|
Scheme S1.
|
|
Scheme S2.
|
|
Scheme S3.
|
|
Figure 1. Mutations of the Shaker S3–S4 linker region. The wild-type Shaker sequence (top) is compared with the mutations studied here. The S3–S4 linker was defined according to Wallner et al. 1996. The asparagine-arginine-serine sequence in the 10 aa linker channel corresponds to the S3–S4 linker region present in the human calcium-activated K+ channel (hSlo; Wallner et al. 1996).
|
|
Figure 2. Deletions in the S3–S4 linker slow down activation and deactivation kinetics in ShakerΔ. Macroscopic currents for ShakerΔ (Α), and 10 (B), 5 (C), and 0 (D) aa S3–S4 linker mutants. Currents were recorded from cell-attached macropatches from oocytes expressing the different channels. Currents were elicited by voltage steps from −60 to 120 mV in 5-mV increments, followed by a step to −60 mV. The holding voltage was −100 mV.
|
|
Figure 3. Deletions in the S3–S4 linker shift the G-V curves toward depolarizing voltages. Voltage dependence of activation of wild-type ShakerΔ and S3–S4 linker mutants. The conductance–voltage curves were obtained using tail current measurements. Each point is the average of determinations on 10–20 separate patches. Solid lines were drawn using parameters in Table and for the WT and 10 aa linker mutant, or for the 5 and 0 aa linker mutants. Dashed lines drawn for the WT and 10 aa linker mutant are the best fit to a fourth power Boltzmann function.
|
|
Figure 4. Activation kinetics become slower by deletions in the S3–S4 linker. (A) Channel activation was characterized by a fit of the time course of the current elicited by depolarization from a holding potential of −100 mV to and exponential function with a time constant τa and a time delay d (). Arrows in the inset show d for the 5 and 0 aa linker mutants. The fit started near the time at which current had reached ∼30–50% of the maximum (see inset). Arrows in the inset show d for the 5 and 0 aa linker mutants. The solid lines are fits to the data using an equation of the form: τa = A exp(−ZV/RT), where τa is the activation time constant, A is a constant, Z defines the voltage dependence of τa, and V is the voltage. Parameters A were 2.45 ± 0.74, 4.45 ± 0.25, 217 ± 65, and 111 ± 22 ms for the WT, and 10, 5, and 0 aa linker mutants, respectively. Parameters Z were 0.95 ± 0.35, 1.30 ± 0.03, 0.71 ± 0.08, and 0.53 ± 0.04 for the WT, and 10, 5, and 0 aa linker mutants, respectively. (B) Plots of the time delay d as a function of voltage. Lines were drawn using an equation of the form: d = A exp(−ZV/RT). Parameters A were 3.1 ± 1.1, 146 ± 53, and 103 ± 48 ms for the 10, 5, and 0 aa linker mutants, respectively. Parameters Z were 1.11 ± 0.10, 0.70 ± 0.05, and 1.68 ± 0.06 for the 10, 5, and 0 aa linker mutants, respectively.
|
|
Figure 5. The time constants of current deactivation were obtained by fitting the tail currents after a 250-ms activating pulse to 15 mV as indicated in the pulse protocol shown in the inset. Time course was fitted with a single exponential. Solid lines are fit to the data using τd = C exp(−ZV/RT), where τd is the deactivation time constant, C is a constant, and Ζ defines the voltage dependence of τd. The values of Z were: 0.53 ± 0.9, 0.8 ± 0.08, 0.58 ± 0.1, and 0.69 ± 0.08 for the WT, and 10, 5, and 0 aa linker mutants, respectively.
|
|
Figure 6. Kinetics of early transitions of the activation pathway using the Cole-Moore protocol. (A) Family of macroscopic ionic currents from 5 aa linker mutant channels elicited in response to the variable hyperpolarized prepulses shown in the pulse protocol followed by a 50-mV test pulse and a postpulse of −90 mV. The holding voltage was −90 mV. A P/−4 subtraction protocol was used. Data was filtered at 5 kHz and digitized every 100 μs. (B) Delay or time shift due to the hyperpolarized prepulses for the linker mutant channels calculated from current records was measured by displacing the current records along the time axis until the best superposition was obtained. Lines in these plots were drawn by eye.
|
|
Figure 7. Limiting slope analysis in wild-type ShakerΔ and the S3–S4 linker mutant channels. (A–D) Semilogarithmic plot of the G vs. V relationship of the different mutants. The solid line indicates the fitting of the low probability data in order to determine the limiting value of z. (E–H) z vs. V plot of the corresponding mutants indicated above the A–D graphs. The solid line indicates the asymptotic value of z at very hyperpolarizing voltages obtained by the derivative with respect to the voltage of the monoexponential fit of the low probability data.
|
|
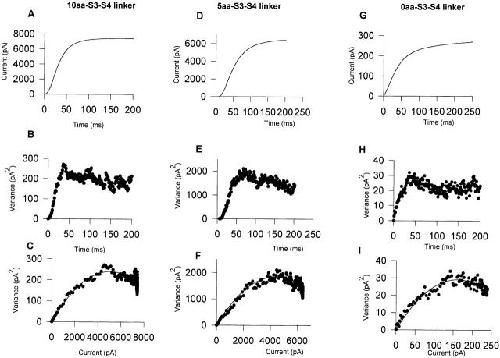
Figure 8. Variance analysis for three deletion mutants. (A,D, and G) Mean current traces obtained from 256 traces recorded with the patch technique from a holding potential of −100 mV to a test pulse potential of 120 mV. (B, E, and H) Time course of the variance. (C,F, and I) Variance versus current fitted to the function σ2= iI(t) − I(t)2/N (solid line). The mean maximum open probability (Pomax) among the different mutants was 0.75.
|
|
Figure 9. Model of the structure of all six segments of the Shaker K channel, which accounts for the observations described in the present study (Cha et al. 1999; Bezanilla 2000). (A) Two subunits facing each other across the pore are shown. This allows the observation of the back face of the left subunit and the front face of the right subunit. Only the open configuration of the channel is shown. In this model, depolarization rotates the S4 segment in 180°, and charges that were facing the intracellular solution by being in the crevice formed by S1 and S5 are displaced towards the extracellular solution remaining in a water-filled crevice formed by segments S2 and S3. This requires an S4 movement of no more than a few Angstroms and explains why a 5 aa linker allows for the movement of all the channel gating charges. (B) When the whole S3–S4 linker is removed, the S3 and S4 segments are closer together, decreasing the width of the crevice formed by the S2 and S3 segments. This has the effect of widening the region where the electric field falls, with the consequent decrease in zδ.
|