Click here to close Hello! We notice that you are using Internet Explorer, which is not supported by Xenbase and may cause the site to display incorrectly. We suggest using a current version of Chrome, FireFox, or Safari.

Profile Publications (57)
XB-PERS-1837

Publications By Daniel R Buchholz

???pagination.result.count???

???pagination.result.page??? 1 2 ???pagination.result.next???


Comprehensive adrenal steroid profiling during frog metamorphosis., Paul B, Patel S, Taylor AJ, La Frano MR, Buchholz DR., Gen Comp Endocrinol. January 27, 2025; 375 114838.


Conserved chromatin and repetitive patterns reveal slow genome evolution in frogs., Bredeson JV, Mudd AB, Medina-Ruiz S, Mitros T, Smith OK, Miller KE, Lyons JB, Batra SS, Park J, Berkoff KC, Plott C, Grimwood J, Schmutz J, Aguirre-Figueroa G, Khokha MK, Lane M, Philipp I, Laslo M, Hanken J, Kerdivel G, Buisine N, Sachs LM, Buchholz DR, Kwon T, Smith-Parker H, Gridi-Papp M, Ryan MJ, Denton RD, Malone JH, Wallingford JB, Straight AF, Heald R, Hockemeyer D, Harland RM, Rokhsar DS., Nat Commun. January 17, 2024; 15 (1): 579.   


Development and metamorphosis in frogs deficient in the thyroid hormone transporter MCT8., Sterner ZR, Jabrah A, Shaidani NI, Horb ME, Dockery R, Paul B, Buchholz DR., Gen Comp Endocrinol. January 15, 2023; 331 114179.   


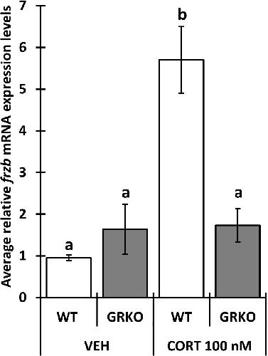
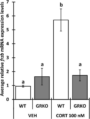
Characterization of a novel corticosterone response gene in Xenopus tropicalis tadpole tails., Paul B, Dockery R, Valverde VM, Buchholz DR., Front Endocrinol (Lausanne). January 1, 2023; 14 1121002.   


cyp21a2 Knockout Tadpoles Survive Metamorphosis Despite Low Corticosterone., Paul B, Shewade LH, Buchholz DR., Endocrinology. November 14, 2022; 164 (1):


Crosstalk between Thyroid Hormone and Corticosteroid Signaling Targets Cell Proliferation in Xenopus tropicalis Tadpole Liver., Rigolet M, Buisine N, Scharwatt M, Duvernois-Berthet E, Buchholz DR, Sachs LM., Int J Mol Sci. November 8, 2022; 23 (22):   


Impaired negative feedback and death following acute stress in glucocorticoid receptor knockout Xenopus tropicalis tadpoles., Paul B, Sterner ZR, Bhawal R, Anderson ET, Zhang S, Buchholz DR., Gen Comp Endocrinol. September 15, 2022; 326 114072.   


Normal Table of Xenopus development: a new graphical resource., Zahn N, James-Zorn C, Ponferrada VG, Adams DS, Grzymkowski J, Buchholz DR, Nascone-Yoder NM, Horb M, Moody SA, Vize PD, Zorn AM., Development. July 15, 2022; 149 (14):   


Glucocorticoid receptor mediates corticosterone-thyroid hormone synergy essential for metamorphosis in Xenopus tropicalis tadpoles., Sterner ZR, Buchholz DR., Gen Comp Endocrinol. January 1, 2022; 315 113942.   


Corticosterone Is Essential for Survival Through Frog Metamorphosis., Shewade LH, Schoephoerster JA, Patmann MD, Kulkarni SS, Buchholz DR., Endocrinology. December 1, 2020; 161 (12):


Axial Skeletal Malformations in Genetically Modified Xenopus laevis and Xenopus tropicalis., Zlatow AL, Wilson SS, Bouley DM, Tetens-Woodring J, Buchholz DR, Green SL., Comp Med. December 1, 2020; 70 (6): 532-541.


Stem cell development involves divergent thyroid hormone receptor subtype expression and epigenetic modifications in the Xenopus metamorphosing intestine., Hasebe T, Fujimoto K, Buchholz DR, Ishizuya-Oka A., Gen Comp Endocrinol. June 1, 2020; 292 113441.   


Glucocorticoid receptor is required for survival through metamorphosis in the frog Xenopus tropicalis., Sterner ZR, Shewade LH, Mertz KM, Sturgeon SM, Buchholz DR., Gen Comp Endocrinol. May 15, 2020; 291 113419.   


