Click here to close Hello! We notice that you are using Internet Explorer, which is not supported by Echinobase and may cause the site to display incorrectly. We suggest using a current version of Chrome, FireFox, or Safari.
Echinobase
ECB-ART-54019
Toxics 2025 Jun 01;136:. doi: 10.3390/toxics13060469.
Show Gene links Show Anatomy links

The Metal Oxidation State in Cu, CuO, and Cu2O Nanoparticles Plays a Key Role in Toxicity to Sea Urchin Arbacia lixula, Paracentrotus lividus, and Sphaerechinus granularis Embryos.

Čarapar I, Jurković L, Pavičić-Hamer D, Jaklin A, Dutour Sikirić M, Hamer B, Lyons DM.


???displayArticle.abstract???
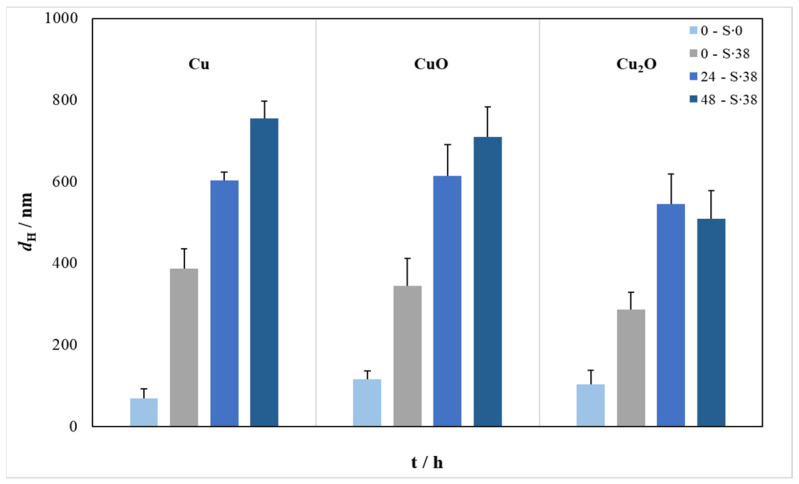
Copper-based nanoparticles (as Cu2O) are a key component in marine antifouling paints and, as coatings degrade, release nanoparticles that can affect a wide range of non-target organisms. This study investigates the impact of Cu2O nanoparticles on the early development of urchins Arbacia lixula, Paracentrotus lividus and Sphaerechinus granularis, and benchmarks their toxicity against similarly sized Cu and CuO nanoparticles and ionic copper. Concentration-dependent toxicity was noted for all forms of copper at concentrations in the 1 to 5000 µg L-1 range. EC50 values after Cu2O exposure indicated that A. lixula (99 µg L-1) was generally more sensitive than the other two species, with EC50 values of 371 µg L-1 and 606 µg L-1 noted for S. granularis and P. lividus, respectively. The same trend across species was noted for both Cu and CuO, although these nanoparticles generally showed higher EC50 values, indicating lower toxicity compared to Cu2O. LC50 values qualitatively parallel the corresponding EC50 values, with Cu2O consistently the most toxic, while Cu was less harmful, and CuO did not reach LC50 at any concentration. Again, greatest lethality was noted in A. lixula. While copper ion release from Cu was much greater than from CuO and Cu2O, the latter showed similar or greater toxicity to developing embryos compared to Cu. This indicates that copper ions are not the sole driver of toxicity of Cu2O, but there may also be a contribution derived from Cu2O redox activity within cells or at membranes that negatively impact oxidative stress defence mechanisms and metabolic pathways.

???displayArticle.pubmedLink??? 40559942
???displayArticle.pmcLink??? PMC12197137
???displayArticle.link??? Toxics
???displayArticle.grants??? [+]



???attribute.lit??? ???displayArticles.show???