|
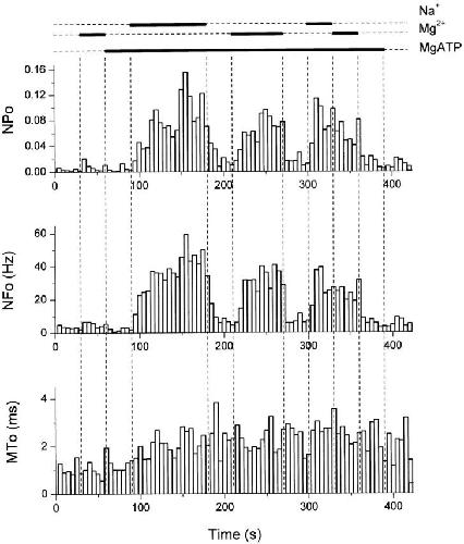
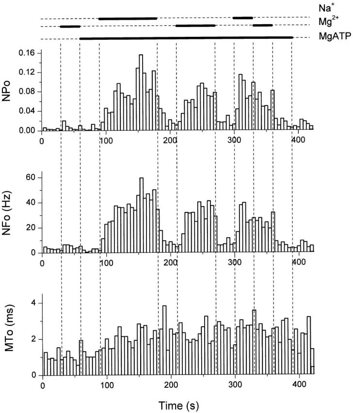
Figure 3. Mg2+ ions gate the ATP-modified GIRK channels. NPo, NFo, and MTo plots (bin = 5 s) of GIRK channel activity in an inside-out patch excised from an oocyte expressing GIRK1/GIRK4. 10 mM Mg2+, 2.5 mM MgATP, and 20 mM Na+ were applied via the bath as indicated by the bars. The membrane was clamped at −80 mV and 5 μM acetylcholine was present in the pipette. NPo, NFo, and MTo in 10 mM Mg2+ were calculated such that the amplitude levels were set to match the reduced amplitude of the channel openings in 10 mM Mg2+.
|
|
Figure 1. Impairment of G protein signaling does not affect the activation of KACh by MgATP and Na+. (A) Single channel activity (top; NPo, bin = 5 s) plotted as a function of time. The data were obtained from an inside-out patch excised from an atrial cell. The KACh channel was stimulated by maintaining the membrane at −80 mV and by the presence of 5 μM acetylcholine in the pipette. 10 μM GTPγS, 50 μM QEHA, and 5/20 mM MgATP/Na+ were applied for the duration indicated by the bars. Sample single-channel currents in each condition at the time marked by the arrows are shown under the plot (bottom). (B) NPo plot of KACh channel activity (top, bin = 5 s) in an inside-out patch from an oocyte expressing the human GIRK1/GIRK4 and the construct βARK-PH. The membrane was clamped at −80 mV and 5 μM acetylcholine was present in the pipette. Application of 10 μM GTPγS and 5/20 mM MgATP/Na+ are illustrated by the bars. Labeled arrows correspond to the sample single-channel currents shown under the plot (bottom).
|
|
Figure 2. Na+ ions gate GIRK channels after activation by G protein βγ subunits. (A) Single-channel activity (NPo, bin = 5 s) plotted as a function of time. The data were obtained from an inside-out patch excised from an oocyte expressing the recombinant channel GIRK1/GIRK4. 20 mM Na+ and 10 μM GTPγS were applied as indicated by the bars. The membrane was clamped at −80 mV and 5 μM acetylcholine was in the pipette solution. (B) The mean NPo for seven patches is plotted for different conditions. Steady state channel activity after activation by GTPγS was taken as reference (GTPγS) and NPo were normalized to it. Na+ concentration was 20 mM and GTPγS was 10 μM. GTPγS+Na+ corresponds to the application of 20 mM Na+ after the washout of the GTP analogue. SEM are indicated by the vertical bars. The normalized mean NPo was 0.057 ± 0.018 (mean ± SEM) in control solution, 0.277 ± 0.095 in the presence of 20 mM Na+ ions, 1 after the application of 10 μM GTPγS, and 4.21 ± 0.59 in the presence of 20 mM Na+ ions after channel activation by GTPγS. (C) NPo vs. time plot for the channel activity recorded in an inside-out patch from an oocyte expressing GIRK1/GIRK4. 20 mM Na+ and 20 nM β1γ7 purified subunits were applied via the bath as indicated by the bars. Vm = −80 mV. 5 μM acetylcholine was present in the pipette. (D) The mean NPo for nine patches are plotted for different conditions. Steady state channel activity after β1γ7 activation (after β1γ7 washout) was taken as reference and NPo was normalized to it. Na+ concentration was 20 mM and β1γ7 was 20 nM. βγ+Na+ refers to the application of 20 mM Na+ after the washout of βγ. The vertical bars represent SEM. The normalized mean NPo was 0.084 ± 0.039 (mean ± SEM) in control solution, 0.206 ± 0.12 in the presence of 20 mM Na+ ions, 1 after the application of 20 nM β1γ7, and 3.1 ± 0.84 in the presence of 20 mM Na+ ions after activation of the channel by the G protein subunits.
