|
Scheme S1.
|
|
Scheme S2.
|
|
Figure 1. Maximal currents activated by cGMP or cAMP for wild-type and mutant olfactory CNG channels. Currents in each row were from the same excised inside-out patch. Voltage steps of 150-ms duration from a holding potential of 0 mV were given from −80 to +80 mV in 20-mV steps. Currents were activated by cyclic nucleotide concentrations eliciting maximal currents (see dose–response relations in D–E): (A) cGMP concentration was 1 mM, (B) cAMP concentration was 3 mM for E340G and E340D, 5 mM for E340N and E340Q, and 500 μM for wild-type channels. (C) Current–voltage relations from recordings shown in A and B for cGMP (□) and cAMP (▵). (D–E) Dose–response relations. Currents activated by cGMP or by cAMP at −80 mV were measured in the same patch, normalized to the maximal current activated by cGMP at −80 mV, and plotted versus cGMP (D) or cAMP (E) concentrations. Continuous lines represent the best fit of the Hill equation () to the data with the following values. Wild-type: Imax,cA/Imax,cG = 0.99, K1/2,cG = 3.2 μM, ncG = 2.7, K1/2,cA = 97 μM, ncA = 2.2; E340D: Imax,cA/Imax,cG = 0.97, K1/2,cG = 4.5 μM, ncG = 2.7, K1/2,cA = 137 μM, ncA = 2.3; E340Q: Imax,cA/Imax,cG = 0.87, K1/2,cG = 4.8 μM, ncG = 2.4, K1/2,cA = 189 μM, ncA = 2.0; E340N: Imax,cA/Imax,cG = 0.81, K1/2,cG = 6.6 μM, ncG = 2.3, K1/2,cA = 251 μM, ncA = 1.9; E340G: Imax,cA/Imax,cG = 0.37, K1/2,cG = 18.5 μM, ncG = 1.6, K1/2,cA = 335 μM, ncA = 2.5.
|
|
Figure 2. Single-channel dose–response relation for the E340G mutant. Current recordings from a membrane patch containing one E340G channel activated at −80 mV by various concentrations of cGMP (A) or cAMP (B). The continuous lines indicate the closed channel level and the dotted lines indicate the open level. (C) Dose–response relations were plotted as the open probability versus cyclic nucleotide concentration from the patch shown in A and B. Continuous curves were the best fit of the Hill equation () to the data with the following values: Pmax,cG = 0.82, K1/2,cG = 11.6 μM, ncG = 2.4, Pmax,cA = 0.46, K1/2,cA = 360 μM, ncA = 2.4.
|
|
Figure 3. Single-channel voltage and concentration dependence of E340N mutant. (A) Current recordings from a membrane patch containing one E340N channel activated by 3 or 100 μM cGMP at −80 or +80 mV. The continuous lines indicate the closed channel level and the dotted lines indicate two conductance open levels. Amplitude histograms at +80 mV for 3 μM (B) or 100 μM (C) cGMP were fitted as the sum of three Gaussians and shown enlarged in the insets. Histograms were fitted with the following parameters. For 3 μM cGMP: Pclosed = 0.765, Po,low = 0.22, ilow = 1.1 pA, Po,high = 0.015, ihigh = 2.5 pA; for 100 μM cGMP: Pclosed = 0.01, Po,low = 0.925, ilow = 1 pA, Po,high = 0.065, ihigh = 2.5 pA.
|
|
Figure 4. Comparison of normalized I-V relations from macroscopic and single-channel currents for wild-type and mutant channels. Macroscopic currents were measured at saturating cGMP in a voltage range from −80 to + 80 mV and normalized to unity at +80 mV. Average values of normalized macroscopic currents (□) and of single-channel amplitudes (▴) were plotted versus applied voltage. Each point is the average from at least four patches. Bars indicate standard deviation. Error bars smaller than the size of the symbols were not plotted.
|
|
Figure 5. Single-channel dose–response relations for wild-type, E340D, E340N, and E340G channels. Continuous curves show fits of to the dose–response relations using the following parameters. Wild-type: LcG = 334, Kd,cG = 29 μM, ncG = 2.3, LcA = 70, Kd,cA = 333 μM, ncA = 2.9; E340D: LcG = 66, Kd,cG = 31 μM, ncG = 2.6, LcA = 12, Kd,cA = 558 μM, ncA = 3; E340G: LcG = 4.6, Kd,cG = 24 μM, ncG = 2.4, LcA = 0.9, Kd,cA = 472 μM, ncA = 2.3; E340N: LcG = 10, Kd,cG = 24 μM, ncG = 3.5, LcA = 3, Kd,cA = 400 μM, ncA = 3.5.
