|
XB-GENEPAGE-980578
Gene Symbol: slc16a2
Gene Name: solute carrier family 16, member 2 (thyroid hormone transporter)
|
Anatomy terms
|
| mesonephric kidney |
|
Anatomy stages
|
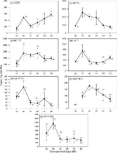
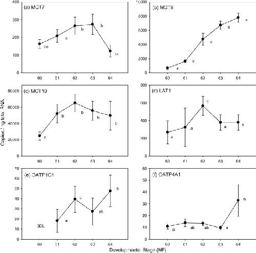
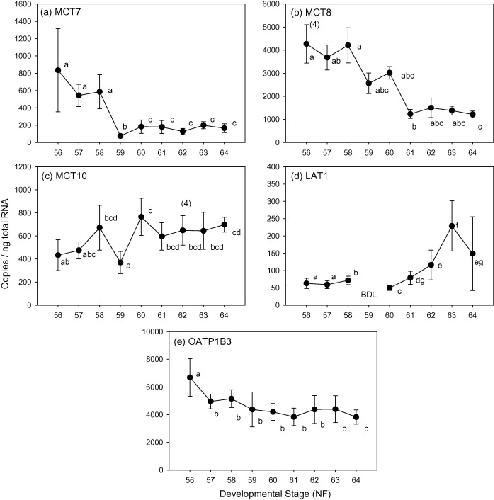
| NF stage 53 to NF stage 64 |
| Stage and Tissue Profiles | ||||||||
|
|
|
||||||
| Experimental Regulation (via RNA-seq) | ||
|
| ||
| Source: Ding et al. 2017 (laevis) | ||
| Literature Images | Sort by: |
NF stage 53 to NF stage 58 Connors, et al. 2010 | NF stage 56 to NF stage 61 Connors, et al. 2010 | NF stage 54 to NF stage 64 Connors, et al. 2010 | NF stage 56 to NF stage 64 Connors, et al. 2010 | NF stage 54 to NF stage 64 Connors, et al. 2010 | 1 more [+] |