|
|
Figure 8. A model depicting gating of GIRK channels by the combination of PIP2 with gating molecules Gβγ and/or Na+ and Mg2+ ions. (Co) Channel closed state, in the absence of PIP2 in the plasma membrane and gating molecules. (C1) Channel closed state, in the presence of PIP2 in the membrane GIRK channels experience weak interactions that in the absence of gating molecules are not of sufficient strength to gate the channel. (C2) Channel closed state, gating molecules can interact with the channel at distinct sites but in the absence of PIP2 they fail to gate the channel. (O) Channel open state, gating molecules in the presence of membrane PIP2 can activate the channel and show synergism.
|
|
Figure 4. Concentration dependence of GIRK channel activation on internal Mg2+ ions. Normalized activity (NPo) of GIRK1/GIRK4 channels is plotted for different Mg2+ concentrations. Inside-out patches were exposed to 2.5 μM PIP2 before and during application of Mg2+. Responses were expressed in fold increase above the activity in the presence of PIP2 and were normalized to those recorded in the presence of 1 mM Mg2+. Vertical bars represent SEM. The responses obtained at the low concentrations of Mg2+ tested (<1 mM) were significantly higher than those with PIP2 alone (P < 0.05, paired t test). The holding potential was at −80 mV. 5 μM ACh was present in the pipette. *Significant differences from 1 mM Mg2+ (P < 0.01; paired t test).
|
|
Figure 5. Mg2+ ions act at a site distinct of that used by Na+ ions. (A) Single channel activity (NPo, bin = 5 s) plotted as a function of time. An inside-out patch from an oocyte expressing GIRK4*(D223N) (see text) and human muscarinic receptor type 2 receptor was exposed to 2.5 μM PIP2 and 20 mM Na+ or 1 mM Mg2+ ions, and channel activity was recorded. The membrane potential was kept at −80 mV. The pipette solution contained 5 μM ACh. (B) Summary data plotting mean NPo of four experiments such as that shown in A. The mean NPo values were 0.14 ± 0.1 (mean ± SEM) in control conditions, 0.21 ± 0.06 in the presence of PIP2, 0.21 ± 0.08 in the presence of PIP2 and Na+ ions, and 2.97 ± 0.31 in the presence of PIP2 and Mg2+ ions.
|
|
Figure 6. High concentrations of Mg2+ ions reduce the GIRK single-channel currents. (A) Single-channel records of GIRK channels in an inside-out patch excised from an oocyte expressing GIRK1/GIRK4. The membrane was clamped at −120 mV and 5 μM acetylcholine was present in the pipette. The channel was preactivated by 10 μM GTPγS and the current traces shown were recorded after washout of the GTP analogue. The switch between bath solutions containing 1 and 20 mM Mg2+ is visualized by the arrow (and by the corresponding electrical artifact on the record) on top of the second current trace. Associated all-point histogram plots indicate the amplitudes resulting from the various activity levels ranging from closed to multiple open levels and are shown for the first (1 mM Mg2+) and third (20 mM Mg2+) current traces. Data points are shown on a logarithmic scale ranging from 5 to 50,000. (B) KACh channel activity in an inside-out patch from a cardiac cell. The membrane was held at −90 mV and the pipette contained 5 μM acetylcholine. The patch was preincubated with 5 μM PIP2 and the current traces shown were recorded after the washout of PIP2. The arrow on top of the second current trace visualizes the switch between bath solutions containing 20 mM Mg2+ and 20 mM Na+ + 1 mM Mg2+. Associated all-point histogram plots are shown for the first (20 mM Mg2+) and third (20 mM Na+ + 1 mM Mg2+) current traces. Data points are shown on a logarithmic scale ranging from 20 to 50,000.
