|
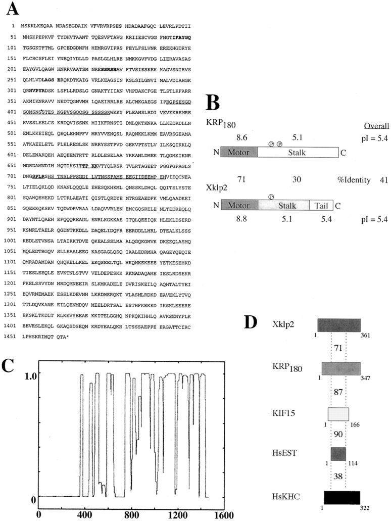
Figure 1. Molecular analysis of sea urchin KRP180. (A) The deduced amino acid sequence of KRP180 encodes an NH2-terminal motor polypeptide 1,463 amino acid residues long. Amino acids in bold correspond to the hyperconserved motor sequences found in kinesin motor domains. PEST sequences are shown as underscored amino acids. Underscored and bold amino acids correspond to consensus p34cdc2 kinase phosphorylation sites. The nucleotide sequence of KRP180 is available from GenBank under accession number AF28433. (B) Aligned linear maps of the motor polypeptides KRP180 and Xklp2 demonstrate the conservation of sequence identity and isoelectric point values in their domain organization. Consensus p34cdc2 kinase phosphorylation sites are shown as a circled letter P. Sequence identity scores are shown as percentages between the linear maps, isoelectric point values are shown above and below the linear maps, and overall scores are shown on the right. (C) KRP180 forms an extensive region of α-helical coiled-coil as determined in a Lupus plot using the Coils program (Lupus et al. 1991). (D) Linear maps of the full-length and partial motor domains of the Xklp2 members found in Xenopus (Xklp2), sea urchin (KRP180), mouse (KIF15), and human (HsEST), as well as the motor domain of human conventional kinesin heavy chain (HsKHC) demonstrate a region in the catalytic core of the motors, equal to the size of the smallest of the motors shown (HsEST), share identity to the Xklp2 motor domain. Identity scores compared with Xklp2 are shown above each motor domain.
|
|
Figure 4. Two different γ-tubulin isoforms (SpGamma1 and SpGamma2) are found in sea urchin (S. purpuratus) eggs and early embryos. (A) A lineup of the deduced amino acid sequences of four different γ-tubulins found in sea urchin (SpGamma1 and SpGamma2), Xenopus (XlGamma), and human (HsGamma). Identical amino acids between the four γ-tubulins are surrounded with black boxes. The nucleotide sequences of SpGamma1 and 2 are available from GenBank under accession numbers AF284334 and AF284335. (B) Both sea urchin γ-tubulin isoforms (SpγTub1 and SpγTub2) are related to the γ-tubulins found in human (HsγTub), Xenopus (XlγTub), and the two isoforms in Drosophila (DmγTub37CD and DmγTub23C). The overall percentage of identity that these tubulins share are compared. (C) Purified, recombinant full-length GST-SpGamma2 fusion protein runs at 70 kD upon Coomassie-stained SDS-7.5% PAGE (lane 1). Affinity-purified anti–γ-tubulin antibody specifically recognized γ-tubulin in sea urchin (HSS) egg extract (lane 2) and the SpGamma2 fusion protein (lane 3) by Western blot. The GST-SpGamma2 fusion protein is indicated by the arrowheads and the molecular mass markers correspond to all three lanes. (D) A triple-labeled merged confocal micrograph shows a pre-extracted metaphase sea urchin embryo fixed and stained with anti–γ-tubulin (green), anti–α-tubulin (red) antibodies, and DAPI (blue). Bar, 10 mm.
|
|
Figure 2. Anti-KRP180 antibodies specifically recognize this motor in sea urchin egg extracts. A recombinant GST-KRP180 COOH-terminal coiled-coil fusion protein was purified on a glutathione–Sepharose column (lane GST-Coil 2) and used to raise mouse polyclonal antisera. The fusion protein runs at 60 kD. Affinity-purified anti-KRP180 antibodies from four different mice all specifically recognize a polypeptide ∼180 kD in mass (lanes 180.1, 180.2, 180.3, and 180.4) found in sea urchin high speed supernatant (HSS) unfertilized egg extract (lane Egg HSS; Coomassie-stained SDS-7.5% PAGE).
