Click here to close Hello! We notice that you are using Internet Explorer, which is not supported by Xenbase and may cause the site to display incorrectly. We suggest using a current version of Chrome, FireFox, or Safari.

Profile Publications (22)
XB-PERS-3176

Publications By Jeremy Thompson

???pagination.result.count???

???pagination.result.page??? 1


Identification of deacetylase substrates with the biotin switch approach., Thompson JW, Robeson A, Andersen JL., Methods Mol Biol. January 1, 2013; 1077 133-48.


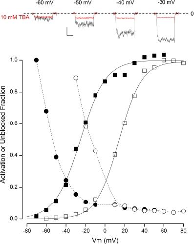
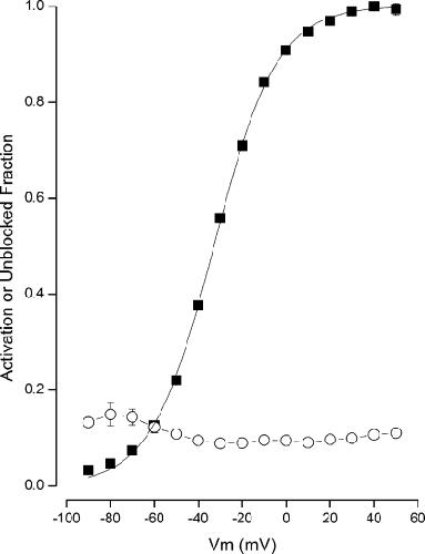
Selectivity filter gating in large-conductance Ca(2+)-activated K+ channels., Thompson J, Begenisich T., J Gen Physiol. March 1, 2012; 139 (3): 235-44.   


Structural basis for recognition of H3K56-acetylated histone H3-H4 by the chaperone Rtt106., Su D, Hu Q, Li Q, Thompson JR, Cui G, Fazly A, Davies BA, Botuyan MV, Zhang Z, Mer G., Nature. February 5, 2012; 483 (7387): 104-7.


A biotin switch-based proteomics approach identifies 14-3-3ζ as a target of Sirt1 in the metabolic regulation of caspase-2., Andersen JL, Thompson JW, Lindblom KR, Johnson ES, Yang CS, Lilley LR, Freel CD, Moseley MA, Kornbluth S., Mol Cell. September 2, 2011; 43 (5): 834-42.


Structure and histone binding properties of the Vps75-Rtt109 chaperone-lysine acetyltransferase complex., Su D, Hu Q, Zhou H, Thompson JR, Xu RM, Zhang Z, Mer G., J Biol Chem. May 6, 2011; 286 (18): 15625-9.


Restraint of apoptosis during mitosis through interdomain phosphorylation of caspase-2., Andersen JL, Johnson CE, Freel CD, Parrish AB, Day JL, Buchakjian MR, Nutt LK, Thompson JW, Moseley MA, Kornbluth S., EMBO J. October 21, 2009; 28 (20): 3216-27.


Slc26a9 is inhibited by the R-region of the cystic fibrosis transmembrane conductance regulator via the STAS domain., Chang MH, Plata C, Sindic A, Ranatunga WK, Chen AP, Zandi-Nejad K, Chan KW, Thompson J, Mount DB, Romero MF., J Biol Chem. October 9, 2009; 284 (41): 28306-18.


Smad1 and Smad8 function similarly in mammalian central nervous system development., Hester M, Thompson JC, Mills J, Liu Y, El-Hodiri HM, Weinstein M., Mol Cell Biol. June 1, 2005; 25 (11): 4683-92.


Two stable, conducting conformations of the selectivity filter in Shaker K+ channels., Thompson J, Begenisich T., J Gen Physiol. June 1, 2005; 125 (6): 619-29.   


Generation of novel conditional and hypomorphic alleles of the Smad2 gene., Liu Y, Festing MH, Hester M, Thompson JC, Weinstein M., Genesis. October 1, 2004; 40 (2): 118-123.   


Smad2 and Smad3 coordinately regulate craniofacial and endodermal development., Liu Y, Festing M, Thompson JC, Hester M, Rankin S, El-Hodiri HM, Zorn AM, Weinstein M., Dev Biol. June 15, 2004; 270 (2): 411-26.   


External TEA block of shaker K+ channels is coupled to the movement of K+ ions within the selectivity filter., Thompson J, Begenisich T., J Gen Physiol. August 1, 2003; 122 (2): 239-46.   


Functional identification of ion binding sites at the internal end of the pore in Shaker K+ channels., Thompson J, Begenisich T., J Physiol. May 15, 2003; 549 (Pt 1): 107-20.


Differential regulation of the cardiac sodium calcium exchanger promoter in adult and neonatal cardiomyocytes by Nkx2.5 and serum response factor., Müller JG, Thompson JT, Edmonson AM, Rackley MS, Kasahara H, Izumo S, McQuinn TC, Menick DR, O'Brien TX., J Mol Cell Cardiol. July 1, 2002; 34 (7): 807-21.


Affinity and location of an internal K+ ion binding site in shaker K channels., Thompson J, Begenisich T., J Gen Physiol. May 1, 2001; 117 (5): 373-84.   


Interaction between quaternary ammonium ions in the pore of potassium channels. Evidence against an electrostatic repulsion mechanism., Thompson J, Begenisich T., J Gen Physiol. June 1, 2000; 115 (6): 769-82.   


Electrostatic interaction between charybdotoxin and a tetrameric mutant of Shaker K(+) channels., Thompson J, Begenisich T., Biophys J. May 1, 2000; 78 (5): 2382-91.


Over-expression of fibroblast growth factors in Xenopus embryos., Thompson J, Slack JM., Mech Dev. September 1, 1992; 38 (3): 175-82.


Specification of the body plan during Xenopus gastrulation: dorsoventral and anteroposterior patterning of the mesoderm., Slack JM, Isaacs HV, Johnson GE, Lettice LA, Tannahill D, Thompson J., Dev Suppl. January 1, 1992; 143-9.


Species-specific effects of neurotensin on gallbladder contraction in vitro., Guo YS, Singh P, Upp JR, Thompson JC., Dig Dis Sci. January 1, 1989; 34 (1): 21-6.


A second antigenic heat shock protein of Plasmodium falciparum., Peterson MG, Crewther PE, Thompson JK, Corcoran LM, Coppel RL, Brown GV, Anders RF, Kemp DJ., DNA. March 1, 1988; 7 (2): 71-8.


Monoclonal antibodies as probes of epithelial membrane polarization., Turner RJ, Thompson J, Sariban-Sohraby S, Handler JS., J Cell Biol. December 1, 1985; 101 (6): 2173-80.

???pagination.result.page??? 1