 9. Effect of S4 mutation. GK–V relationships for mSlo WT and S4 mutant R207Q in 0 Ca2+ were obtained using both macroscopic and single channel currents as in Fig. 6 and are plotted on linear (A) and semi-log (B) scales. Fig. 9 was used to fit both relationships (solid lines). Parameters are the same as in Fig. 6 [L(0) = 2 e−6, zL = 0.4 e, zJ = 0.55 e, D = 17], except Vh(J) = −100 mV for R207Q, while Vh(J) = 145 mV for WT.
|
|
Figure 10. Properties of the allosteric voltage-gating scheme. (A) The τ(IK)–V relationship determined by simulating Fig. 9 (•; Table : average 5°C) can be reproduced by an analytical approximation (solid line) that assumes horizontal transitions are equilibrated. The voltage dependence of time constants for individual C–O transitions are also plotted (τi = [δi + γi)−1]. (B) Po–V relationships predicted by Fig. 9 (solid lines) are plotted on a semi-log scale as the allosteric factor D is adjusted [with zL = 0.4 e, zJ = 0.55 e, Vh(J) = 145]. The equilibrium constant L was adjusted together with D such that the half-activation voltage remained constant (for D = 5–160: L = 2.18 e−4, 1.57 e−5, 1.05 e−6, 6.80 e−8, 4.33 e−9, and 2.72 e−10). A dashed line indicates the prediction of sequential Fig. 5 (from Fig. 6).
|