|
|
Figure 3. Immunolocalization of KRP180 in one-cell cleavage stage sea urchin (S. purpuratus) embryos. Whole embryos were methanol-fixed and stained with anti-KRP180 (A, E, I, M, and Q) and an FITC-conjugated anti–α-tubulin antibody (B, F, J, N, and R). Anti-KRP180 was recognized with Cy5-conjugated secondary antibody and DNA was visualized with (1 μg/ml) DAPI (C, G, K, O, and S). Merged images are shown with KRP180 in red, tubulin in green, and DNA in blue (D, H, L, P, and T). Prophase (A–D), prometaphase (E–H), metaphase (I–L), anaphase (M–P), and telophase/cytokinesis (Q–T). Bar, 10 μm.
|
|
Figure 6. Effects of anti-KRP180 and control antibody microinjected into mitotic sea urchin (L. pictus) embryos. Video frames of representative control IgG (A) and anti-KRP180 (B) injected embryos are shown. The video frames (with time shown as minutes and seconds) show the effects of microinjection on first cleavage in both embryos during NEBD (time 0.0 min) until the completion of cytokinesis (time 35.0 min for control and 39.06 for experimental embryo). Both embryos were microinjected in interphase, shortly after fertilization. The center of each pole is marked with a red dot to assist in measuring spindle pole-to-pole distances. The intracellular oil droplets (arrowheads) confirm that both embryos were microinjected successfully. Bar, 20 μm.
|
|
Figure 5. KRP180 does not coimmunolocalize to the centrosome with γ-tubulin in one-cell cleavage stage sea urchin (S. purpuratus) embryos. Pre-extracted metaphase embryos were fixed and stained with anti-KRP180 (A, E, and I) and either an FITC-conjugated anti–α-tubulin antibody (B and F) or an anti–γ-tubulin peptide antibody (J). DNA was visualized with (1 μg/ml) DAPI (C, G, and K). Merged images are shown with KRP180 in red and tubulin in green. Bar, 10 μm.
|
|
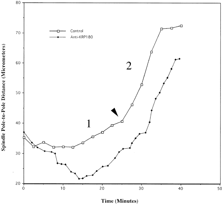
Figure 7. KRP180 is required to maintain spindle shape in prometaphase sea urchin embryos. Spindle pole-to-pole distances were measured over time in control and anti-KRP180 antibody injected embryos. Time 0 in each graph represents NEBD and the final time point in each graph indicates the completion of cytokinesis. Bold type numbers 1 and 2 indicate two distinct phases of anaphase B spindle elongation. The arrowhead indicates the transition from the first slow phase of spindle pole elongation to the second fast phase.
|
|
Figure 8. Effects of GST-KRP180 dominant/negative protein microinjected into mitotic sea urchin (L. pictus) embryos. (A) Purified GST-KRP180 stalk fusion proteins (Coil 1 and Coil 2) were used as dominant/negative proteins. The numbers below the linear map of the KRP180 polypeptide correspond to the amino acids that comprise the fusion proteins. Molecular mass markers indicate the size of the glutathione–Sepharose-purified fusion proteins (lane Coil 1 and 2; Coomassie-stained 7.5% and lane GST; 12% SDS-PAGE). (B) Microinjection of GST-Coil 2 into mitotic embryos perturbs the maintenance of prometaphase spindle shape, whereas microinjection of GST-Coil 1 and control GST does not. Spindle pole-to-pole distances were measured over time for individual spindles in GST-, Coil 1–, and Coil 2–injected embryos. Time 0 represents NEBD and the final time point indicates the completion of cytokinesis. Anaphase B initiates ∼15 min post-NEBD in the three spindles shown. (C) Video frames of a representative GST-Coil 2 injected embryo are shown. The video frames (with time in minutes) show the effects of microinjection on first cleavage five minutes before NEBD (time −5.0) until near the completion of cytokinesis (time 34.0). This embryo was microinjected in interphase, shortly after fertilization. The center of each spindle pole is marked with a red dot to assist in spindle length measurements while the intracellular oil droplet (arrowhead) indicates a successful microinjection. This embryo divides asymmetrically due to mispositioning of the spindle after displaying a prometaphase spindle collapse.
|
|
Figure 9. Proposed model describing the pathway of spindle pole positioning during embryonic cell division using the five MT-based motors: KRP180, the COOH-terminal kinesin (Kinesin-C), cytoplasmic dynein, KRP110, and KRP170. Diagrams are shown for the proposed timing and mechanisms of action during (A) prophase/spindle assembly, (B) (pro)metaphase/spindle maintenance, and (C) anaphase B/spindle elongation. Colored arrows indicate the direction of force exerted by the motor of the same color.
|