|
XB-GENEPAGE-5966550
Gene Symbol: thra
Gene Name: thyroid hormone receptor alpha
|
Anatomy stages
|
| NF stage 10 to adult frog stage |
| RNA-Seq and EST Transcriptome profiles | ???displayGene.tropicalis??? | ???displayGene.laevis???.L | ???displayGene.laevis???.S |
| RNA-Seq stage profile | Data from Session et al. 2016 | Data from Session et al. 2016 | |
| ???displayGene.geoData??? | thra.L | thra.S |
| Stage and Tissue Profiles | ||||||||
|
|
|
||||||
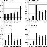
| Experimental Regulation (via RNA-seq) | ||
|
| ||
| Source: Ding et al. 2017 (laevis) | ||
| Literature Images | Sort by: |
NF stage 44 Shibata, et al. 2020 | NF stage 52 Cai, et al. 2004 | NF stage 52 Hoopfer, et al. 2002 | NF stage 52 Denver, et al. 2009 | NF stage 52 Cohen, et al. 1996 | 9 more [+] |