|
|
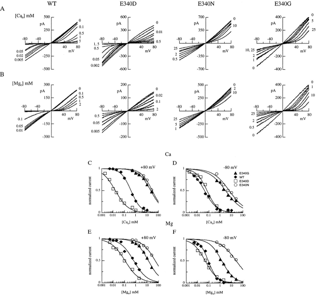
Figure 6. External Ca2+ and Mg2+ blockage in wild-type and mutant channels. cGMP-gated currents were measured in outside-out patches in the presence of the indicated concentrations of Ca2+ (A) or Mg2+ (B) in the extracellular solution. Currents were activated by 100 μM cGMP in the patch pipette. Voltage ramps were from −80 to +80 mV. Currents from the experiments shown in A and B in the presence of various Ca2+ or Mg2+ concentrations were measured at +80 or −80 mV, normalized to the current measured in the absence of divalent cations at the same voltage and plotted as a function of external Ca2+ (C–D) or Mg2+ (E–F) concentrations. Continuous lines were the best fit of to the data with the following values. (C) At +80 mV, wild type (♦): Ki,Ca = 380 μM, n = 1; E340D (□): Ki,Ca = 16 μM, n = 1; E340G (▴): Ki,Ca = 21 mM, n = 0.8; E340N (○): Ki,Ca = 28 mM, n = 0.9. (D) At −80 mV, wild type (♦): Ki,Ca = 42 μM, n = 0.8; E340D (□): Ki,Ca = 70 μM, n = 0.9; E340G (▴): Ki,Ca = 3 mM, n = 0.6; E340N (○): Ki,Ca = 6.3 mM, n = 0.6. (E) At +80 mV, wild type (♦): Ki,Mg = 650 μM, n = 0.7; E340D (□): Ki,Mg = 112 μM, n = 0.7; E340G (▴): Ki,Mg = 13 mM, n = 0.8; E340N (○): Ki,Mg = 51 mM, n = 0.7. (F) At −80 mV, wild type (♦): Ki,Mg = 90 μM, n = 1.1; E340D (□): Ki,Mg = 48 μM, n = 0.8; E340G (▴): Ki,Mg = 1.4 mM, n = 0.8; E340N (○): Ki,Mg = 26 mM, n = 0.6.
|
|
Figure 7. External Ca2+ blockage on single-channel current for wild-type and E340G mutant channels. (A and B) Single-channel currents at −80 mV activated by cGMP in outside-out patches in the presence of the indicated concentrations of external Ca2+. The cGMP concentration was 5 μM for wild-type (A) and 1mM for E340G (B) mutant channels. (C and D) Currents from each patch were determined from amplitude histograms in the presence of various Ca2+ concentrations at +80 or −80 mV, normalized to the current measured at the same voltage in the absence of divalent cations, and plotted as a function of external Ca2+ concentrations (C and D). Continuous lines were the best fit of to the data with the following values. At +80 mV, (C) wild type (♦): Ki,Ca = 250 μM, n = 1; E340G (▴): Ki,Ca = 32 mM, n = 0.7. At −80 mV, (D) wild type (♦): Ki,Ca = 31 μM, n = 1.1; E340G (▴): Ki,Ca = 8.8 mM, n = 0.8.
|
|
Figure 8. Permeation of external Ca2+ and Mg2+ in wild-type and E340G mutant channels. Current recordings from individual outside-out patches in bi-ionic conditions. The patch pipette contained 1 mM cGMP and 110 mM NaCl, while the external solution contained either 110 mM NaCl, 73.3 mM CaCl2, or 73.3 mM MgCl2, as indicated in the figure. Voltage was changed in 20-mV steps from −80 to +80 mV from a holding potential of 0 mV. The dashed lines indicate the zero-current level. Raw data are illustrated without leak subtraction. Capacitance artifacts were not subtracted. Current–voltage relations are plotted in C and D for wild-type and E340G, respectively. Symbols indicate the bi-ionic conditions: symmetrical NaCl (○), internal NaCl and external CaCl2 (▴), and internal NaCl and external MgCl2 (□).
|