|
|
Figure 7. Synergistic effects of Gβγ, Na+, and Mg2+ ions in activating GIRK channels. (A) The mean NPo for seven patches are plotted for different conditions. The data were obtained from inside-out patches excised from oocytes expressing the recombinant channel GIRK1/GIRK4. The membrane was held at −80 mV and 5 μM acetylcholine was present in the pipette. PIP2 was 2.5 μM, Mg2+ was 10 mM, and Na+ was 10 mM. SEM are indicated by the vertical bars. The mean NPo for the channel activity was 0.011 ± 0.003 in control conditions, and 0.01 ± 0.006 during the application of 2.5 μM PIP2. When 10 mM Mg2+ ions were applied with PIP2, the mean NPo was 0.43 ± 0.14. 10 mM Na+ ions gave a mean NPo of 0.40 ± 0.12. When applied together, in the presence of PIP2, Mg2+ and Na+ ions (10 mM each) yielded a mean NPo of 2.08 ± 0.52. (B) Mean NPo plots for six inside-out patches from oocytes expressing GIRK1/GIRK4. Vm was −80 mV. 5 μM acetylcholine was in the pipette. Mg2+ was 10 mM, Na+ was 10 mM, and GTPγS was 10 μM. The columns GTPγS and GTPγS+x depict the channel activity measured after the GTP analogue was washed out and substance(s) x were added. SEM are indicated by vertical bars. The mean NPo of the channel was 0.023 ± 0.012 in control conditions and 0.035 ± 0.02 in the presence of 10 mM Mg2+ ions. 10 μM GTPγS gave a mean NPo of 0.12 ± 0.045. After GTPγS washout, Mg2+ ions gave a mean NPo of 0.12 ± 0.03. 10 mM Na+ ions gave a mean NPo of 0.23 ± 0.06. Coapplication of Mg2+ and Na+ ions resulted in a mean NPo of 0.26 ± 0.08. (C) Mean NPo plots for six patches. The inside-out patches were excised from oocytes expressing GIRK1/GIRK4. Vm was −80 mV. 5 μM ACh present in the pipette. PIP2 was 2.5 μM, Mg2+ was 10 mM, Na+ was 10 mM, and GTPγS was 10 μM. PIP2+GTPγS refers to the channel activity (at steady state) during the application of the GTP analogue. PIP2+GTPγS+x columns depict the channel activity measured after the washout of the GTP analogue and addition of substance(s) x. In absence of 10 mM Mg2+, all solutions contained 50 μM Mg2+. This low concentration of Mg2+ was necessary to render GTPγS effective. Vertical bars represent SEM. The mean NPo for the channel activity was 0.004 ± 0.002 in control conditions and 0.0007 ± 0.0002 in the presence of 2.5 μM PIP2. When 10 mM Mg2+ ions were applied to the patches in the presence of PIP2, a mean NPo of 0.034 ± 0.013 was obtained. Although this activity appeared small, it was significantly higher than that in PIP2 alone (P < 0.005, paired t test, log scale). 10 mM each of Mg2+ and Na+ ions in combination yielded a mean NPo of 0.2 ± 0.09. GTPγS gave a mean NPo of 0.058 ± 0.03. Again, although this activity appeared relatively small, it was significantly higher than that in PIP2 alone (P < 0.005, paired t test, log scale). When 10 mM Mg2+ ions were applied to the patches after the GTPγS treatment a mean NPo of 0.42 ± 0.19 was obtained. Mg2+ and Na+ ions applied together resulted in NPo of 1.6 ± 0.49.
|