Novel vectors for functional interrogation of Xenopus ORFeome coding sequences., Sterner ZR, Rankin SA, Wlizla M, Choi JA, Luedeke DM, Zorn AM, Buchholz DR., Genesis. October 1, 2019; 57 (10): e23329.   


Methods for Investigating the Larval Period and Metamorphosis in Xenopus., Buchholz DR, Shi YB., Cold Spring Harb Protoc. October 1, 2018; 2018 (10): pdb.top097667.


Dual function model revised by thyroid hormone receptor alpha knockout frogs., Buchholz DR, Shi YB., Gen Comp Endocrinol. September 1, 2018; 265 214-218.   


A novel stress hormone response gene in tadpoles of Xenopus tropicalis., Schneider KA, Shewade LH, Buisine N, Sachs LM, Buchholz DR., Gen Comp Endocrinol. May 1, 2018; 260 107-114.


Functional analysis of thyroid hormone receptor beta in Xenopus tropicalis founders using CRISPR-Cas., Sakane Y, Iida M, Hasebe T, Fujii S, Buchholz DR, Ishizuya-Oka A, Yamamoto T, Suzuki KT., Biol Open. January 22, 2018; 7 (1):   


Xenopus metamorphosis as a model to study thyroid hormone receptor function during vertebrate developmental transitions., Buchholz DR., Mol Cell Endocrinol. December 25, 2017; 459 64-70.


Xenopus Tadpole Tissue Harvest., Patmann MD, Shewade LH, Schneider KA, Buchholz DR., Cold Spring Harb Protoc. November 1, 2017; 2017 (11): pdb.prot097675.


In-vivo regulation of Krüppel-like factor 9 by corticosteroids and their receptors across tissues in tadpoles of Xenopus tropicalis., Shewade LH, Schneider KA, Brown AC, Buchholz DR., Gen Comp Endocrinol. July 1, 2017; 248 79-86.   


Growth, Development, and Intestinal Remodeling Occurs in the Absence of Thyroid Hormone Receptor α in Tadpoles of Xenopus tropicalis., Choi J, Ishizuya-Oka A, Buchholz DR., Endocrinology. June 1, 2017; 158 (6): 1623-1633.


Frogs model man: In vivo thyroid hormone signaling during development., Sachs LM, Buchholz DR., Genesis. January 1, 2017; 55 (1-2):   


More similar than you think: Frog metamorphosis as a model of human perinatal endocrinology., Buchholz DR., Dev Biol. December 15, 2015; 408 (2): 188-95.   


Unliganded thyroid hormone receptor α regulates developmental timing via gene repression in Xenopus tropicalis., Choi J, Suzuki KT, Sakuma T, Shewade L, Yamamoto T, Buchholz DR., Endocrinology. February 1, 2015; 156 (2): 735-44.   


Beyond synergy: corticosterone and thyroid hormone have numerous interaction effects on gene regulation in Xenopus tropicalis tadpoles., Kulkarni SS, Buchholz DR., Endocrinology. November 1, 2012; 153 (11): 5309-24.


Cartilage on the move: cartilage lineage tracing during tadpole metamorphosis., Kerney RR, Brittain AL, Hall BK, Buchholz DR., Dev Growth Differ. October 1, 2012; 54 (8): 739-52.   


Tet-On binary systems for tissue-specific and inducible transgene expression., Buchholz DR., Methods Mol Biol. January 1, 2012; 917 265-75.


Higher thyroid hormone receptor expression correlates with short larval periods in spadefoot toads and increases metamorphic rate., Hollar AR, Choi J, Grimm AT, Buchholz DR., Gen Comp Endocrinol. August 1, 2011; 173 (1): 190-8.


New doxycycline-inducible transgenic lines in Xenopus., Rankin SA, Zorn AM, Buchholz DR., Dev Dyn. June 1, 2011; 240 (6): 1467-74.   


Epithelial-connective tissue interactions induced by thyroid hormone receptor are essential for adult stem cell development in the Xenopus laevis intestine., Hasebe T, Buchholz DR, Shi YB, Ishizuya-Oka A., Stem Cells. January 1, 2011; 29 (1): 154-61.


Atrazine induces complete feminization and chemical castration in male African clawed frogs (Xenopus laevis)., Hayes TB, Khoury V, Narayan A, Nazir M, Park A, Brown T, Adame L, Chan E, Buchholz D, Stueve T, Gallipeau S., Proc Natl Acad Sci U S A. March 9, 2010; 107 (10): 4612-7.   


Studies on Xenopus laevis intestine reveal biological pathways underlying vertebrate gut adaptation from embryo to adult., Heimeier RA, Das B, Buchholz DR, Fiorentino M, Shi YB., Genome Biol. January 1, 2010; 11 (5): R55.   


Identification of direct thyroid hormone response genes reveals the earliest gene regulation programs during frog metamorphosis., Das B, Heimeier RA, Buchholz DR, Shi YB., J Biol Chem. December 4, 2009; 284 (49): 34167-78.


Improved cre reporter transgenic Xenopus., Rankin SA, Hasebe T, Zorn AM, Buchholz DR., Dev Dyn. September 1, 2009; 238 (9): 2401-8.   


Origin of the adult intestinal stem cells induced by thyroid hormone in Xenopus laevis., Ishizuya-Oka A, Hasebe T, Buchholz DR, Kajita M, Fu L, Shi YB., FASEB J. August 1, 2009; 23 (8): 2568-75.


The xenoestrogen bisphenol A inhibits postembryonic vertebrate development by antagonizing gene regulation by thyroid hormone., Heimeier RA, Das B, Buchholz DR, Shi YB., Endocrinology. June 1, 2009; 150 (6): 2964-73.


A role of unliganded thyroid hormone receptor in postembryonic development in Xenopus laevis., Sato Y, Buchholz DR, Paul BD, Shi YB., Mech Dev. July 1, 2007; 124 (6): 476-88.   


Nutritional endoderm in a direct developing frog: a potential parallel to the evolution of the amniote egg., Buchholz DR, Singamsetty S, Karadge U, Williamson S, Langer CE, Elinson RP., Dev Dyn. May 1, 2007; 236 (5): 1259-72.


Pairing morphology with gene expression in thyroid hormone-induced intestinal remodeling and identification of a core set of TH-induced genes across tadpole tissues., Buchholz DR, Heimeier RA, Das B, Washington T, Shi YB., Dev Biol. March 15, 2007; 303 (2): 576-90.


SRC-p300 coactivator complex is required for thyroid hormone-induced amphibian metamorphosis., Paul BD, Buchholz DR, Fu L, Shi YB., J Biol Chem. March 9, 2007; 282 (10): 7472-81.


Transcriptional regulation of the Xenopus laevis Stromelysin-3 gene by thyroid hormone is mediated by a DNA element in the first intron., Fu L, Tomita A, Wang H, Buchholz DR, Shi YB., J Biol Chem. June 23, 2006; 281 (25): 16870-8.   


Molecular and developmental analyses of thyroid hormone receptor function in Xenopus laevis, the African clawed frog., Buchholz DR, Paul BD, Fu L, Shi YB., Gen Comp Endocrinol. January 1, 2006; 145 (1): 1-19.


Gene-specific changes in promoter occupancy by thyroid hormone receptor during frog metamorphosis. Implications for developmental gene regulation., Buchholz DR, Paul BD, Shi YB., J Biol Chem. December 16, 2005; 280 (50): 41222-8.


A causative role of stromelysin-3 in extracellular matrix remodeling and epithelial apoptosis during intestinal metamorphosis in Xenopus laevis., Fu L, Ishizuya-Oka A, Buchholz DR, Amano T, Matsuda H, Shi YB., J Biol Chem. July 29, 2005; 280 (30): 27856-65.


Tissue- and gene-specific recruitment of steroid receptor coactivator-3 by thyroid hormone receptor during development., Paul BD, Buchholz DR, Fu L, Shi YB., J Biol Chem. July 22, 2005; 280 (29): 27165-72.


Coactivator recruitment is essential for liganded thyroid hormone receptor to initiate amphibian metamorphosis., Paul BD, Fu L, Buchholz DR, Shi YB., Mol Cell Biol. July 1, 2005; 25 (13): 5712-24.


Transgenic analysis reveals that thyroid hormone receptor is sufficient to mediate the thyroid hormone signal in frog metamorphosis., Buchholz DR, Tomita A, Fu L, Paul BD, Shi YB., Mol Cell Biol. October 1, 2004; 24 (20): 9026-37.


Spatial and temporal expression pattern of a novel gene in the frog Xenopus laevis: correlations with adult intestinal epithelial differentiation during metamorphosis., Buchholz DR, Ishizuya-Oka A, Shi YB., Gene Expr Patterns. May 1, 2004; 4 (3): 321-8.   


Recruitment of N-CoR/SMRT-TBLR1 corepressor complex by unliganded thyroid hormone receptor for gene repression during frog development., Tomita A, Buchholz DR, Shi YB., Mol Cell Biol. April 1, 2004; 24 (8): 3337-46.

???pagination.result.page??? 1 2 ???pagination.result.next???